肌肉减少症、肌肉减少症成分和肌肉减少性肥胖与癌症发病率的关系:英国生物银行414094名参与者的前瞻性队列研究。

IF 4.7 2区 医学 Q1 ONCOLOGY
International Journal of Cancer Pub Date : 2025-10-01 Epub Date: 2025-05-21 DOI:10.1002/ijc.35480
Panagiotis Filis, Christos K Papagiannopoulos, Georgios Markozannes, Christos V Chalitsios, Ioannis Zerdes, Antonios Valachis, Christopher Papandreou, Sofia Christakoudi, Konstantinos K Tsilidis
{"title":"肌肉减少症、肌肉减少症成分和肌肉减少性肥胖与癌症发病率的关系:英国生物银行414094名参与者的前瞻性队列研究。","authors":"Panagiotis Filis, Christos K Papagiannopoulos, Georgios Markozannes, Christos V Chalitsios, Ioannis Zerdes, Antonios Valachis, Christopher Papandreou, Sofia Christakoudi, Konstantinos K Tsilidis","doi":"10.1002/ijc.35480","DOIUrl":null,"url":null,"abstract":"<p><p>Sarcopenia is characterised by low grip strength, muscle quantity or quality, and physical performance. This study investigated the associations of sarcopenia and its components with cancer incidence. A prospective cohort study was conducted utilising data from the UK Biobank. Sarcopenia and its components were defined according to the European Working Group on Sarcopenia in Older People criteria (EWGSOP2 2019). Cox proportional hazard models adjusted for sociodemographic, lifestyle, and health-related factors were performed. Overall, 63,379 out of 414,094 study participants had an incident diagnosis of cancer during a median follow-up of 11.7 years. In total, 32,286 participants had probable sarcopenia and 934 confirmed/severe sarcopenia at recruitment. Combined probable, confirmed, and severe sarcopenia was associated with a higher risk of liver (hazard ratio [HR] = 1.65, 95% confidence interval [CI]: 1.17-2.33), haematological (HR = 1.22, 95% CI: 1.01-1.46), and colorectal cancer (HR = 1.21, 95% CI: 1.04-1.41) in males, but not in females. The components of sarcopenia were associated with a higher risk of several cancers, including low grip strength (with liver, haematological and colorectal cancer in males), low muscle mass index (oesophageal in females and oral cancer in males), and slow walking pace (liver and lung in males, lung and overall cancer in females). Compared to participants with non-sarcopenic obesity, those with sarcopenic obesity had a higher risk of colorectal cancer in males (HR = 1.31, 95% CI: 1.03-1.68). Our study suggests that sarcopenia, sarcopenia components, and sarcopenic obesity can be associated with risk for several cancers, mainly of the gastrointestinal tract and in males. Thus, early identification of sarcopenia components may benefit cancer prevention.</p>","PeriodicalId":180,"journal":{"name":"International Journal of Cancer","volume":" ","pages":"1316-1332"},"PeriodicalIF":4.7000,"publicationDate":"2025-10-01","publicationTypes":"Journal Article","fieldsOfStudy":null,"isOpenAccess":false,"openAccessPdf":"https://www.ncbi.nlm.nih.gov/pmc/articles/PMC12334911/pdf/","citationCount":"0","resultStr":"{\"title\":\"Associations of sarcopenia, sarcopenia components and sarcopenic obesity with cancer incidence: A prospective cohort study of 414,094 participants in UK Biobank.\",\"authors\":\"Panagiotis Filis, Christos K Papagiannopoulos, Georgios Markozannes, Christos V Chalitsios, Ioannis Zerdes, Antonios Valachis, Christopher Papandreou, Sofia Christakoudi, Konstantinos K Tsilidis\",\"doi\":\"10.1002/ijc.35480\",\"DOIUrl\":null,\"url\":null,\"abstract\":\"<p><p>Sarcopenia is characterised by low grip strength, muscle quantity or quality, and physical performance. This study investigated the associations of sarcopenia and its components with cancer incidence. A prospective cohort study was conducted utilising data from the UK Biobank. Sarcopenia and its components were defined according to the European Working Group on Sarcopenia in Older People criteria (EWGSOP2 2019). Cox proportional hazard models adjusted for sociodemographic, lifestyle, and health-related factors were performed. Overall, 63,379 out of 414,094 study participants had an incident diagnosis of cancer during a median follow-up of 11.7 years. In total, 32,286 participants had probable sarcopenia and 934 confirmed/severe sarcopenia at recruitment. Combined probable, confirmed, and severe sarcopenia was associated with a higher risk of liver (hazard ratio [HR] = 1.65, 95% confidence interval [CI]: 1.17-2.33), haematological (HR = 1.22, 95% CI: 1.01-1.46), and colorectal cancer (HR = 1.21, 95% CI: 1.04-1.41) in males, but not in females. The components of sarcopenia were associated with a higher risk of several cancers, including low grip strength (with liver, haematological and colorectal cancer in males), low muscle mass index (oesophageal in females and oral cancer in males), and slow walking pace (liver and lung in males, lung and overall cancer in females). Compared to participants with non-sarcopenic obesity, those with sarcopenic obesity had a higher risk of colorectal cancer in males (HR = 1.31, 95% CI: 1.03-1.68). Our study suggests that sarcopenia, sarcopenia components, and sarcopenic obesity can be associated with risk for several cancers, mainly of the gastrointestinal tract and in males. Thus, early identification of sarcopenia components may benefit cancer prevention.</p>\",\"PeriodicalId\":180,\"journal\":{\"name\":\"International Journal of Cancer\",\"volume\":\" \",\"pages\":\"1316-1332\"},\"PeriodicalIF\":4.7000,\"publicationDate\":\"2025-10-01\",\"publicationTypes\":\"Journal Article\",\"fieldsOfStudy\":null,\"isOpenAccess\":false,\"openAccessPdf\":\"https://www.ncbi.nlm.nih.gov/pmc/articles/PMC12334911/pdf/\",\"citationCount\":\"0\",\"resultStr\":null,\"platform\":\"Semanticscholar\",\"paperid\":null,\"PeriodicalName\":\"International Journal of Cancer\",\"FirstCategoryId\":\"3\",\"ListUrlMain\":\"https://doi.org/10.1002/ijc.35480\",\"RegionNum\":2,\"RegionCategory\":\"医学\",\"ArticlePicture\":[],\"TitleCN\":null,\"AbstractTextCN\":null,\"PMCID\":null,\"EPubDate\":\"2025/5/21 0:00:00\",\"PubModel\":\"Epub\",\"JCR\":\"Q1\",\"JCRName\":\"ONCOLOGY\",\"Score\":null,\"Total\":0}","platform":"Semanticscholar","paperid":null,"PeriodicalName":"International Journal of Cancer","FirstCategoryId":"3","ListUrlMain":"https://doi.org/10.1002/ijc.35480","RegionNum":2,"RegionCategory":"医学","ArticlePicture":[],"TitleCN":null,"AbstractTextCN":null,"PMCID":null,"EPubDate":"2025/5/21 0:00:00","PubModel":"Epub","JCR":"Q1","JCRName":"ONCOLOGY","Score":null,"Total":0}
引用次数: 0

摘要

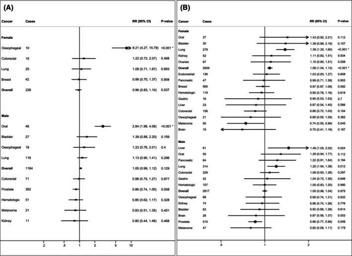
肌肉减少症的特点是握力低、肌肉数量或质量低、身体表现差。本研究调查了肌肉减少症及其组成部分与癌症发病率的关系。利用英国生物银行的数据进行了一项前瞻性队列研究。肌少症及其组成部分是根据欧洲老年人肌少症工作组(EWGSOP2 2019)的标准定义的。采用Cox比例风险模型对社会人口统计学、生活方式和健康相关因素进行调整。总体而言,在中位随访11.7年期间,414094名研究参与者中有63379人被诊断为癌症。在招募时,总共有32,286名参与者可能患有肌肉减少症,934名确诊/严重肌肉减少症。男性可能的、确诊的和严重的肌肉减少症与肝脏(风险比[HR] = 1.65, 95%可信区间[CI]: 1.17-2.33)、血液学(HR = 1.22, 95% CI: 1.01-1.46)和结直肠癌(HR = 1.21, 95% CI: 1.04-1.41)的高风险相关,但与女性无关。肌肉减少症的组成部分与几种癌症的高风险相关,包括握力低(男性患肝癌、血液癌和结直肠癌)、肌肉质量指数低(女性患食道癌和口腔癌)和走路速度慢(男性患肝癌和肺癌,女性患肺癌和整体癌症)。与非肌肉减少性肥胖的参与者相比,肌肉减少性肥胖的男性患结肠直肠癌的风险更高(HR = 1.31, 95% CI: 1.03-1.68)。我们的研究表明,肌肉减少症、肌肉减少症的组成部分和肌肉减少性肥胖可能与几种癌症的风险有关,主要是胃肠道和男性。因此,早期识别肌肉减少症的成分可能有利于癌症的预防。
本文章由计算机程序翻译,如有差异,请以英文原文为准。

Associations of sarcopenia, sarcopenia components and sarcopenic obesity with cancer incidence: A prospective cohort study of 414,094 participants in UK Biobank.

Associations of sarcopenia, sarcopenia components and sarcopenic obesity with cancer incidence: A prospective cohort study of 414,094 participants in UK Biobank.

Associations of sarcopenia, sarcopenia components and sarcopenic obesity with cancer incidence: A prospective cohort study of 414,094 participants in UK Biobank.

Associations of sarcopenia, sarcopenia components and sarcopenic obesity with cancer incidence: A prospective cohort study of 414,094 participants in UK Biobank.

Sarcopenia is characterised by low grip strength, muscle quantity or quality, and physical performance. This study investigated the associations of sarcopenia and its components with cancer incidence. A prospective cohort study was conducted utilising data from the UK Biobank. Sarcopenia and its components were defined according to the European Working Group on Sarcopenia in Older People criteria (EWGSOP2 2019). Cox proportional hazard models adjusted for sociodemographic, lifestyle, and health-related factors were performed. Overall, 63,379 out of 414,094 study participants had an incident diagnosis of cancer during a median follow-up of 11.7 years. In total, 32,286 participants had probable sarcopenia and 934 confirmed/severe sarcopenia at recruitment. Combined probable, confirmed, and severe sarcopenia was associated with a higher risk of liver (hazard ratio [HR] = 1.65, 95% confidence interval [CI]: 1.17-2.33), haematological (HR = 1.22, 95% CI: 1.01-1.46), and colorectal cancer (HR = 1.21, 95% CI: 1.04-1.41) in males, but not in females. The components of sarcopenia were associated with a higher risk of several cancers, including low grip strength (with liver, haematological and colorectal cancer in males), low muscle mass index (oesophageal in females and oral cancer in males), and slow walking pace (liver and lung in males, lung and overall cancer in females). Compared to participants with non-sarcopenic obesity, those with sarcopenic obesity had a higher risk of colorectal cancer in males (HR = 1.31, 95% CI: 1.03-1.68). Our study suggests that sarcopenia, sarcopenia components, and sarcopenic obesity can be associated with risk for several cancers, mainly of the gastrointestinal tract and in males. Thus, early identification of sarcopenia components may benefit cancer prevention.

求助全文
通过发布文献求助,成功后即可免费获取论文全文。 去求助
来源期刊
CiteScore
13.40
自引率
3.10%
发文量
460
审稿时长
2 months
期刊介绍: The International Journal of Cancer (IJC) is the official journal of the Union for International Cancer Control—UICC; it appears twice a month. IJC invites submission of manuscripts under a broad scope of topics relevant to experimental and clinical cancer research and publishes original Research Articles and Short Reports under the following categories: -Cancer Epidemiology- Cancer Genetics and Epigenetics- Infectious Causes of Cancer- Innovative Tools and Methods- Molecular Cancer Biology- Tumor Immunology and Microenvironment- Tumor Markers and Signatures- Cancer Therapy and Prevention
×
引用
GB/T 7714-2015
复制
MLA
复制
APA
复制
导出至
BibTeX EndNote RefMan NoteFirst NoteExpress
×
提示
您的信息不完整,为了账户安全,请先补充。
现在去补充
×
提示
您因"违规操作"
具体请查看互助需知
我知道了
×
提示
确定
请完成安全验证×
copy
已复制链接
快去分享给好友吧!
我知道了
右上角分享
点击右上角分享
0
联系我们:info@booksci.cn Book学术提供免费学术资源搜索服务,方便国内外学者检索中英文文献。致力于提供最便捷和优质的服务体验。 Copyright © 2023 布克学术 All rights reserved.
京ICP备2023020795号-1
ghs 京公网安备 11010802042870号
Book学术文献互助
Book学术文献互助群
群 号:604180095
Book学术官方微信