经过导管边缘到边缘修复的功能性二尖瓣反流患者的机器学习表型:MITRA-AI研究。

IF 4.4 Q1 CARDIAC & CARDIOVASCULAR SYSTEMS
European heart journal. Digital health Pub Date : 2025-02-13 eCollection Date: 2025-05-01 DOI:10.1093/ehjdh/ztaf006
Fabrizio D'Ascenzo, Filippo Angelini, Corrado Pancotti, Pier Paolo Bocchino, Cristina Giannini, Filippo Finizio, Marianna Adamo, Victoria Camman, Nuccia Morici, Leor Perl, Saverio Muscoli, Gabriele Crimi, Paolo Boretto, Ovidio de Filippo, Luca Baldetti, Giuseppe Biondi-Zoccai, Federico Conrotto, Sonia Petronio, Arturo Giordano, Rodrigo Estévez-Loureiro, Davide Stolfo, Christian Templin, Mauro Chiarito, Elena Cavallone, Veronica Dusi, Gianluca Alunni, Jacopo Oreglia, Mario Iannaccone, Marco Pocar, Matteo Pagnesi, Stefano Pidello, Ran Kornowski, Piero Fariselli, Simone Frea, Michele La Torre, Claudia Raineri, Giuseppe Patti, Italo Porto, Antonio Montefusco, Sergio Raposeiras Roubin, Gaetano Maria De Ferrari
{"title":"经过导管边缘到边缘修复的功能性二尖瓣反流患者的机器学习表型:MITRA-AI研究。","authors":"Fabrizio D'Ascenzo, Filippo Angelini, Corrado Pancotti, Pier Paolo Bocchino, Cristina Giannini, Filippo Finizio, Marianna Adamo, Victoria Camman, Nuccia Morici, Leor Perl, Saverio Muscoli, Gabriele Crimi, Paolo Boretto, Ovidio de Filippo, Luca Baldetti, Giuseppe Biondi-Zoccai, Federico Conrotto, Sonia Petronio, Arturo Giordano, Rodrigo Estévez-Loureiro, Davide Stolfo, Christian Templin, Mauro Chiarito, Elena Cavallone, Veronica Dusi, Gianluca Alunni, Jacopo Oreglia, Mario Iannaccone, Marco Pocar, Matteo Pagnesi, Stefano Pidello, Ran Kornowski, Piero Fariselli, Simone Frea, Michele La Torre, Claudia Raineri, Giuseppe Patti, Italo Porto, Antonio Montefusco, Sergio Raposeiras Roubin, Gaetano Maria De Ferrari","doi":"10.1093/ehjdh/ztaf006","DOIUrl":null,"url":null,"abstract":"<p><strong>Aims: </strong>Severe functional mitral regurgitation (FMR) may benefit from mitral transcatheter edge-to-edge repair (TEER), but selection of patients remains to be optimized.</p><p><strong>Objectives: </strong>The aim of this study was to use machine-learning (ML) approaches to uncover concealed connections between clinical, echocardiographic, and haemodynamic data associated with patients' outcomes.</p><p><strong>Methods and results: </strong>Consecutive patients undergoing TEER from 2009 to 2020 were included in the MITRA-AI registry. The primary endpoint was a composite of cardiovascular death or heart failure (HF) hospitalization at 1 year. External validation was performed on the Mitrascore cohort. 822 patients were included. The composite primary endpoint occurred in 250 (30%) patients. Four clusters with decreasing risk of the primary endpoint were identified (42, 37, 25, and 20% from Cluster 1 to Cluster 4, respectively). Clusters were combined into a high-risk (Clusters 1 and 2) and a low-risk phenotype (Clusters 3 and 4). High-risk phenotype patients had larger left ventriculars (LVs) (>107 mL/m<sup>2</sup>), lower left ventricular ejection fraction (<35%), and more prevalent ischaemic aetiology compared with low-risk phenotype patients. Within low-risk groups, permanent atrial fibrillation amplified that of HF hospitalizations. In the Mitrascore cohort, the incidence of the primary endpoint was 48, 52, 35, and 42% across clusters.</p><p><strong>Conclusion: </strong>A ML analysis identified meaningful clinical phenotypic presentations in FMR undergoing TEER, with significant differences in terms of cardiovascular death and HF hospitalizations, confirmed in an external validation cohort.</p>","PeriodicalId":72965,"journal":{"name":"European heart journal. Digital health","volume":"6 3","pages":"340-349"},"PeriodicalIF":4.4000,"publicationDate":"2025-02-13","publicationTypes":"Journal Article","fieldsOfStudy":null,"isOpenAccess":false,"openAccessPdf":"https://www.ncbi.nlm.nih.gov/pmc/articles/PMC12088727/pdf/","citationCount":"0","resultStr":"{\"title\":\"Machine-learning phenotyping of patients with functional mitral regurgitation undergoing transcatheter edge-to-edge repair: the MITRA-AI study.\",\"authors\":\"Fabrizio D'Ascenzo, Filippo Angelini, Corrado Pancotti, Pier Paolo Bocchino, Cristina Giannini, Filippo Finizio, Marianna Adamo, Victoria Camman, Nuccia Morici, Leor Perl, Saverio Muscoli, Gabriele Crimi, Paolo Boretto, Ovidio de Filippo, Luca Baldetti, Giuseppe Biondi-Zoccai, Federico Conrotto, Sonia Petronio, Arturo Giordano, Rodrigo Estévez-Loureiro, Davide Stolfo, Christian Templin, Mauro Chiarito, Elena Cavallone, Veronica Dusi, Gianluca Alunni, Jacopo Oreglia, Mario Iannaccone, Marco Pocar, Matteo Pagnesi, Stefano Pidello, Ran Kornowski, Piero Fariselli, Simone Frea, Michele La Torre, Claudia Raineri, Giuseppe Patti, Italo Porto, Antonio Montefusco, Sergio Raposeiras Roubin, Gaetano Maria De Ferrari\",\"doi\":\"10.1093/ehjdh/ztaf006\",\"DOIUrl\":null,\"url\":null,\"abstract\":\"<p><strong>Aims: </strong>Severe functional mitral regurgitation (FMR) may benefit from mitral transcatheter edge-to-edge repair (TEER), but selection of patients remains to be optimized.</p><p><strong>Objectives: </strong>The aim of this study was to use machine-learning (ML) approaches to uncover concealed connections between clinical, echocardiographic, and haemodynamic data associated with patients' outcomes.</p><p><strong>Methods and results: </strong>Consecutive patients undergoing TEER from 2009 to 2020 were included in the MITRA-AI registry. The primary endpoint was a composite of cardiovascular death or heart failure (HF) hospitalization at 1 year. External validation was performed on the Mitrascore cohort. 822 patients were included. The composite primary endpoint occurred in 250 (30%) patients. Four clusters with decreasing risk of the primary endpoint were identified (42, 37, 25, and 20% from Cluster 1 to Cluster 4, respectively). Clusters were combined into a high-risk (Clusters 1 and 2) and a low-risk phenotype (Clusters 3 and 4). High-risk phenotype patients had larger left ventriculars (LVs) (>107 mL/m<sup>2</sup>), lower left ventricular ejection fraction (<35%), and more prevalent ischaemic aetiology compared with low-risk phenotype patients. Within low-risk groups, permanent atrial fibrillation amplified that of HF hospitalizations. In the Mitrascore cohort, the incidence of the primary endpoint was 48, 52, 35, and 42% across clusters.</p><p><strong>Conclusion: </strong>A ML analysis identified meaningful clinical phenotypic presentations in FMR undergoing TEER, with significant differences in terms of cardiovascular death and HF hospitalizations, confirmed in an external validation cohort.</p>\",\"PeriodicalId\":72965,\"journal\":{\"name\":\"European heart journal. Digital health\",\"volume\":\"6 3\",\"pages\":\"340-349\"},\"PeriodicalIF\":4.4000,\"publicationDate\":\"2025-02-13\",\"publicationTypes\":\"Journal Article\",\"fieldsOfStudy\":null,\"isOpenAccess\":false,\"openAccessPdf\":\"https://www.ncbi.nlm.nih.gov/pmc/articles/PMC12088727/pdf/\",\"citationCount\":\"0\",\"resultStr\":null,\"platform\":\"Semanticscholar\",\"paperid\":null,\"PeriodicalName\":\"European heart journal. Digital health\",\"FirstCategoryId\":\"1085\",\"ListUrlMain\":\"https://doi.org/10.1093/ehjdh/ztaf006\",\"RegionNum\":0,\"RegionCategory\":null,\"ArticlePicture\":[],\"TitleCN\":null,\"AbstractTextCN\":null,\"PMCID\":null,\"EPubDate\":\"2025/5/1 0:00:00\",\"PubModel\":\"eCollection\",\"JCR\":\"Q1\",\"JCRName\":\"CARDIAC & CARDIOVASCULAR SYSTEMS\",\"Score\":null,\"Total\":0}","platform":"Semanticscholar","paperid":null,"PeriodicalName":"European heart journal. Digital health","FirstCategoryId":"1085","ListUrlMain":"https://doi.org/10.1093/ehjdh/ztaf006","RegionNum":0,"RegionCategory":null,"ArticlePicture":[],"TitleCN":null,"AbstractTextCN":null,"PMCID":null,"EPubDate":"2025/5/1 0:00:00","PubModel":"eCollection","JCR":"Q1","JCRName":"CARDIAC & CARDIOVASCULAR SYSTEMS","Score":null,"Total":0}
引用次数: 0

摘要

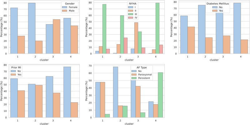
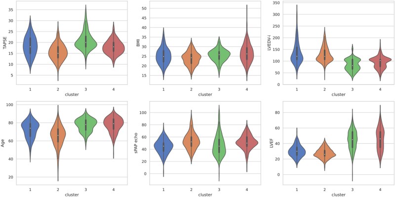
目的:重度功能性二尖瓣返流(FMR)可能受益于二尖瓣经导管边缘到边缘修复(TEER),但患者的选择仍有待优化。目的:本研究的目的是使用机器学习(ML)方法来揭示与患者预后相关的临床、超声心动图和血流动力学数据之间的隐藏联系。方法和结果:从2009年到2020年连续接受TEER的患者被纳入MITRA-AI注册表。主要终点是心血管死亡或心力衰竭(HF)住院1年。对Mitrascore队列进行外部验证。共纳入822例患者。复合主要终点出现在250例(30%)患者中。确定了四个主要终点风险降低的集群(从集群1到集群4分别为42%、37%、25%和20%)。集群被合并为高风险表型(集群1和2)和低风险表型(集群3和4)。高危表型患者左心室(lv)较大(bbb107ml /m2),左心室射血分数较低(结论:mL分析确定了接受TEER的FMR患者有意义的临床表型表现,在心血管死亡和HF住院方面存在显著差异,这在外部验证队列中得到了证实。
本文章由计算机程序翻译,如有差异,请以英文原文为准。

Machine-learning phenotyping of patients with functional mitral regurgitation undergoing transcatheter edge-to-edge repair: the MITRA-AI study.

Machine-learning phenotyping of patients with functional mitral regurgitation undergoing transcatheter edge-to-edge repair: the MITRA-AI study.

Machine-learning phenotyping of patients with functional mitral regurgitation undergoing transcatheter edge-to-edge repair: the MITRA-AI study.

Machine-learning phenotyping of patients with functional mitral regurgitation undergoing transcatheter edge-to-edge repair: the MITRA-AI study.

Aims: Severe functional mitral regurgitation (FMR) may benefit from mitral transcatheter edge-to-edge repair (TEER), but selection of patients remains to be optimized.

Objectives: The aim of this study was to use machine-learning (ML) approaches to uncover concealed connections between clinical, echocardiographic, and haemodynamic data associated with patients' outcomes.

Methods and results: Consecutive patients undergoing TEER from 2009 to 2020 were included in the MITRA-AI registry. The primary endpoint was a composite of cardiovascular death or heart failure (HF) hospitalization at 1 year. External validation was performed on the Mitrascore cohort. 822 patients were included. The composite primary endpoint occurred in 250 (30%) patients. Four clusters with decreasing risk of the primary endpoint were identified (42, 37, 25, and 20% from Cluster 1 to Cluster 4, respectively). Clusters were combined into a high-risk (Clusters 1 and 2) and a low-risk phenotype (Clusters 3 and 4). High-risk phenotype patients had larger left ventriculars (LVs) (>107 mL/m2), lower left ventricular ejection fraction (<35%), and more prevalent ischaemic aetiology compared with low-risk phenotype patients. Within low-risk groups, permanent atrial fibrillation amplified that of HF hospitalizations. In the Mitrascore cohort, the incidence of the primary endpoint was 48, 52, 35, and 42% across clusters.

Conclusion: A ML analysis identified meaningful clinical phenotypic presentations in FMR undergoing TEER, with significant differences in terms of cardiovascular death and HF hospitalizations, confirmed in an external validation cohort.

求助全文
通过发布文献求助,成功后即可免费获取论文全文。 去求助
来源期刊
CiteScore
5.00
自引率
0.00%
发文量
0
×
引用
GB/T 7714-2015
复制
MLA
复制
APA
复制
导出至
BibTeX EndNote RefMan NoteFirst NoteExpress
×
提示
您的信息不完整,为了账户安全,请先补充。
现在去补充
×
提示
您因"违规操作"
具体请查看互助需知
我知道了
×
提示
确定
请完成安全验证×
copy
已复制链接
快去分享给好友吧!
我知道了
右上角分享
点击右上角分享
0
联系我们:info@booksci.cn Book学术提供免费学术资源搜索服务,方便国内外学者检索中英文文献。致力于提供最便捷和优质的服务体验。 Copyright © 2023 布克学术 All rights reserved.
京ICP备2023020795号-1
ghs 京公网安备 11010802042870号
Book学术文献互助
Book学术文献互助群
群 号:604180095
Book学术官方微信