富血小板纤维蛋白通过增加关键细胞因子水平介导脂肪来源干细胞的有益作用。

IF 3.4 3区 医学 Q2 CELL BIOLOGY
Nikolaus Wachtel, Luisa Weber, Nicholas Moellhoff, Constanze Kuhlmann, Riccardo E Giunta, Paolo Alberton, Denis Ehrl, Severin Wiggenhauser
{"title":"富血小板纤维蛋白通过增加关键细胞因子水平介导脂肪来源干细胞的有益作用。","authors":"Nikolaus Wachtel, Luisa Weber, Nicholas Moellhoff, Constanze Kuhlmann, Riccardo E Giunta, Paolo Alberton, Denis Ehrl, Severin Wiggenhauser","doi":"10.1111/wrr.70040","DOIUrl":null,"url":null,"abstract":"<p><p>Recent studies showcased the regenerative potential of Platelet-Rich Fibrin (PRF) combined with Adipose-Derived Stem Cells (ASC). PRF enhances cellular proliferation through sustained growth factor secretion which are continuously released to surrounding cells. However, its regulatory mechanisms remain unclear. ASC were isolated from liposuction and abdominoplasty samples of healthy donors, characterised via flow-cytometry and cultured for 7 days. Four cell culture conditions were tested: (1) 10% PRF extract (PRFe), (2) 10% Platelet-Low Plasma (PLP), (3) 10% Foetal Bovine Serum (FBS) and (4) basal medium as control. Cell viability and proliferation were assessed using AlamarBlue and PicoGreen assays, as well as live-dead staining. Enzyme-Linked Immunosorbent Assays quantified growth factor concentrations, while multiplex qPCR and immunocytochemical staining analysed gene and protein expression on days 1 and 7. PRFe-supplemented cultures showed the highest viability and proliferation, significantly surpassing other groups at day 7 (p < 0.05). Supernatant analysis revealed significantly elevated TGF-β1 and PDGF-AA/BB levels in PRFe cultures at day 7 (p of at least < 0.05). Multiplex qPCR indicated increased expression of proliferation and pluripotency markers (NANOG, JUN, SOX2, RPS6KA4; p < 0.05) and fibrillar collagen (COL1A; p < 0.05) in the PRFe group. These findings demonstrate that PRFe significantly enhances ASC proliferation and regenerative potential. Elevated levels of TGF-1, PDGF-AA/BB and to a lesser extend VEGF in PRFe cultures suggest that its benefits in regenerative medicine may be linked to these cytokines' upregulation. These results underscore PRFe's potential as a key supplement for optimising ASC-based therapies in tissue regeneration.</p>","PeriodicalId":23864,"journal":{"name":"Wound Repair and Regeneration","volume":"33 3","pages":"e70040"},"PeriodicalIF":3.4000,"publicationDate":"2025-05-01","publicationTypes":"Journal Article","fieldsOfStudy":null,"isOpenAccess":false,"openAccessPdf":"https://www.ncbi.nlm.nih.gov/pmc/articles/PMC12093288/pdf/","citationCount":"0","resultStr":"{\"title\":\"Platelet-Rich Fibrin Mediates Beneficial Effects on Adipose-Derived Stem Cells via Increased Levels of Key Cytokines.\",\"authors\":\"Nikolaus Wachtel, Luisa Weber, Nicholas Moellhoff, Constanze Kuhlmann, Riccardo E Giunta, Paolo Alberton, Denis Ehrl, Severin Wiggenhauser\",\"doi\":\"10.1111/wrr.70040\",\"DOIUrl\":null,\"url\":null,\"abstract\":\"<p><p>Recent studies showcased the regenerative potential of Platelet-Rich Fibrin (PRF) combined with Adipose-Derived Stem Cells (ASC). PRF enhances cellular proliferation through sustained growth factor secretion which are continuously released to surrounding cells. However, its regulatory mechanisms remain unclear. ASC were isolated from liposuction and abdominoplasty samples of healthy donors, characterised via flow-cytometry and cultured for 7 days. Four cell culture conditions were tested: (1) 10% PRF extract (PRFe), (2) 10% Platelet-Low Plasma (PLP), (3) 10% Foetal Bovine Serum (FBS) and (4) basal medium as control. Cell viability and proliferation were assessed using AlamarBlue and PicoGreen assays, as well as live-dead staining. Enzyme-Linked Immunosorbent Assays quantified growth factor concentrations, while multiplex qPCR and immunocytochemical staining analysed gene and protein expression on days 1 and 7. PRFe-supplemented cultures showed the highest viability and proliferation, significantly surpassing other groups at day 7 (p < 0.05). Supernatant analysis revealed significantly elevated TGF-β1 and PDGF-AA/BB levels in PRFe cultures at day 7 (p of at least < 0.05). Multiplex qPCR indicated increased expression of proliferation and pluripotency markers (NANOG, JUN, SOX2, RPS6KA4; p < 0.05) and fibrillar collagen (COL1A; p < 0.05) in the PRFe group. These findings demonstrate that PRFe significantly enhances ASC proliferation and regenerative potential. Elevated levels of TGF-1, PDGF-AA/BB and to a lesser extend VEGF in PRFe cultures suggest that its benefits in regenerative medicine may be linked to these cytokines' upregulation. These results underscore PRFe's potential as a key supplement for optimising ASC-based therapies in tissue regeneration.</p>\",\"PeriodicalId\":23864,\"journal\":{\"name\":\"Wound Repair and Regeneration\",\"volume\":\"33 3\",\"pages\":\"e70040\"},\"PeriodicalIF\":3.4000,\"publicationDate\":\"2025-05-01\",\"publicationTypes\":\"Journal Article\",\"fieldsOfStudy\":null,\"isOpenAccess\":false,\"openAccessPdf\":\"https://www.ncbi.nlm.nih.gov/pmc/articles/PMC12093288/pdf/\",\"citationCount\":\"0\",\"resultStr\":null,\"platform\":\"Semanticscholar\",\"paperid\":null,\"PeriodicalName\":\"Wound Repair and Regeneration\",\"FirstCategoryId\":\"3\",\"ListUrlMain\":\"https://doi.org/10.1111/wrr.70040\",\"RegionNum\":3,\"RegionCategory\":\"医学\",\"ArticlePicture\":[],\"TitleCN\":null,\"AbstractTextCN\":null,\"PMCID\":null,\"EPubDate\":\"\",\"PubModel\":\"\",\"JCR\":\"Q2\",\"JCRName\":\"CELL BIOLOGY\",\"Score\":null,\"Total\":0}","platform":"Semanticscholar","paperid":null,"PeriodicalName":"Wound Repair and Regeneration","FirstCategoryId":"3","ListUrlMain":"https://doi.org/10.1111/wrr.70040","RegionNum":3,"RegionCategory":"医学","ArticlePicture":[],"TitleCN":null,"AbstractTextCN":null,"PMCID":null,"EPubDate":"","PubModel":"","JCR":"Q2","JCRName":"CELL BIOLOGY","Score":null,"Total":0}
引用次数: 0

摘要

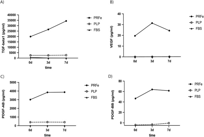
最近的研究显示了富血小板纤维蛋白(PRF)与脂肪来源干细胞(ASC)结合的再生潜力。PRF通过持续分泌生长因子促进细胞增殖,生长因子不断释放到周围细胞。然而,其监管机制仍不清楚。从健康供体吸脂和腹部成形术样本中分离出ASC,通过流式细胞术鉴定并培养7天。试验了四种细胞培养条件:(1)10% PRF提取物(PRFe),(2) 10%低血小板血浆(PLP),(3) 10%胎牛血清(FBS)和(4)基础培养基作为对照。使用AlamarBlue和PicoGreen检测以及活死染色评估细胞活力和增殖。酶联免疫吸附法定量生长因子浓度,多重qPCR和免疫细胞化学染色分析第1天和第7天的基因和蛋白质表达。在第7天,prfe补充培养的细胞活力和增殖能力最高,显著超过其他各组(p
本文章由计算机程序翻译,如有差异,请以英文原文为准。

Platelet-Rich Fibrin Mediates Beneficial Effects on Adipose-Derived Stem Cells via Increased Levels of Key Cytokines.

Platelet-Rich Fibrin Mediates Beneficial Effects on Adipose-Derived Stem Cells via Increased Levels of Key Cytokines.

Platelet-Rich Fibrin Mediates Beneficial Effects on Adipose-Derived Stem Cells via Increased Levels of Key Cytokines.

Platelet-Rich Fibrin Mediates Beneficial Effects on Adipose-Derived Stem Cells via Increased Levels of Key Cytokines.

Recent studies showcased the regenerative potential of Platelet-Rich Fibrin (PRF) combined with Adipose-Derived Stem Cells (ASC). PRF enhances cellular proliferation through sustained growth factor secretion which are continuously released to surrounding cells. However, its regulatory mechanisms remain unclear. ASC were isolated from liposuction and abdominoplasty samples of healthy donors, characterised via flow-cytometry and cultured for 7 days. Four cell culture conditions were tested: (1) 10% PRF extract (PRFe), (2) 10% Platelet-Low Plasma (PLP), (3) 10% Foetal Bovine Serum (FBS) and (4) basal medium as control. Cell viability and proliferation were assessed using AlamarBlue and PicoGreen assays, as well as live-dead staining. Enzyme-Linked Immunosorbent Assays quantified growth factor concentrations, while multiplex qPCR and immunocytochemical staining analysed gene and protein expression on days 1 and 7. PRFe-supplemented cultures showed the highest viability and proliferation, significantly surpassing other groups at day 7 (p < 0.05). Supernatant analysis revealed significantly elevated TGF-β1 and PDGF-AA/BB levels in PRFe cultures at day 7 (p of at least < 0.05). Multiplex qPCR indicated increased expression of proliferation and pluripotency markers (NANOG, JUN, SOX2, RPS6KA4; p < 0.05) and fibrillar collagen (COL1A; p < 0.05) in the PRFe group. These findings demonstrate that PRFe significantly enhances ASC proliferation and regenerative potential. Elevated levels of TGF-1, PDGF-AA/BB and to a lesser extend VEGF in PRFe cultures suggest that its benefits in regenerative medicine may be linked to these cytokines' upregulation. These results underscore PRFe's potential as a key supplement for optimising ASC-based therapies in tissue regeneration.

求助全文
通过发布文献求助,成功后即可免费获取论文全文。 去求助
来源期刊
Wound Repair and Regeneration
Wound Repair and Regeneration 医学-皮肤病学
CiteScore
5.90
自引率
3.40%
发文量
71
审稿时长
6-12 weeks
期刊介绍: Wound Repair and Regeneration provides extensive international coverage of cellular and molecular biology, connective tissue, and biological mediator studies in the field of tissue repair and regeneration and serves a diverse audience of surgeons, plastic surgeons, dermatologists, biochemists, cell biologists, and others. Wound Repair and Regeneration is the official journal of The Wound Healing Society, The European Tissue Repair Society, The Japanese Society for Wound Healing, and The Australian Wound Management Association.
×
引用
GB/T 7714-2015
复制
MLA
复制
APA
复制
导出至
BibTeX EndNote RefMan NoteFirst NoteExpress
×
提示
您的信息不完整,为了账户安全,请先补充。
现在去补充
×
提示
您因"违规操作"
具体请查看互助需知
我知道了
×
提示
确定
请完成安全验证×
copy
已复制链接
快去分享给好友吧!
我知道了
右上角分享
点击右上角分享
0
联系我们:info@booksci.cn Book学术提供免费学术资源搜索服务,方便国内外学者检索中英文文献。致力于提供最便捷和优质的服务体验。 Copyright © 2023 布克学术 All rights reserved.
京ICP备2023020795号-1
ghs 京公网安备 11010802042870号
Book学术文献互助
Book学术文献互助群
群 号:604180095
Book学术官方微信