全膝关节置换术后术前生理因素对临床结果的预测。

IF 1.5
Progress in rehabilitation medicine Pub Date : 2025-05-17 eCollection Date: 2025-01-01 DOI:10.2490/prm.20250013
Arata Nakajima, Keiichiro Terayama, Takashi Akiba, Shiho Nakano, Masato Sonobe, Koichi Nakagawa
{"title":"全膝关节置换术后术前生理因素对临床结果的预测。","authors":"Arata Nakajima, Keiichiro Terayama, Takashi Akiba, Shiho Nakano, Masato Sonobe, Koichi Nakagawa","doi":"10.2490/prm.20250013","DOIUrl":null,"url":null,"abstract":"<p><strong>Objectives: </strong>Predicting postoperative clinical outcomes from preoperative physical factors of patients undergoing total knee arthroplasty (TKA) would be useful. This study aimed to investigate the association between preoperative physical factors and postoperative outcomes.</p><p><strong>Methods: </strong>This study included 119 patients. The preoperative physical factors and 1-year postoperative clinical outcomes were collected and assessed. Physical factors included age, sex, body mass index, skeletal mass index, knee range of motion, 5-m walk time, and Timed Up-and-Go (TUG) test result. Postoperative outcomes were evaluated using a sum of symptoms, pain, activities of daily living, and quality of life subscales of the Knee injury Osteoarthritis Outcome Score (KOOS-4), and the Oxford Knee Score (OKS). Correlation between physical factors and postoperative outcomes was analyzed by Spearman's rank correlation coefficient, and the association between physical factors and KOOS-4 or OKS was analyzed using multiple regression analysis. Receiver operating characteristic analysis was performed to calculate the cut-off value for the TUG test time associated with minimum postoperative OKS of 40.</p><p><strong>Results: </strong>Among the preoperative physical factors, TUG test time showed significant correlation with OKS (ρ=-0.267), but none correlated with KOOS-4. Multiple regression analysis showed a significant association between TUG test time and OKS (95% confidence interval: -0.590 to -0.163) but not with KOOS-4. The cut-off value of preoperative TUG test time associated with minimum postoperative OKS of 40 was 12.96 s.</p><p><strong>Conclusions: </strong>Among the preoperative physical factors of patients undergoing TKA, the TUG test time was associated with clinical outcomes at 1 year after surgery.</p>","PeriodicalId":74584,"journal":{"name":"Progress in rehabilitation medicine","volume":"10 ","pages":"20250013"},"PeriodicalIF":1.5000,"publicationDate":"2025-05-17","publicationTypes":"Journal Article","fieldsOfStudy":null,"isOpenAccess":false,"openAccessPdf":"https://www.ncbi.nlm.nih.gov/pmc/articles/PMC12082044/pdf/","citationCount":"0","resultStr":"{\"title\":\"Preoperative Physical Factors Predictive of Clinical Outcomes after Total Knee Arthroplasty.\",\"authors\":\"Arata Nakajima, Keiichiro Terayama, Takashi Akiba, Shiho Nakano, Masato Sonobe, Koichi Nakagawa\",\"doi\":\"10.2490/prm.20250013\",\"DOIUrl\":null,\"url\":null,\"abstract\":\"<p><strong>Objectives: </strong>Predicting postoperative clinical outcomes from preoperative physical factors of patients undergoing total knee arthroplasty (TKA) would be useful. This study aimed to investigate the association between preoperative physical factors and postoperative outcomes.</p><p><strong>Methods: </strong>This study included 119 patients. The preoperative physical factors and 1-year postoperative clinical outcomes were collected and assessed. Physical factors included age, sex, body mass index, skeletal mass index, knee range of motion, 5-m walk time, and Timed Up-and-Go (TUG) test result. Postoperative outcomes were evaluated using a sum of symptoms, pain, activities of daily living, and quality of life subscales of the Knee injury Osteoarthritis Outcome Score (KOOS-4), and the Oxford Knee Score (OKS). Correlation between physical factors and postoperative outcomes was analyzed by Spearman's rank correlation coefficient, and the association between physical factors and KOOS-4 or OKS was analyzed using multiple regression analysis. Receiver operating characteristic analysis was performed to calculate the cut-off value for the TUG test time associated with minimum postoperative OKS of 40.</p><p><strong>Results: </strong>Among the preoperative physical factors, TUG test time showed significant correlation with OKS (ρ=-0.267), but none correlated with KOOS-4. Multiple regression analysis showed a significant association between TUG test time and OKS (95% confidence interval: -0.590 to -0.163) but not with KOOS-4. The cut-off value of preoperative TUG test time associated with minimum postoperative OKS of 40 was 12.96 s.</p><p><strong>Conclusions: </strong>Among the preoperative physical factors of patients undergoing TKA, the TUG test time was associated with clinical outcomes at 1 year after surgery.</p>\",\"PeriodicalId\":74584,\"journal\":{\"name\":\"Progress in rehabilitation medicine\",\"volume\":\"10 \",\"pages\":\"20250013\"},\"PeriodicalIF\":1.5000,\"publicationDate\":\"2025-05-17\",\"publicationTypes\":\"Journal Article\",\"fieldsOfStudy\":null,\"isOpenAccess\":false,\"openAccessPdf\":\"https://www.ncbi.nlm.nih.gov/pmc/articles/PMC12082044/pdf/\",\"citationCount\":\"0\",\"resultStr\":null,\"platform\":\"Semanticscholar\",\"paperid\":null,\"PeriodicalName\":\"Progress in rehabilitation medicine\",\"FirstCategoryId\":\"1085\",\"ListUrlMain\":\"https://doi.org/10.2490/prm.20250013\",\"RegionNum\":0,\"RegionCategory\":null,\"ArticlePicture\":[],\"TitleCN\":null,\"AbstractTextCN\":null,\"PMCID\":null,\"EPubDate\":\"2025/1/1 0:00:00\",\"PubModel\":\"eCollection\",\"JCR\":\"\",\"JCRName\":\"\",\"Score\":null,\"Total\":0}","platform":"Semanticscholar","paperid":null,"PeriodicalName":"Progress in rehabilitation medicine","FirstCategoryId":"1085","ListUrlMain":"https://doi.org/10.2490/prm.20250013","RegionNum":0,"RegionCategory":null,"ArticlePicture":[],"TitleCN":null,"AbstractTextCN":null,"PMCID":null,"EPubDate":"2025/1/1 0:00:00","PubModel":"eCollection","JCR":"","JCRName":"","Score":null,"Total":0}
引用次数: 0

摘要

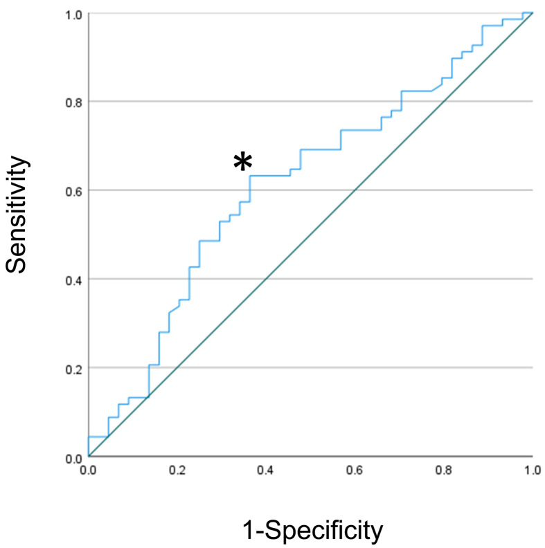
目的:预测全膝关节置换术(TKA)患者术前生理因素对术后临床预后的影响。本研究旨在探讨术前生理因素与术后预后的关系。方法:本研究纳入119例患者。收集并评估术前物理因素和术后1年临床结果。生理因素包括年龄、性别、体重指数、骨骼质量指数、膝关节活动度、5米步行时间和TUG测试结果。使用膝关节损伤骨关节炎结局评分(KOOS-4)和牛津膝关节评分(OKS)的症状、疼痛、日常生活活动和生活质量亚量表的总和来评估术后结果。采用Spearman秩相关系数分析物理因素与术后预后的相关性,采用多元回归分析物理因素与KOOS-4或OKS的相关性。进行受试者工作特征分析,计算与术后最小OKS为40相关的TUG测试时间的截止值。结果:术前物理因素中,TUG测试时间与OKS有显著相关性(ρ=-0.267),与KOOS-4无相关性。多元回归分析显示,TUG测试时间与OKS之间存在显著相关性(95%置信区间:-0.590 ~ -0.163),但与KOOS-4之间无显著相关性。术前TUG测试时间与术后最小OKS 40相关的临界值为12.96 s。结论:TKA患者术前生理因素中,TUG测试时间与术后1年临床结果相关。
本文章由计算机程序翻译,如有差异,请以英文原文为准。

Preoperative Physical Factors Predictive of Clinical Outcomes after Total Knee Arthroplasty.

Preoperative Physical Factors Predictive of Clinical Outcomes after Total Knee Arthroplasty.

Preoperative Physical Factors Predictive of Clinical Outcomes after Total Knee Arthroplasty.

Objectives: Predicting postoperative clinical outcomes from preoperative physical factors of patients undergoing total knee arthroplasty (TKA) would be useful. This study aimed to investigate the association between preoperative physical factors and postoperative outcomes.

Methods: This study included 119 patients. The preoperative physical factors and 1-year postoperative clinical outcomes were collected and assessed. Physical factors included age, sex, body mass index, skeletal mass index, knee range of motion, 5-m walk time, and Timed Up-and-Go (TUG) test result. Postoperative outcomes were evaluated using a sum of symptoms, pain, activities of daily living, and quality of life subscales of the Knee injury Osteoarthritis Outcome Score (KOOS-4), and the Oxford Knee Score (OKS). Correlation between physical factors and postoperative outcomes was analyzed by Spearman's rank correlation coefficient, and the association between physical factors and KOOS-4 or OKS was analyzed using multiple regression analysis. Receiver operating characteristic analysis was performed to calculate the cut-off value for the TUG test time associated with minimum postoperative OKS of 40.

Results: Among the preoperative physical factors, TUG test time showed significant correlation with OKS (ρ=-0.267), but none correlated with KOOS-4. Multiple regression analysis showed a significant association between TUG test time and OKS (95% confidence interval: -0.590 to -0.163) but not with KOOS-4. The cut-off value of preoperative TUG test time associated with minimum postoperative OKS of 40 was 12.96 s.

Conclusions: Among the preoperative physical factors of patients undergoing TKA, the TUG test time was associated with clinical outcomes at 1 year after surgery.

求助全文
通过发布文献求助,成功后即可免费获取论文全文。 去求助
来源期刊
自引率
0.00%
发文量
0
×
引用
GB/T 7714-2015
复制
MLA
复制
APA
复制
导出至
BibTeX EndNote RefMan NoteFirst NoteExpress
×
提示
您的信息不完整,为了账户安全,请先补充。
现在去补充
×
提示
您因"违规操作"
具体请查看互助需知
我知道了
×
提示
确定
请完成安全验证×
copy
已复制链接
快去分享给好友吧!
我知道了
右上角分享
点击右上角分享
0
联系我们:info@booksci.cn Book学术提供免费学术资源搜索服务,方便国内外学者检索中英文文献。致力于提供最便捷和优质的服务体验。 Copyright © 2023 布克学术 All rights reserved.
京ICP备2023020795号-1
ghs 京公网安备 11010802042870号
Book学术文献互助
Book学术文献互助群
群 号:604180095
Book学术官方微信