切缘距离对保乳术后新辅助全身治疗后复发及生存的影响。

IF 7.6 2区 医学 Q1 ONCOLOGY
C Florin Pop, Clémence Ortega, Mathilde Lecomte, Paulus Kristanto, Chirine Khaled, Filip De Neubourg, Antoine Desmet, Evandro De Azambuja, Denis Larsimont, Isabelle Veys
{"title":"切缘距离对保乳术后新辅助全身治疗后复发及生存的影响。","authors":"C Florin Pop, Clémence Ortega, Mathilde Lecomte, Paulus Kristanto, Chirine Khaled, Filip De Neubourg, Antoine Desmet, Evandro De Azambuja, Denis Larsimont, Isabelle Veys","doi":"10.1038/s41523-025-00756-5","DOIUrl":null,"url":null,"abstract":"<p><p>Current evidence does not support the application of \"no-ink-on-tumor\" negative margins following breast-conserving surgery (BCS) in breast cancer (BC) patients who have received neoadjuvant systemic treatment (NST). We compared loco-regional free survival (LRFS), disease-free survival (DFS), and overall survival (OS) based on different tumor margin distance thresholds in a cohort of 235 BC patients treated with NST and subsequent BCS between 01/2015 and 12/2019. The 5-year LRFS was 81.6% in patients with \"no-ink-on-tumour\", margins and 71.0% in those with positive margins (p = 0.584). Margins >1 mm were associated with superior outcomes, with a 5-year LRFS of 84.0% compared to 69.3% in patients with margins ≤1 mm (p = 0.005). Additionally, margins >1 mm were significantly correlated with longer DFS (p = 0.028) and OS (p = 0.001). These findings suggest that a surgical margin distance >1 mm provides the best LRFS, DFS, and OS outcomes for this group of BC patients.</p>","PeriodicalId":19247,"journal":{"name":"NPJ Breast Cancer","volume":"11 1","pages":"45"},"PeriodicalIF":7.6000,"publicationDate":"2025-05-19","publicationTypes":"Journal Article","fieldsOfStudy":null,"isOpenAccess":false,"openAccessPdf":"https://www.ncbi.nlm.nih.gov/pmc/articles/PMC12089308/pdf/","citationCount":"0","resultStr":"{\"title\":\"Impact of margin distance on recurrence and survival following breast-conserving surgery after neoadjuvant systemic therapy.\",\"authors\":\"C Florin Pop, Clémence Ortega, Mathilde Lecomte, Paulus Kristanto, Chirine Khaled, Filip De Neubourg, Antoine Desmet, Evandro De Azambuja, Denis Larsimont, Isabelle Veys\",\"doi\":\"10.1038/s41523-025-00756-5\",\"DOIUrl\":null,\"url\":null,\"abstract\":\"<p><p>Current evidence does not support the application of \\\"no-ink-on-tumor\\\" negative margins following breast-conserving surgery (BCS) in breast cancer (BC) patients who have received neoadjuvant systemic treatment (NST). We compared loco-regional free survival (LRFS), disease-free survival (DFS), and overall survival (OS) based on different tumor margin distance thresholds in a cohort of 235 BC patients treated with NST and subsequent BCS between 01/2015 and 12/2019. The 5-year LRFS was 81.6% in patients with \\\"no-ink-on-tumour\\\", margins and 71.0% in those with positive margins (p = 0.584). Margins >1 mm were associated with superior outcomes, with a 5-year LRFS of 84.0% compared to 69.3% in patients with margins ≤1 mm (p = 0.005). Additionally, margins >1 mm were significantly correlated with longer DFS (p = 0.028) and OS (p = 0.001). These findings suggest that a surgical margin distance >1 mm provides the best LRFS, DFS, and OS outcomes for this group of BC patients.</p>\",\"PeriodicalId\":19247,\"journal\":{\"name\":\"NPJ Breast Cancer\",\"volume\":\"11 1\",\"pages\":\"45\"},\"PeriodicalIF\":7.6000,\"publicationDate\":\"2025-05-19\",\"publicationTypes\":\"Journal Article\",\"fieldsOfStudy\":null,\"isOpenAccess\":false,\"openAccessPdf\":\"https://www.ncbi.nlm.nih.gov/pmc/articles/PMC12089308/pdf/\",\"citationCount\":\"0\",\"resultStr\":null,\"platform\":\"Semanticscholar\",\"paperid\":null,\"PeriodicalName\":\"NPJ Breast Cancer\",\"FirstCategoryId\":\"3\",\"ListUrlMain\":\"https://doi.org/10.1038/s41523-025-00756-5\",\"RegionNum\":2,\"RegionCategory\":\"医学\",\"ArticlePicture\":[],\"TitleCN\":null,\"AbstractTextCN\":null,\"PMCID\":null,\"EPubDate\":\"\",\"PubModel\":\"\",\"JCR\":\"Q1\",\"JCRName\":\"ONCOLOGY\",\"Score\":null,\"Total\":0}","platform":"Semanticscholar","paperid":null,"PeriodicalName":"NPJ Breast Cancer","FirstCategoryId":"3","ListUrlMain":"https://doi.org/10.1038/s41523-025-00756-5","RegionNum":2,"RegionCategory":"医学","ArticlePicture":[],"TitleCN":null,"AbstractTextCN":null,"PMCID":null,"EPubDate":"","PubModel":"","JCR":"Q1","JCRName":"ONCOLOGY","Score":null,"Total":0}
引用次数: 0

摘要

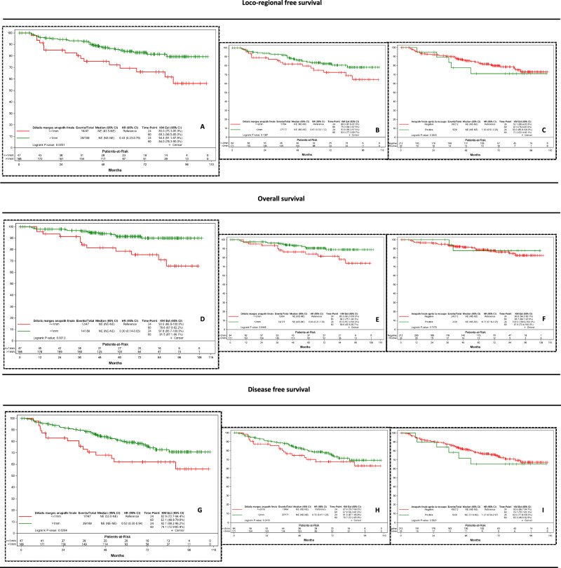
目前的证据不支持在接受新辅助全身治疗(NST)的乳腺癌(BC)患者保乳手术(BCS)后“肿瘤上无墨”阴性切缘的应用。我们比较了2015年1月至2019年12月期间,235名接受NST治疗和随后的BCS治疗的BC患者基于不同肿瘤边缘距离阈值的局部-区域无生存(LRFS)、无病生存(DFS)和总生存(OS)。边缘无墨瘤患者的5年LRFS为81.6%,边缘阳性患者的5年LRFS为71.0% (p = 0.584)。切缘≤1 mm患者的5年LRFS为84.0%,而切缘≤1 mm患者的5年LRFS为69.3% (p = 0.005)。此外,切缘>.1 mm与较长的DFS (p = 0.028)和OS (p = 0.001)显著相关。这些结果表明,对于这组BC患者,手术切缘距离bb0.1 mm可提供最佳的LRFS、DFS和OS结果。
本文章由计算机程序翻译,如有差异,请以英文原文为准。

Impact of margin distance on recurrence and survival following breast-conserving surgery after neoadjuvant systemic therapy.

Impact of margin distance on recurrence and survival following breast-conserving surgery after neoadjuvant systemic therapy.

Impact of margin distance on recurrence and survival following breast-conserving surgery after neoadjuvant systemic therapy.

Current evidence does not support the application of "no-ink-on-tumor" negative margins following breast-conserving surgery (BCS) in breast cancer (BC) patients who have received neoadjuvant systemic treatment (NST). We compared loco-regional free survival (LRFS), disease-free survival (DFS), and overall survival (OS) based on different tumor margin distance thresholds in a cohort of 235 BC patients treated with NST and subsequent BCS between 01/2015 and 12/2019. The 5-year LRFS was 81.6% in patients with "no-ink-on-tumour", margins and 71.0% in those with positive margins (p = 0.584). Margins >1 mm were associated with superior outcomes, with a 5-year LRFS of 84.0% compared to 69.3% in patients with margins ≤1 mm (p = 0.005). Additionally, margins >1 mm were significantly correlated with longer DFS (p = 0.028) and OS (p = 0.001). These findings suggest that a surgical margin distance >1 mm provides the best LRFS, DFS, and OS outcomes for this group of BC patients.

求助全文
通过发布文献求助,成功后即可免费获取论文全文。 去求助
来源期刊
NPJ Breast Cancer
NPJ Breast Cancer Medicine-Pharmacology (medical)
CiteScore
10.10
自引率
1.70%
发文量
122
审稿时长
9 weeks
期刊介绍: npj Breast Cancer publishes original research articles, reviews, brief correspondence, meeting reports, editorial summaries and hypothesis generating observations which could be unexplained or preliminary findings from experiments, novel ideas, or the framing of new questions that need to be solved. Featured topics of the journal include imaging, immunotherapy, molecular classification of disease, mechanism-based therapies largely targeting signal transduction pathways, carcinogenesis including hereditary susceptibility and molecular epidemiology, survivorship issues including long-term toxicities of treatment and secondary neoplasm occurrence, the biophysics of cancer, mechanisms of metastasis and their perturbation, and studies of the tumor microenvironment.
×
引用
GB/T 7714-2015
复制
MLA
复制
APA
复制
导出至
BibTeX EndNote RefMan NoteFirst NoteExpress
×
提示
您的信息不完整,为了账户安全,请先补充。
现在去补充
×
提示
您因"违规操作"
具体请查看互助需知
我知道了
×
提示
确定
请完成安全验证×
copy
已复制链接
快去分享给好友吧!
我知道了
右上角分享
点击右上角分享
0
联系我们:info@booksci.cn Book学术提供免费学术资源搜索服务,方便国内外学者检索中英文文献。致力于提供最便捷和优质的服务体验。 Copyright © 2023 布克学术 All rights reserved.
京ICP备2023020795号-1
ghs 京公网安备 11010802042870号
Book学术文献互助
Book学术文献互助群
群 号:604180095
Book学术官方微信