安大略省单次转诊模式和团队护理对髋关节和膝关节置换术等待时间的影响:一项模拟研究。

IF 11.3 1区 医学 Q1 MEDICINE, GENERAL & INTERNAL
Pardis Seyedi, Dionne Aleman, Nancy N Baxter, Chaim M Bell, Merve Bodur, Andrew Calzavara, Robert Campbell, Michael Carter, Pieter de Jager, Scott D Emerson, Jonathan Irish, Danielle Martin, Samantha Lee, Jonathan Persitz, Marcy Saxe-Braithwaite, Julie Takata, Olivia Varkul, Suting Yang, Claudia Zanchetta, David R Urbach
{"title":"安大略省单次转诊模式和团队护理对髋关节和膝关节置换术等待时间的影响:一项模拟研究。","authors":"Pardis Seyedi, Dionne Aleman, Nancy N Baxter, Chaim M Bell, Merve Bodur, Andrew Calzavara, Robert Campbell, Michael Carter, Pieter de Jager, Scott D Emerson, Jonathan Irish, Danielle Martin, Samantha Lee, Jonathan Persitz, Marcy Saxe-Braithwaite, Julie Takata, Olivia Varkul, Suting Yang, Claudia Zanchetta, David R Urbach","doi":"10.1503/cmaj.241755","DOIUrl":null,"url":null,"abstract":"<p><strong>Background: </strong>Long wait times for scheduled surgery are a major problem in Canadian health systems. We sought to determine the extent to which single-entry referral models (next available consultation), team-based care models (next available surgery regardless of consulting surgeon), or both could affect wait times for consultations and surgery.</p><p><strong>Methods: </strong>We performed a discrete-event simulation study of wait times for consultations and surgeries for knee and hip joint replacement in Ontario's 5 postal regions using prospectively collected data on surgical wait times. We simulated the effects of coordinated referral models on the wait time for consultation (wait 1) and surgery (wait 2).</p><p><strong>Results: </strong>Coordinated models led to larger reductions in high-outlier wait times (as reflected by the 90th percentile and the percentage of patients exceeding wait-time targets) than on median wait times when compared with the status quo. Single-entry referral models largely influenced wait 1, and team-based models of care affected only wait 2. Fully integrated models incorporating both single-entry referral and team-based care largely prevented patients from exceeding both wait-1 and wait-2 targets; the percentage of patients exceeding wait-1 targets in these models was 0% in all regions, and the percentage exceeding wait-2 targets was 0% except for Ontario West (2.0%, from 35.7% at baseline), East (1.1%, from 22.7% at baseline), and North (1.0%, from 25.1% at baseline).</p><p><strong>Interpretation: </strong>Coordinated referral and practice models improve access to scheduled surgery in Canadian health systems. Implementation of these models could largely eliminate prolonged wait times for joint replacement surgery in Ontario.</p>","PeriodicalId":9609,"journal":{"name":"Canadian Medical Association journal","volume":"197 19","pages":"E524-E531"},"PeriodicalIF":11.3000,"publicationDate":"2025-05-19","publicationTypes":"Journal Article","fieldsOfStudy":null,"isOpenAccess":false,"openAccessPdf":"https://www.ncbi.nlm.nih.gov/pmc/articles/PMC12109095/pdf/","citationCount":"0","resultStr":"{\"title\":\"Effect of single-entry referral models and team-based care on wait times for hip and knee joint replacement in Ontario: a simulation study.\",\"authors\":\"Pardis Seyedi, Dionne Aleman, Nancy N Baxter, Chaim M Bell, Merve Bodur, Andrew Calzavara, Robert Campbell, Michael Carter, Pieter de Jager, Scott D Emerson, Jonathan Irish, Danielle Martin, Samantha Lee, Jonathan Persitz, Marcy Saxe-Braithwaite, Julie Takata, Olivia Varkul, Suting Yang, Claudia Zanchetta, David R Urbach\",\"doi\":\"10.1503/cmaj.241755\",\"DOIUrl\":null,\"url\":null,\"abstract\":\"<p><strong>Background: </strong>Long wait times for scheduled surgery are a major problem in Canadian health systems. We sought to determine the extent to which single-entry referral models (next available consultation), team-based care models (next available surgery regardless of consulting surgeon), or both could affect wait times for consultations and surgery.</p><p><strong>Methods: </strong>We performed a discrete-event simulation study of wait times for consultations and surgeries for knee and hip joint replacement in Ontario's 5 postal regions using prospectively collected data on surgical wait times. We simulated the effects of coordinated referral models on the wait time for consultation (wait 1) and surgery (wait 2).</p><p><strong>Results: </strong>Coordinated models led to larger reductions in high-outlier wait times (as reflected by the 90th percentile and the percentage of patients exceeding wait-time targets) than on median wait times when compared with the status quo. Single-entry referral models largely influenced wait 1, and team-based models of care affected only wait 2. Fully integrated models incorporating both single-entry referral and team-based care largely prevented patients from exceeding both wait-1 and wait-2 targets; the percentage of patients exceeding wait-1 targets in these models was 0% in all regions, and the percentage exceeding wait-2 targets was 0% except for Ontario West (2.0%, from 35.7% at baseline), East (1.1%, from 22.7% at baseline), and North (1.0%, from 25.1% at baseline).</p><p><strong>Interpretation: </strong>Coordinated referral and practice models improve access to scheduled surgery in Canadian health systems. Implementation of these models could largely eliminate prolonged wait times for joint replacement surgery in Ontario.</p>\",\"PeriodicalId\":9609,\"journal\":{\"name\":\"Canadian Medical Association journal\",\"volume\":\"197 19\",\"pages\":\"E524-E531\"},\"PeriodicalIF\":11.3000,\"publicationDate\":\"2025-05-19\",\"publicationTypes\":\"Journal Article\",\"fieldsOfStudy\":null,\"isOpenAccess\":false,\"openAccessPdf\":\"https://www.ncbi.nlm.nih.gov/pmc/articles/PMC12109095/pdf/\",\"citationCount\":\"0\",\"resultStr\":null,\"platform\":\"Semanticscholar\",\"paperid\":null,\"PeriodicalName\":\"Canadian Medical Association journal\",\"FirstCategoryId\":\"3\",\"ListUrlMain\":\"https://doi.org/10.1503/cmaj.241755\",\"RegionNum\":1,\"RegionCategory\":\"医学\",\"ArticlePicture\":[],\"TitleCN\":null,\"AbstractTextCN\":null,\"PMCID\":null,\"EPubDate\":\"\",\"PubModel\":\"\",\"JCR\":\"Q1\",\"JCRName\":\"MEDICINE, GENERAL & INTERNAL\",\"Score\":null,\"Total\":0}","platform":"Semanticscholar","paperid":null,"PeriodicalName":"Canadian Medical Association journal","FirstCategoryId":"3","ListUrlMain":"https://doi.org/10.1503/cmaj.241755","RegionNum":1,"RegionCategory":"医学","ArticlePicture":[],"TitleCN":null,"AbstractTextCN":null,"PMCID":null,"EPubDate":"","PubModel":"","JCR":"Q1","JCRName":"MEDICINE, GENERAL & INTERNAL","Score":null,"Total":0}
引用次数: 0

摘要

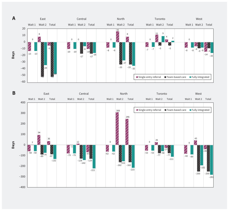
背景:长时间等待预定手术是加拿大卫生系统的主要问题。我们试图确定单次转诊模式(下次可就诊)、基于团队的护理模式(下次可就诊而不咨询外科医生)或两者都能影响就诊和手术等待时间的程度。方法:我们使用前瞻性收集的手术等待时间数据,对安大略省5个邮政地区膝关节和髋关节置换术的咨询和手术等待时间进行了离散事件模拟研究。我们模拟了协调转诊模式对会诊等待时间(等待1)和手术等待时间(等待2)的影响。结果:与现状相比,协调模型导致高异常等待时间(反映在第90百分位和超过等待时间目标的患者百分比)比中位数等待时间减少得更多。单条目转诊模式在很大程度上影响了等待1,而基于团队的护理模式只影响了等待2。完全整合的模式,包括单次转诊和团队护理,很大程度上防止了患者超过等待1和等待2的目标;在这些模型中,所有地区超过等待-1目标的患者百分比为0%,超过等待-2目标的百分比为0%,除了安大略省西部(2.0%,基线为35.7%),东部(1.1%,基线为22.7%)和北部(1.0%,基线为25.1%)。解释:协调的转诊和实践模式改善了加拿大卫生系统中预定手术的可及性。这些模型的实施可以在很大程度上消除安大略省关节置换手术的漫长等待时间。
本文章由计算机程序翻译,如有差异,请以英文原文为准。

Effect of single-entry referral models and team-based care on wait times for hip and knee joint replacement in Ontario: a simulation study.

Effect of single-entry referral models and team-based care on wait times for hip and knee joint replacement in Ontario: a simulation study.

Effect of single-entry referral models and team-based care on wait times for hip and knee joint replacement in Ontario: a simulation study.

Effect of single-entry referral models and team-based care on wait times for hip and knee joint replacement in Ontario: a simulation study.

Background: Long wait times for scheduled surgery are a major problem in Canadian health systems. We sought to determine the extent to which single-entry referral models (next available consultation), team-based care models (next available surgery regardless of consulting surgeon), or both could affect wait times for consultations and surgery.

Methods: We performed a discrete-event simulation study of wait times for consultations and surgeries for knee and hip joint replacement in Ontario's 5 postal regions using prospectively collected data on surgical wait times. We simulated the effects of coordinated referral models on the wait time for consultation (wait 1) and surgery (wait 2).

Results: Coordinated models led to larger reductions in high-outlier wait times (as reflected by the 90th percentile and the percentage of patients exceeding wait-time targets) than on median wait times when compared with the status quo. Single-entry referral models largely influenced wait 1, and team-based models of care affected only wait 2. Fully integrated models incorporating both single-entry referral and team-based care largely prevented patients from exceeding both wait-1 and wait-2 targets; the percentage of patients exceeding wait-1 targets in these models was 0% in all regions, and the percentage exceeding wait-2 targets was 0% except for Ontario West (2.0%, from 35.7% at baseline), East (1.1%, from 22.7% at baseline), and North (1.0%, from 25.1% at baseline).

Interpretation: Coordinated referral and practice models improve access to scheduled surgery in Canadian health systems. Implementation of these models could largely eliminate prolonged wait times for joint replacement surgery in Ontario.

求助全文
通过发布文献求助,成功后即可免费获取论文全文。 去求助
来源期刊
Canadian Medical Association journal
Canadian Medical Association journal 医学-医学:内科
CiteScore
8.30
自引率
4.10%
发文量
481
审稿时长
4-8 weeks
期刊介绍: CMAJ (Canadian Medical Association Journal) is a peer-reviewed general medical journal renowned for publishing original research, commentaries, analyses, reviews, clinical practice updates, and editorials. Led by Editor-in-Chief Dr. Kirsten Patrick, it has a significant impact on healthcare in Canada and globally, with a 2022 impact factor of 17.4. Its mission is to promote knowledge vital for the health of Canadians and the global community, guided by values of service, evidence, and integrity. The journal's vision emphasizes the importance of the best evidence, practice, and health outcomes. CMAJ covers a broad range of topics, focusing on contributing to the evidence base, influencing clinical practice, and raising awareness of pressing health issues among policymakers and the public. Since 2020, with the appointment of a Lead of Patient Involvement, CMAJ is committed to integrating patients into its governance and operations, encouraging their content submissions.
×
引用
GB/T 7714-2015
复制
MLA
复制
APA
复制
导出至
BibTeX EndNote RefMan NoteFirst NoteExpress
×
提示
您的信息不完整,为了账户安全,请先补充。
现在去补充
×
提示
您因"违规操作"
具体请查看互助需知
我知道了
×
提示
确定
请完成安全验证×
copy
已复制链接
快去分享给好友吧!
我知道了
右上角分享
点击右上角分享
0
联系我们:info@booksci.cn Book学术提供免费学术资源搜索服务,方便国内外学者检索中英文文献。致力于提供最便捷和优质的服务体验。 Copyright © 2023 布克学术 All rights reserved.
京ICP备2023020795号-1
ghs 京公网安备 11010802042870号
Book学术文献互助
Book学术文献互助群
群 号:604180095
Book学术官方微信