肉桂醛和α-松油醇对白色念珠菌和粪肠球菌牙髓生物膜的抗菌作用。

IF 3.2 Q3 MICROBIOLOGY
International Journal of Microbiology Pub Date : 2025-05-13 eCollection Date: 2025-01-01 DOI:10.1155/ijm/4769807
Maria Heloísa de Souza Borges-Grisi, Arella Cristina Muniz Brito, Isis Morais Bezerra, Loyse Martorano-Fernandes, Yuri Wanderley Cavalcanti, Leopoldina de Fátima Dantas de Almeida
{"title":"肉桂醛和α-松油醇对白色念珠菌和粪肠球菌牙髓生物膜的抗菌作用。","authors":"Maria Heloísa de Souza Borges-Grisi, Arella Cristina Muniz Brito, Isis Morais Bezerra, Loyse Martorano-Fernandes, Yuri Wanderley Cavalcanti, Leopoldina de Fátima Dantas de Almeida","doi":"10.1155/ijm/4769807","DOIUrl":null,"url":null,"abstract":"<p><p><b>Objectives:</b> The objective was to assess the antimicrobial effect of cinnamaldehyde and <i>α</i>-terpineol on mono-species and dual-species biofilms involved in endodontic infection. <b>Materials and Methods:</b> The phytoconstituents were used at a concentration of 10 mg/mL. The biofilms of <i>Candida albicans</i> (ATCC 90028) and <i>Enterococcus faecalis</i> (ATCC 29212) were developed for 7 days and evaluated by metabolic capacity analysis using MTT, cell viability analysis by CFU/mL, and phospholipase activity. The RPMI 1640 medium was used as the negative control and sodium hypochlorite 2.5% and chlorhexidine 2% were used as positive controls. Data were analyzed by a Kruskal-Wallis test and stepwise with adjusted Bonferroni for nonnormal data and an ANOVA one-way test followed by Tukey's post hoc test for normal data (<i>α</i> = 5%). <b>Results:</b> The cellular metabolism of the <i>C. albicans</i> and <i>E. faecalis</i> mono-species biofilms was reduced by cinnamaldehyde and <i>α</i>-terpineol (<i>p</i> < 0.05). For dual-species biofilm, only <i>α</i>-terpineol showed differences compared to the negative control (<i>p</i> < 0.05). The phytoconstituents showed an inhibitory effect on cell viability (CFU/mL) and phospholipase activity of biofilms, having an activity similar to sodium hypochlorite (<i>p</i> > 0.05). <b>Conclusions:</b> The phytoconstituents cinnamaldehyde and <i>α</i>-terpineol, at a concentration of 10 mg/mL, had an inhibitory effect on mono-species and dual-species biofilms of <i>E. faecalis</i> and <i>C. albicans</i>.</p>","PeriodicalId":14098,"journal":{"name":"International Journal of Microbiology","volume":"2025 ","pages":"4769807"},"PeriodicalIF":3.2000,"publicationDate":"2025-05-13","publicationTypes":"Journal Article","fieldsOfStudy":null,"isOpenAccess":false,"openAccessPdf":"https://www.ncbi.nlm.nih.gov/pmc/articles/PMC12092155/pdf/","citationCount":"0","resultStr":"{\"title\":\"Antimicrobial Effect of Cinnamaldehyde and <i>α</i>-Terpineol on Endodontic Biofilms of <i>Candida albicans</i> and <i>Enterococcus faecalis</i>.\",\"authors\":\"Maria Heloísa de Souza Borges-Grisi, Arella Cristina Muniz Brito, Isis Morais Bezerra, Loyse Martorano-Fernandes, Yuri Wanderley Cavalcanti, Leopoldina de Fátima Dantas de Almeida\",\"doi\":\"10.1155/ijm/4769807\",\"DOIUrl\":null,\"url\":null,\"abstract\":\"<p><p><b>Objectives:</b> The objective was to assess the antimicrobial effect of cinnamaldehyde and <i>α</i>-terpineol on mono-species and dual-species biofilms involved in endodontic infection. <b>Materials and Methods:</b> The phytoconstituents were used at a concentration of 10 mg/mL. The biofilms of <i>Candida albicans</i> (ATCC 90028) and <i>Enterococcus faecalis</i> (ATCC 29212) were developed for 7 days and evaluated by metabolic capacity analysis using MTT, cell viability analysis by CFU/mL, and phospholipase activity. The RPMI 1640 medium was used as the negative control and sodium hypochlorite 2.5% and chlorhexidine 2% were used as positive controls. Data were analyzed by a Kruskal-Wallis test and stepwise with adjusted Bonferroni for nonnormal data and an ANOVA one-way test followed by Tukey's post hoc test for normal data (<i>α</i> = 5%). <b>Results:</b> The cellular metabolism of the <i>C. albicans</i> and <i>E. faecalis</i> mono-species biofilms was reduced by cinnamaldehyde and <i>α</i>-terpineol (<i>p</i> < 0.05). For dual-species biofilm, only <i>α</i>-terpineol showed differences compared to the negative control (<i>p</i> < 0.05). The phytoconstituents showed an inhibitory effect on cell viability (CFU/mL) and phospholipase activity of biofilms, having an activity similar to sodium hypochlorite (<i>p</i> > 0.05). <b>Conclusions:</b> The phytoconstituents cinnamaldehyde and <i>α</i>-terpineol, at a concentration of 10 mg/mL, had an inhibitory effect on mono-species and dual-species biofilms of <i>E. faecalis</i> and <i>C. albicans</i>.</p>\",\"PeriodicalId\":14098,\"journal\":{\"name\":\"International Journal of Microbiology\",\"volume\":\"2025 \",\"pages\":\"4769807\"},\"PeriodicalIF\":3.2000,\"publicationDate\":\"2025-05-13\",\"publicationTypes\":\"Journal Article\",\"fieldsOfStudy\":null,\"isOpenAccess\":false,\"openAccessPdf\":\"https://www.ncbi.nlm.nih.gov/pmc/articles/PMC12092155/pdf/\",\"citationCount\":\"0\",\"resultStr\":null,\"platform\":\"Semanticscholar\",\"paperid\":null,\"PeriodicalName\":\"International Journal of Microbiology\",\"FirstCategoryId\":\"1085\",\"ListUrlMain\":\"https://doi.org/10.1155/ijm/4769807\",\"RegionNum\":0,\"RegionCategory\":null,\"ArticlePicture\":[],\"TitleCN\":null,\"AbstractTextCN\":null,\"PMCID\":null,\"EPubDate\":\"2025/1/1 0:00:00\",\"PubModel\":\"eCollection\",\"JCR\":\"Q3\",\"JCRName\":\"MICROBIOLOGY\",\"Score\":null,\"Total\":0}","platform":"Semanticscholar","paperid":null,"PeriodicalName":"International Journal of Microbiology","FirstCategoryId":"1085","ListUrlMain":"https://doi.org/10.1155/ijm/4769807","RegionNum":0,"RegionCategory":null,"ArticlePicture":[],"TitleCN":null,"AbstractTextCN":null,"PMCID":null,"EPubDate":"2025/1/1 0:00:00","PubModel":"eCollection","JCR":"Q3","JCRName":"MICROBIOLOGY","Score":null,"Total":0}
引用次数: 0

摘要

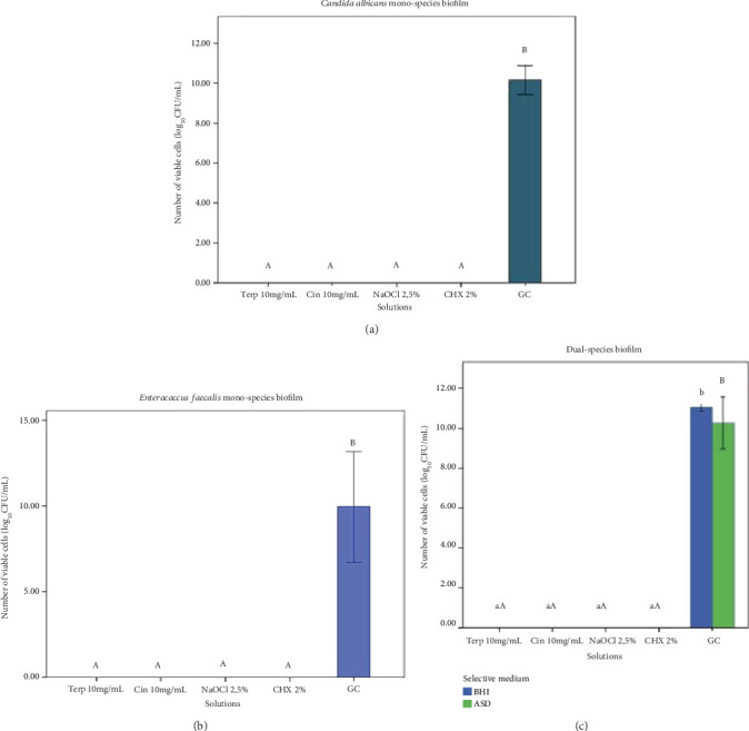
目的:探讨肉桂醛和α-松油醇对根管感染单种和双种生物膜的抗菌作用。材料与方法:采用浓度为10 mg/mL的植物成分。培养白色念珠菌(ATCC 90028)和粪肠球菌(ATCC 29212)生物膜7 d,采用MTT法测定代谢能力、CFU/mL法测定细胞活力和磷脂酶活性。以RPMI 1640培养基为阴性对照,2.5%次氯酸钠和2%氯己定为阳性对照。数据分析采用Kruskal-Wallis检验,非正态数据采用调整后的Bonferroni逐步分析,正常数据采用单因素方差分析和Tukey事后检验(α = 5%)。结果:肉桂醛和α-松油醇降低了白色念珠菌和粪肠球菌单种生物膜的细胞代谢(p < 0.05)。双种生物膜中,只有α-松油醇与阴性对照有差异(p < 0.05)。这些植物成分对生物膜的细胞活力(CFU/mL)和磷脂酶活性有抑制作用,其抑制作用与次氯酸钠相似(p < 0.05)。结论:肉桂醛和α-松油醇浓度为10 mg/mL时,对粪肠杆菌和白色念珠菌的单种和双种生物膜均有抑制作用。
本文章由计算机程序翻译,如有差异,请以英文原文为准。

Antimicrobial Effect of Cinnamaldehyde and <i>α</i>-Terpineol on Endodontic Biofilms of <i>Candida albicans</i> and <i>Enterococcus faecalis</i>.

Antimicrobial Effect of Cinnamaldehyde and <i>α</i>-Terpineol on Endodontic Biofilms of <i>Candida albicans</i> and <i>Enterococcus faecalis</i>.

Antimicrobial Effect of Cinnamaldehyde and <i>α</i>-Terpineol on Endodontic Biofilms of <i>Candida albicans</i> and <i>Enterococcus faecalis</i>.

Antimicrobial Effect of Cinnamaldehyde and α-Terpineol on Endodontic Biofilms of Candida albicans and Enterococcus faecalis.

Objectives: The objective was to assess the antimicrobial effect of cinnamaldehyde and α-terpineol on mono-species and dual-species biofilms involved in endodontic infection. Materials and Methods: The phytoconstituents were used at a concentration of 10 mg/mL. The biofilms of Candida albicans (ATCC 90028) and Enterococcus faecalis (ATCC 29212) were developed for 7 days and evaluated by metabolic capacity analysis using MTT, cell viability analysis by CFU/mL, and phospholipase activity. The RPMI 1640 medium was used as the negative control and sodium hypochlorite 2.5% and chlorhexidine 2% were used as positive controls. Data were analyzed by a Kruskal-Wallis test and stepwise with adjusted Bonferroni for nonnormal data and an ANOVA one-way test followed by Tukey's post hoc test for normal data (α = 5%). Results: The cellular metabolism of the C. albicans and E. faecalis mono-species biofilms was reduced by cinnamaldehyde and α-terpineol (p < 0.05). For dual-species biofilm, only α-terpineol showed differences compared to the negative control (p < 0.05). The phytoconstituents showed an inhibitory effect on cell viability (CFU/mL) and phospholipase activity of biofilms, having an activity similar to sodium hypochlorite (p > 0.05). Conclusions: The phytoconstituents cinnamaldehyde and α-terpineol, at a concentration of 10 mg/mL, had an inhibitory effect on mono-species and dual-species biofilms of E. faecalis and C. albicans.

求助全文
通过发布文献求助,成功后即可免费获取论文全文。 去求助
来源期刊
CiteScore
7.90
自引率
0.00%
发文量
57
审稿时长
13 weeks
期刊介绍: International Journal of Microbiology is a peer-reviewed, Open Access journal that publishes original research articles, review articles, and clinical studies on microorganisms and their interaction with hosts and the environment. The journal covers all microbes, including bacteria, fungi, viruses, archaea, and protozoa. Basic science will be considered, as well as medical and applied research.
×
引用
GB/T 7714-2015
复制
MLA
复制
APA
复制
导出至
BibTeX EndNote RefMan NoteFirst NoteExpress
×
提示
您的信息不完整,为了账户安全,请先补充。
现在去补充
×
提示
您因"违规操作"
具体请查看互助需知
我知道了
×
提示
确定
请完成安全验证×
copy
已复制链接
快去分享给好友吧!
我知道了
右上角分享
点击右上角分享
0
联系我们:info@booksci.cn Book学术提供免费学术资源搜索服务,方便国内外学者检索中英文文献。致力于提供最便捷和优质的服务体验。 Copyright © 2023 布克学术 All rights reserved.
京ICP备2023020795号-1
ghs 京公网安备 11010802042870号
Book学术文献互助
Book学术文献互助群
群 号:604180095
Book学术官方微信