巴西青少年口腔健康演变:2003年、2010年和2023年SB Brasil调查的比较分析

IF 1.3 4区 医学 Q3 DENTISTRY, ORAL SURGERY & MEDICINE
Andreia Maria Araújo Drummond, Thiago Caldeira Diniz, Raquel Conceição Ferreira, Viviane Elisângela Gomes, Rafaela da Silveira Pinto, Mara Vasconcelos, Marcus Vinícius Camargo Prates, Andrea Maria Duarte Vargas
{"title":"巴西青少年口腔健康演变:2003年、2010年和2023年SB Brasil调查的比较分析","authors":"Andreia Maria Araújo Drummond, Thiago Caldeira Diniz, Raquel Conceição Ferreira, Viviane Elisângela Gomes, Rafaela da Silveira Pinto, Mara Vasconcelos, Marcus Vinícius Camargo Prates, Andrea Maria Duarte Vargas","doi":"10.1590/1807-3107bor-2025.vol39.048","DOIUrl":null,"url":null,"abstract":"<p><p>This study aimed to compare the findings of the SB Brasil 2003, 2010, and 2023 surveys and analyze the evolution of caries experience among Brazilian adolescents (aged 15-19 years). A total of 16,832 adolescents were evaluated in 2003, 5,445 in 2010, and 8,054 in 2023. Although the 2010 sample was numerically smaller, all surveys maintained representativeness for Brazil, its regions, and state capitals, following national epidemiological sampling criteria. The DMFT index (Decayed, Missing, and Filled Teeth) and its components were analyzed at the national, regional, and state capital levels, considering socioeconomic and regional disparities. A significant reduction in the mean DMFT index was observed, from 5.51 (2003) to 4.25 (2010) and 3.41 (2023), with more pronounced declines in the Northeast and South regions. The decayed component showed a decrease between 2003 and 2023, while the filled teeth without decay component consistently decreased. Despite these improvements, regional inequalities persist, with the North and Central-West regions reporting higher caries rates and lower access to dental care. These findings highlight notable advancements in adolescent oral health in Brazil, particularly regarding the reduction in caries experience across some regions. However, persistent disparities underscore the need for targeted public health policies to ensure more equitable access to oral healthcare.</p>","PeriodicalId":9240,"journal":{"name":"Brazilian oral research","volume":"39 suppl 1","pages":"e048"},"PeriodicalIF":1.3000,"publicationDate":"2025-04-01","publicationTypes":"Journal Article","fieldsOfStudy":null,"isOpenAccess":false,"openAccessPdf":"https://www.ncbi.nlm.nih.gov/pmc/articles/PMC12096855/pdf/","citationCount":"0","resultStr":"{\"title\":\"Oral health evolution in Brazilian adolescents: comparative analysis of SB Brasil Surveys 2003, 2010 and 2023.\",\"authors\":\"Andreia Maria Araújo Drummond, Thiago Caldeira Diniz, Raquel Conceição Ferreira, Viviane Elisângela Gomes, Rafaela da Silveira Pinto, Mara Vasconcelos, Marcus Vinícius Camargo Prates, Andrea Maria Duarte Vargas\",\"doi\":\"10.1590/1807-3107bor-2025.vol39.048\",\"DOIUrl\":null,\"url\":null,\"abstract\":\"<p><p>This study aimed to compare the findings of the SB Brasil 2003, 2010, and 2023 surveys and analyze the evolution of caries experience among Brazilian adolescents (aged 15-19 years). A total of 16,832 adolescents were evaluated in 2003, 5,445 in 2010, and 8,054 in 2023. Although the 2010 sample was numerically smaller, all surveys maintained representativeness for Brazil, its regions, and state capitals, following national epidemiological sampling criteria. The DMFT index (Decayed, Missing, and Filled Teeth) and its components were analyzed at the national, regional, and state capital levels, considering socioeconomic and regional disparities. A significant reduction in the mean DMFT index was observed, from 5.51 (2003) to 4.25 (2010) and 3.41 (2023), with more pronounced declines in the Northeast and South regions. The decayed component showed a decrease between 2003 and 2023, while the filled teeth without decay component consistently decreased. Despite these improvements, regional inequalities persist, with the North and Central-West regions reporting higher caries rates and lower access to dental care. These findings highlight notable advancements in adolescent oral health in Brazil, particularly regarding the reduction in caries experience across some regions. However, persistent disparities underscore the need for targeted public health policies to ensure more equitable access to oral healthcare.</p>\",\"PeriodicalId\":9240,\"journal\":{\"name\":\"Brazilian oral research\",\"volume\":\"39 suppl 1\",\"pages\":\"e048\"},\"PeriodicalIF\":1.3000,\"publicationDate\":\"2025-04-01\",\"publicationTypes\":\"Journal Article\",\"fieldsOfStudy\":null,\"isOpenAccess\":false,\"openAccessPdf\":\"https://www.ncbi.nlm.nih.gov/pmc/articles/PMC12096855/pdf/\",\"citationCount\":\"0\",\"resultStr\":null,\"platform\":\"Semanticscholar\",\"paperid\":null,\"PeriodicalName\":\"Brazilian oral research\",\"FirstCategoryId\":\"3\",\"ListUrlMain\":\"https://doi.org/10.1590/1807-3107bor-2025.vol39.048\",\"RegionNum\":4,\"RegionCategory\":\"医学\",\"ArticlePicture\":[],\"TitleCN\":null,\"AbstractTextCN\":null,\"PMCID\":null,\"EPubDate\":\"\",\"PubModel\":\"\",\"JCR\":\"Q3\",\"JCRName\":\"DENTISTRY, ORAL SURGERY & MEDICINE\",\"Score\":null,\"Total\":0}","platform":"Semanticscholar","paperid":null,"PeriodicalName":"Brazilian oral research","FirstCategoryId":"3","ListUrlMain":"https://doi.org/10.1590/1807-3107bor-2025.vol39.048","RegionNum":4,"RegionCategory":"医学","ArticlePicture":[],"TitleCN":null,"AbstractTextCN":null,"PMCID":null,"EPubDate":"","PubModel":"","JCR":"Q3","JCRName":"DENTISTRY, ORAL SURGERY & MEDICINE","Score":null,"Total":0}
引用次数: 0

摘要

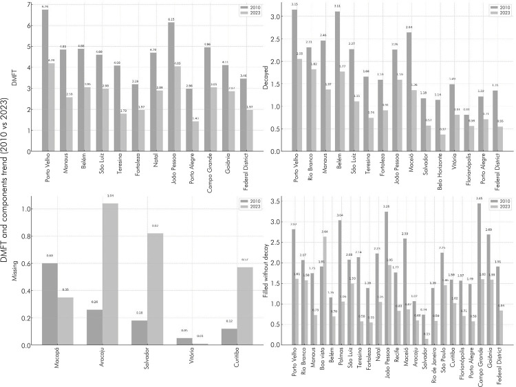
本研究旨在比较2003年、2010年和2023年巴西SB调查的结果,并分析巴西青少年(15-19岁)龋齿经历的演变。2003年共有16,832名青少年接受了评估,2010年为5,445名,2023年为8,054名。尽管2010年的样本数量较少,但所有调查都遵循国家流行病学抽样标准,保持了巴西、各地区和各州首府的代表性。考虑到社会经济和地区差异,在国家、地区和州资本水平上分析了DMFT指数(蛀牙、缺牙和补牙)及其组成部分。平均DMFT指数显著下降,从5.51(2003年)降至4.25(2010年)和3.41(2023年),其中东北和南部地区下降更为明显。2003 ~ 2023年间,龋坏部分呈下降趋势,而未龋坏的补牙部分呈下降趋势。尽管取得了这些改善,但地区不平等现象仍然存在,北部和中西部地区报告的龋齿率较高,获得牙科保健的机会较低。这些发现突出了巴西在青少年口腔健康方面取得的显著进展,特别是在一些地区减少龋齿方面。然而,持续存在的差距强调需要有针对性的公共卫生政策,以确保更公平地获得口腔保健。
本文章由计算机程序翻译,如有差异,请以英文原文为准。

Oral health evolution in Brazilian adolescents: comparative analysis of SB Brasil Surveys 2003, 2010 and 2023.

Oral health evolution in Brazilian adolescents: comparative analysis of SB Brasil Surveys 2003, 2010 and 2023.

Oral health evolution in Brazilian adolescents: comparative analysis of SB Brasil Surveys 2003, 2010 and 2023.

This study aimed to compare the findings of the SB Brasil 2003, 2010, and 2023 surveys and analyze the evolution of caries experience among Brazilian adolescents (aged 15-19 years). A total of 16,832 adolescents were evaluated in 2003, 5,445 in 2010, and 8,054 in 2023. Although the 2010 sample was numerically smaller, all surveys maintained representativeness for Brazil, its regions, and state capitals, following national epidemiological sampling criteria. The DMFT index (Decayed, Missing, and Filled Teeth) and its components were analyzed at the national, regional, and state capital levels, considering socioeconomic and regional disparities. A significant reduction in the mean DMFT index was observed, from 5.51 (2003) to 4.25 (2010) and 3.41 (2023), with more pronounced declines in the Northeast and South regions. The decayed component showed a decrease between 2003 and 2023, while the filled teeth without decay component consistently decreased. Despite these improvements, regional inequalities persist, with the North and Central-West regions reporting higher caries rates and lower access to dental care. These findings highlight notable advancements in adolescent oral health in Brazil, particularly regarding the reduction in caries experience across some regions. However, persistent disparities underscore the need for targeted public health policies to ensure more equitable access to oral healthcare.

求助全文
通过发布文献求助,成功后即可免费获取论文全文。 去求助
来源期刊
CiteScore
3.70
自引率
4.00%
发文量
107
审稿时长
12 weeks
×
引用
GB/T 7714-2015
复制
MLA
复制
APA
复制
导出至
BibTeX EndNote RefMan NoteFirst NoteExpress
×
提示
您的信息不完整,为了账户安全,请先补充。
现在去补充
×
提示
您因"违规操作"
具体请查看互助需知
我知道了
×
提示
确定
请完成安全验证×
copy
已复制链接
快去分享给好友吧!
我知道了
右上角分享
点击右上角分享
0
联系我们:info@booksci.cn Book学术提供免费学术资源搜索服务,方便国内外学者检索中英文文献。致力于提供最便捷和优质的服务体验。 Copyright © 2023 布克学术 All rights reserved.
京ICP备2023020795号-1
ghs 京公网安备 11010802042870号
Book学术文献互助
Book学术文献互助群
群 号:604180095
Book学术官方微信