阿尔茨海默病的多发病和液体生物标志物:系统综述。

IF 3.6 3区 医学 Q2 GERIATRICS & GERONTOLOGY
European Geriatric Medicine Pub Date : 2025-08-01 Epub Date: 2025-05-20 DOI:10.1007/s41999-025-01222-y
Martina Valletta, Marco Canevelli, Francesca Gasparini, Simona Buscarnera, Martina Salzillo, Federico Triolo, Amaia Calderón-Larrañaga, Alessandra Marengoni, Davide Liborio Vetrano, Giulia Grande
{"title":"阿尔茨海默病的多发病和液体生物标志物:系统综述。","authors":"Martina Valletta, Marco Canevelli, Francesca Gasparini, Simona Buscarnera, Martina Salzillo, Federico Triolo, Amaia Calderón-Larrañaga, Alessandra Marengoni, Davide Liborio Vetrano, Giulia Grande","doi":"10.1007/s41999-025-01222-y","DOIUrl":null,"url":null,"abstract":"<p><strong>Purpose: </strong>This systematic review aimed to summarize the evidence on the association between multimorbidity and fluid biomarkers of Alzheimer's disease (AD).</p><p><strong>Methods: </strong>We systematically searched PubMed, Web of Science, and Embase for studies investigating the association between multimorbidity-defined as the co-occurrence of multiple chronic conditions in the same individual-and levels of cerebrospinal fluid (CSF) or blood biomarkers of AD, focusing on the most established AD biomarkers (amyloid-beta, phosphorylated-tau, total-tau, neurofilament light chain, and glial fibrillary acidic protein). Studies were selected following PRISMA guidelines.</p><p><strong>Results: </strong>Out of 3,104 records, we identified 10 cross-sectional studies. Four studies assessed CSF biomarkers in dementia-free participants with mean age between 61.8 and 66.6 years, yielding mixed findings with no consistent association between multimorbidity and CSF biomarkers. Six studies focused on blood biomarkers in participants with mean age ranging from 66.5 to 76.4 years, five of which included individuals with dementia. Most of these studies reported an association between multimorbidity and elevated blood biomarker levels.</p><p><strong>Conclusions: </strong>This review suggests a significant association between multimorbidity and AD blood biomarkers in older populations, while the results on CSF are mixed and inconsistent. Further research is needed, particularly longitudinal studies assessing both CSF and blood biomarkers within the same populations.</p>","PeriodicalId":49287,"journal":{"name":"European Geriatric Medicine","volume":" ","pages":"1121-1136"},"PeriodicalIF":3.6000,"publicationDate":"2025-08-01","publicationTypes":"Journal Article","fieldsOfStudy":null,"isOpenAccess":false,"openAccessPdf":"https://www.ncbi.nlm.nih.gov/pmc/articles/PMC12378289/pdf/","citationCount":"0","resultStr":"{\"title\":\"Multimorbidity and fluid biomarkers of Alzheimer's disease: a systematic review.\",\"authors\":\"Martina Valletta, Marco Canevelli, Francesca Gasparini, Simona Buscarnera, Martina Salzillo, Federico Triolo, Amaia Calderón-Larrañaga, Alessandra Marengoni, Davide Liborio Vetrano, Giulia Grande\",\"doi\":\"10.1007/s41999-025-01222-y\",\"DOIUrl\":null,\"url\":null,\"abstract\":\"<p><strong>Purpose: </strong>This systematic review aimed to summarize the evidence on the association between multimorbidity and fluid biomarkers of Alzheimer's disease (AD).</p><p><strong>Methods: </strong>We systematically searched PubMed, Web of Science, and Embase for studies investigating the association between multimorbidity-defined as the co-occurrence of multiple chronic conditions in the same individual-and levels of cerebrospinal fluid (CSF) or blood biomarkers of AD, focusing on the most established AD biomarkers (amyloid-beta, phosphorylated-tau, total-tau, neurofilament light chain, and glial fibrillary acidic protein). Studies were selected following PRISMA guidelines.</p><p><strong>Results: </strong>Out of 3,104 records, we identified 10 cross-sectional studies. Four studies assessed CSF biomarkers in dementia-free participants with mean age between 61.8 and 66.6 years, yielding mixed findings with no consistent association between multimorbidity and CSF biomarkers. Six studies focused on blood biomarkers in participants with mean age ranging from 66.5 to 76.4 years, five of which included individuals with dementia. Most of these studies reported an association between multimorbidity and elevated blood biomarker levels.</p><p><strong>Conclusions: </strong>This review suggests a significant association between multimorbidity and AD blood biomarkers in older populations, while the results on CSF are mixed and inconsistent. Further research is needed, particularly longitudinal studies assessing both CSF and blood biomarkers within the same populations.</p>\",\"PeriodicalId\":49287,\"journal\":{\"name\":\"European Geriatric Medicine\",\"volume\":\" \",\"pages\":\"1121-1136\"},\"PeriodicalIF\":3.6000,\"publicationDate\":\"2025-08-01\",\"publicationTypes\":\"Journal Article\",\"fieldsOfStudy\":null,\"isOpenAccess\":false,\"openAccessPdf\":\"https://www.ncbi.nlm.nih.gov/pmc/articles/PMC12378289/pdf/\",\"citationCount\":\"0\",\"resultStr\":null,\"platform\":\"Semanticscholar\",\"paperid\":null,\"PeriodicalName\":\"European Geriatric Medicine\",\"FirstCategoryId\":\"3\",\"ListUrlMain\":\"https://doi.org/10.1007/s41999-025-01222-y\",\"RegionNum\":3,\"RegionCategory\":\"医学\",\"ArticlePicture\":[],\"TitleCN\":null,\"AbstractTextCN\":null,\"PMCID\":null,\"EPubDate\":\"2025/5/20 0:00:00\",\"PubModel\":\"Epub\",\"JCR\":\"Q2\",\"JCRName\":\"GERIATRICS & GERONTOLOGY\",\"Score\":null,\"Total\":0}","platform":"Semanticscholar","paperid":null,"PeriodicalName":"European Geriatric Medicine","FirstCategoryId":"3","ListUrlMain":"https://doi.org/10.1007/s41999-025-01222-y","RegionNum":3,"RegionCategory":"医学","ArticlePicture":[],"TitleCN":null,"AbstractTextCN":null,"PMCID":null,"EPubDate":"2025/5/20 0:00:00","PubModel":"Epub","JCR":"Q2","JCRName":"GERIATRICS & GERONTOLOGY","Score":null,"Total":0}
引用次数: 0

摘要

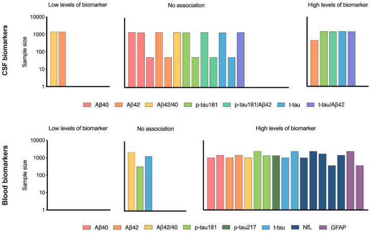
目的:本系统综述旨在总结阿尔茨海默病(AD)多发病与液体生物标志物之间的关联证据。方法:我们系统地检索了PubMed、Web of Science和Embase,以调查多重发病(定义为同一个体中多种慢性疾病的共同发生)与阿尔茨海默病脑脊液(CSF)或血液生物标志物水平之间的关系,重点关注最成熟的阿尔茨海默病生物标志物(淀粉样蛋白- β、磷酸化tau蛋白、总tau蛋白、神经丝轻链和胶质纤维酸性蛋白)。研究是根据PRISMA指南选择的。结果:在3104份记录中,我们确定了10份横断面研究。四项研究评估了平均年龄在61.8岁至66.6岁之间的无痴呆参与者的脑脊液生物标志物,结果好坏不一,多发性疾病与脑脊液生物标志物之间没有一致的关联。六项研究的重点是参与者的血液生物标志物,平均年龄在66.5至76.4岁之间,其中五项研究包括痴呆症患者。这些研究大多报告了多发病与血液生物标志物水平升高之间的关联。结论:本综述提示老年人群中多发病与AD血液生物标志物之间存在显著关联,而脑脊液的结果则是混合且不一致的。需要进一步的研究,特别是在同一人群中评估CSF和血液生物标志物的纵向研究。
本文章由计算机程序翻译,如有差异,请以英文原文为准。

Multimorbidity and fluid biomarkers of Alzheimer's disease: a systematic review.

Multimorbidity and fluid biomarkers of Alzheimer's disease: a systematic review.

Multimorbidity and fluid biomarkers of Alzheimer's disease: a systematic review.

Purpose: This systematic review aimed to summarize the evidence on the association between multimorbidity and fluid biomarkers of Alzheimer's disease (AD).

Methods: We systematically searched PubMed, Web of Science, and Embase for studies investigating the association between multimorbidity-defined as the co-occurrence of multiple chronic conditions in the same individual-and levels of cerebrospinal fluid (CSF) or blood biomarkers of AD, focusing on the most established AD biomarkers (amyloid-beta, phosphorylated-tau, total-tau, neurofilament light chain, and glial fibrillary acidic protein). Studies were selected following PRISMA guidelines.

Results: Out of 3,104 records, we identified 10 cross-sectional studies. Four studies assessed CSF biomarkers in dementia-free participants with mean age between 61.8 and 66.6 years, yielding mixed findings with no consistent association between multimorbidity and CSF biomarkers. Six studies focused on blood biomarkers in participants with mean age ranging from 66.5 to 76.4 years, five of which included individuals with dementia. Most of these studies reported an association between multimorbidity and elevated blood biomarker levels.

Conclusions: This review suggests a significant association between multimorbidity and AD blood biomarkers in older populations, while the results on CSF are mixed and inconsistent. Further research is needed, particularly longitudinal studies assessing both CSF and blood biomarkers within the same populations.

求助全文
通过发布文献求助,成功后即可免费获取论文全文。 去求助
来源期刊
European Geriatric Medicine
European Geriatric Medicine GERIATRICS & GERONTOLOGY-
CiteScore
6.70
自引率
2.60%
发文量
114
审稿时长
6-12 weeks
期刊介绍: European Geriatric Medicine is the official journal of the European Geriatric Medicine Society (EUGMS). Launched in 2010, this journal aims to publish the highest quality material, both scientific and clinical, on all aspects of Geriatric Medicine. The EUGMS is interested in the promotion of Geriatric Medicine in any setting (acute or subacute care, rehabilitation, nursing homes, primary care, fall clinics, ambulatory assessment, dementia clinics..), and also in functionality in old age, comprehensive geriatric assessment, geriatric syndromes, geriatric education, old age psychiatry, models of geriatric care in health services, and quality assurance.
×
引用
GB/T 7714-2015
复制
MLA
复制
APA
复制
导出至
BibTeX EndNote RefMan NoteFirst NoteExpress
×
提示
您的信息不完整,为了账户安全,请先补充。
现在去补充
×
提示
您因"违规操作"
具体请查看互助需知
我知道了
×
提示
确定
请完成安全验证×
copy
已复制链接
快去分享给好友吧!
我知道了
右上角分享
点击右上角分享
0
联系我们:info@booksci.cn Book学术提供免费学术资源搜索服务,方便国内外学者检索中英文文献。致力于提供最便捷和优质的服务体验。 Copyright © 2023 布克学术 All rights reserved.
京ICP备2023020795号-1
ghs 京公网安备 11010802042870号
Book学术文献互助
Book学术文献互助群
群 号:604180095
Book学术官方微信