基于余弦补偿系数的风电场自适应电流差动保护

IF 2.6 4区 工程技术 Q3 ENGINEERING, ELECTRICAL & ELECTRONIC
Yifan Li, Bing Hou, Jiashuo Lv, Zebang Yang
{"title":"基于余弦补偿系数的风电场自适应电流差动保护","authors":"Yifan Li,&nbsp;Bing Hou,&nbsp;Jiashuo Lv,&nbsp;Zebang Yang","doi":"10.1049/gtd2.70098","DOIUrl":null,"url":null,"abstract":"<p>The integration of doubly-fed induction generators (DFIGs) into wind farms presents significant challenges to current differential protection (CDP). In this study, an adaptive CDP principle for wind farms is proposed. By introducing the virtual restraint current, the restraint current is significantly reduced under low-resistance faults. Additionally, a boundary model is constructed based on the complex relationship of current phasors. On this basis, the cosine compensation coefficient is formulated solely using the amplitudes and phases of the two-terminal currents, which further enhances the ability to identify high-resistance faults. The principle can also lock the restraint coefficient according to the current amplitude, thereby reducing false trips. Finally, the performance of the scheme is demonstrated by Hardware-in-the-loop (HIL). Test results indicate that the proposed principle identifies faults more reliably and rapidly than the conventional CDP. The proposed principle is novel and feasible both in theory and practical applications.</p>","PeriodicalId":13261,"journal":{"name":"Iet Generation Transmission & Distribution","volume":"19 1","pages":""},"PeriodicalIF":2.6000,"publicationDate":"2025-05-23","publicationTypes":"Journal Article","fieldsOfStudy":null,"isOpenAccess":false,"openAccessPdf":"https://onlinelibrary.wiley.com/doi/epdf/10.1049/gtd2.70098","citationCount":"0","resultStr":"{\"title\":\"A Novel Adaptive Current Differential Protection for Wind Farms Based on Cosine Compensation Coefficient\",\"authors\":\"Yifan Li,&nbsp;Bing Hou,&nbsp;Jiashuo Lv,&nbsp;Zebang Yang\",\"doi\":\"10.1049/gtd2.70098\",\"DOIUrl\":null,\"url\":null,\"abstract\":\"<p>The integration of doubly-fed induction generators (DFIGs) into wind farms presents significant challenges to current differential protection (CDP). In this study, an adaptive CDP principle for wind farms is proposed. By introducing the virtual restraint current, the restraint current is significantly reduced under low-resistance faults. Additionally, a boundary model is constructed based on the complex relationship of current phasors. On this basis, the cosine compensation coefficient is formulated solely using the amplitudes and phases of the two-terminal currents, which further enhances the ability to identify high-resistance faults. The principle can also lock the restraint coefficient according to the current amplitude, thereby reducing false trips. Finally, the performance of the scheme is demonstrated by Hardware-in-the-loop (HIL). Test results indicate that the proposed principle identifies faults more reliably and rapidly than the conventional CDP. The proposed principle is novel and feasible both in theory and practical applications.</p>\",\"PeriodicalId\":13261,\"journal\":{\"name\":\"Iet Generation Transmission & Distribution\",\"volume\":\"19 1\",\"pages\":\"\"},\"PeriodicalIF\":2.6000,\"publicationDate\":\"2025-05-23\",\"publicationTypes\":\"Journal Article\",\"fieldsOfStudy\":null,\"isOpenAccess\":false,\"openAccessPdf\":\"https://onlinelibrary.wiley.com/doi/epdf/10.1049/gtd2.70098\",\"citationCount\":\"0\",\"resultStr\":null,\"platform\":\"Semanticscholar\",\"paperid\":null,\"PeriodicalName\":\"Iet Generation Transmission & Distribution\",\"FirstCategoryId\":\"5\",\"ListUrlMain\":\"https://ietresearch.onlinelibrary.wiley.com/doi/10.1049/gtd2.70098\",\"RegionNum\":4,\"RegionCategory\":\"工程技术\",\"ArticlePicture\":[],\"TitleCN\":null,\"AbstractTextCN\":null,\"PMCID\":null,\"EPubDate\":\"\",\"PubModel\":\"\",\"JCR\":\"Q3\",\"JCRName\":\"ENGINEERING, ELECTRICAL & ELECTRONIC\",\"Score\":null,\"Total\":0}","platform":"Semanticscholar","paperid":null,"PeriodicalName":"Iet Generation Transmission & Distribution","FirstCategoryId":"5","ListUrlMain":"https://ietresearch.onlinelibrary.wiley.com/doi/10.1049/gtd2.70098","RegionNum":4,"RegionCategory":"工程技术","ArticlePicture":[],"TitleCN":null,"AbstractTextCN":null,"PMCID":null,"EPubDate":"","PubModel":"","JCR":"Q3","JCRName":"ENGINEERING, ELECTRICAL & ELECTRONIC","Score":null,"Total":0}
引用次数: 0

摘要

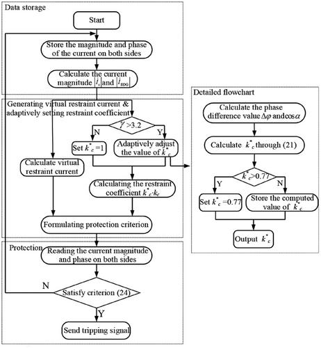
将双馈感应发电机(DFIGs)集成到风电场中,对电流差动保护(CDP)提出了重大挑战。本文提出了风电场自适应CDP原则。通过引入虚拟约束电流,在低阻故障情况下显著减小了约束电流。此外,基于电流相量的复杂关系,建立了边界模型。在此基础上,仅利用两端电流的幅值和相位计算余弦补偿系数,进一步提高了对高阻故障的识别能力。该原理还可以根据电流幅度锁定约束系数,从而减少误跳闸。最后,通过硬件在环(HIL)验证了该方案的性能。测试结果表明,该方法比传统的CDP方法能够更快、更可靠地识别故障。该原理在理论和实际应用上都是新颖可行的。
本文章由计算机程序翻译,如有差异,请以英文原文为准。

A Novel Adaptive Current Differential Protection for Wind Farms Based on Cosine Compensation Coefficient

A Novel Adaptive Current Differential Protection for Wind Farms Based on Cosine Compensation Coefficient

A Novel Adaptive Current Differential Protection for Wind Farms Based on Cosine Compensation Coefficient

A Novel Adaptive Current Differential Protection for Wind Farms Based on Cosine Compensation Coefficient

A Novel Adaptive Current Differential Protection for Wind Farms Based on Cosine Compensation Coefficient

The integration of doubly-fed induction generators (DFIGs) into wind farms presents significant challenges to current differential protection (CDP). In this study, an adaptive CDP principle for wind farms is proposed. By introducing the virtual restraint current, the restraint current is significantly reduced under low-resistance faults. Additionally, a boundary model is constructed based on the complex relationship of current phasors. On this basis, the cosine compensation coefficient is formulated solely using the amplitudes and phases of the two-terminal currents, which further enhances the ability to identify high-resistance faults. The principle can also lock the restraint coefficient according to the current amplitude, thereby reducing false trips. Finally, the performance of the scheme is demonstrated by Hardware-in-the-loop (HIL). Test results indicate that the proposed principle identifies faults more reliably and rapidly than the conventional CDP. The proposed principle is novel and feasible both in theory and practical applications.

求助全文
通过发布文献求助,成功后即可免费获取论文全文。 去求助
来源期刊
Iet Generation Transmission & Distribution
Iet Generation Transmission & Distribution 工程技术-工程:电子与电气
CiteScore
6.10
自引率
12.00%
发文量
301
审稿时长
5.4 months
期刊介绍: IET Generation, Transmission & Distribution is intended as a forum for the publication and discussion of current practice and future developments in electric power generation, transmission and distribution. Practical papers in which examples of good present practice can be described and disseminated are particularly sought. Papers of high technical merit relying on mathematical arguments and computation will be considered, but authors are asked to relegate, as far as possible, the details of analysis to an appendix. The scope of IET Generation, Transmission & Distribution includes the following: Design of transmission and distribution systems Operation and control of power generation Power system management, planning and economics Power system operation, protection and control Power system measurement and modelling Computer applications and computational intelligence in power flexible AC or DC transmission systems Special Issues. Current Call for papers: Next Generation of Synchrophasor-based Power System Monitoring, Operation and Control - https://digital-library.theiet.org/files/IET_GTD_CFP_NGSPSMOC.pdf
×
引用
GB/T 7714-2015
复制
MLA
复制
APA
复制
导出至
BibTeX EndNote RefMan NoteFirst NoteExpress
×
提示
您的信息不完整,为了账户安全,请先补充。
现在去补充
×
提示
您因"违规操作"
具体请查看互助需知
我知道了
×
提示
确定
请完成安全验证×
copy
已复制链接
快去分享给好友吧!
我知道了
右上角分享
点击右上角分享
0
联系我们:info@booksci.cn Book学术提供免费学术资源搜索服务,方便国内外学者检索中英文文献。致力于提供最便捷和优质的服务体验。 Copyright © 2023 布克学术 All rights reserved.
京ICP备2023020795号-1
ghs 京公网安备 11010802042870号
Book学术文献互助
Book学术文献互助群
群 号:604180095
Book学术官方微信