PSA在极端范围-预后不良的表现?前列腺特异性抗原(PSA)值在3 - 4位数范围内的前列腺癌的病程和治疗综述。

IF 0.4 4区 医学 Q4 UROLOGY & NEPHROLOGY
Urologie Pub Date : 2025-08-01 Epub Date: 2025-05-19 DOI:10.1007/s00120-025-02583-9
Christian Dirscherl, Thomas Ebert, Bernd J Schmitz-Dräger, Peter J Goebell
{"title":"PSA在极端范围-预后不良的表现?前列腺特异性抗原(PSA)值在3 - 4位数范围内的前列腺癌的病程和治疗综述。","authors":"Christian Dirscherl, Thomas Ebert, Bernd J Schmitz-Dräger, Peter J Goebell","doi":"10.1007/s00120-025-02583-9","DOIUrl":null,"url":null,"abstract":"<p><strong>Background: </strong>Extremely high baseline prostate-specific antigen (bPSA) values in the range of 100 to ≥ 1000 ng/ml prior to the start of systemic therapy pose a challenge, as they can lead to the impression of a very unfavorable prognosis.</p><p><strong>Objective: </strong>We investigated factors influencing 5‑year overall survival (5-yOS) and the treatment modalities of patients with bPSA levels ≥ 100 ng/ml using retrospective data.</p><p><strong>Materials and methods: </strong>We defined items from a limited initial collective, which we then used for a query in the UroCloud database. A total of 695 patients were included.</p><p><strong>Results and conclusion: </strong>For the entire collective, the 5‑yOS was 68.5% ± 2.7%. The bPSA value had a significant (p < 0.001) influence on 5‑yOS in the following groups: 100-149 ng/ml, 150-249 ng/ml, 250-649 ng/ml, and ≥ 650 ng/ml (5-yOS: 77.0% ± 4.9% vs. 76.9% ± 4.5% vs. 61.4% ± 6.0 vs. 57.4% ± 6.1%, respectively). Age ≤ 70 years compared to > 70 years at first diagnosis resulted in a significant difference regarding 5‑yOS (74.8% ± 3.5% vs. 60.1% ± 4.4, respectively). A PSA response of > 90%, which was achieved in 79.0% of cases, had a significant influence on 5‑yOS compared to a response of ≤ 90% (73.5% ± 2.9% vs. 48.6% ± 6.7%, respectively). There was also a significant 5‑yOS advantage if a first PSA nadir of ≤ 0.20 ng/ml was achieved (in 22.2%) compared to a first PSA nadir of > 0.20 ng/ml (89.8% ± 3.3% vs. 60.4% ± 3.5%, respectively). In 49.4% (n = 343) of cases, androgen deprivation therapy (ADT) monotherapy was started as first-line systemic therapy. Between 1999 and 2023, we saw an increase in escalated and initial combination therapies. The analysis shows that an extreme bPSA value is not in itself an expression of an unfavorable prognosis.</p>","PeriodicalId":29782,"journal":{"name":"Urologie","volume":" ","pages":"803-814"},"PeriodicalIF":0.4000,"publicationDate":"2025-08-01","publicationTypes":"Journal Article","fieldsOfStudy":null,"isOpenAccess":false,"openAccessPdf":"https://www.ncbi.nlm.nih.gov/pmc/articles/PMC12287150/pdf/","citationCount":"0","resultStr":"{\"title\":\"[PSA in the extreme range-an expression of an unfavorable prognosis? : A review of course and treatment of prostate cancer with prostate-specific antigen (PSA) values in the three-to-four-digit range].\",\"authors\":\"Christian Dirscherl, Thomas Ebert, Bernd J Schmitz-Dräger, Peter J Goebell\",\"doi\":\"10.1007/s00120-025-02583-9\",\"DOIUrl\":null,\"url\":null,\"abstract\":\"<p><strong>Background: </strong>Extremely high baseline prostate-specific antigen (bPSA) values in the range of 100 to ≥ 1000 ng/ml prior to the start of systemic therapy pose a challenge, as they can lead to the impression of a very unfavorable prognosis.</p><p><strong>Objective: </strong>We investigated factors influencing 5‑year overall survival (5-yOS) and the treatment modalities of patients with bPSA levels ≥ 100 ng/ml using retrospective data.</p><p><strong>Materials and methods: </strong>We defined items from a limited initial collective, which we then used for a query in the UroCloud database. A total of 695 patients were included.</p><p><strong>Results and conclusion: </strong>For the entire collective, the 5‑yOS was 68.5% ± 2.7%. The bPSA value had a significant (p < 0.001) influence on 5‑yOS in the following groups: 100-149 ng/ml, 150-249 ng/ml, 250-649 ng/ml, and ≥ 650 ng/ml (5-yOS: 77.0% ± 4.9% vs. 76.9% ± 4.5% vs. 61.4% ± 6.0 vs. 57.4% ± 6.1%, respectively). Age ≤ 70 years compared to > 70 years at first diagnosis resulted in a significant difference regarding 5‑yOS (74.8% ± 3.5% vs. 60.1% ± 4.4, respectively). A PSA response of > 90%, which was achieved in 79.0% of cases, had a significant influence on 5‑yOS compared to a response of ≤ 90% (73.5% ± 2.9% vs. 48.6% ± 6.7%, respectively). There was also a significant 5‑yOS advantage if a first PSA nadir of ≤ 0.20 ng/ml was achieved (in 22.2%) compared to a first PSA nadir of > 0.20 ng/ml (89.8% ± 3.3% vs. 60.4% ± 3.5%, respectively). In 49.4% (n = 343) of cases, androgen deprivation therapy (ADT) monotherapy was started as first-line systemic therapy. Between 1999 and 2023, we saw an increase in escalated and initial combination therapies. The analysis shows that an extreme bPSA value is not in itself an expression of an unfavorable prognosis.</p>\",\"PeriodicalId\":29782,\"journal\":{\"name\":\"Urologie\",\"volume\":\" \",\"pages\":\"803-814\"},\"PeriodicalIF\":0.4000,\"publicationDate\":\"2025-08-01\",\"publicationTypes\":\"Journal Article\",\"fieldsOfStudy\":null,\"isOpenAccess\":false,\"openAccessPdf\":\"https://www.ncbi.nlm.nih.gov/pmc/articles/PMC12287150/pdf/\",\"citationCount\":\"0\",\"resultStr\":null,\"platform\":\"Semanticscholar\",\"paperid\":null,\"PeriodicalName\":\"Urologie\",\"FirstCategoryId\":\"1085\",\"ListUrlMain\":\"https://doi.org/10.1007/s00120-025-02583-9\",\"RegionNum\":4,\"RegionCategory\":\"医学\",\"ArticlePicture\":[],\"TitleCN\":null,\"AbstractTextCN\":null,\"PMCID\":null,\"EPubDate\":\"2025/5/19 0:00:00\",\"PubModel\":\"Epub\",\"JCR\":\"Q4\",\"JCRName\":\"UROLOGY & NEPHROLOGY\",\"Score\":null,\"Total\":0}","platform":"Semanticscholar","paperid":null,"PeriodicalName":"Urologie","FirstCategoryId":"1085","ListUrlMain":"https://doi.org/10.1007/s00120-025-02583-9","RegionNum":4,"RegionCategory":"医学","ArticlePicture":[],"TitleCN":null,"AbstractTextCN":null,"PMCID":null,"EPubDate":"2025/5/19 0:00:00","PubModel":"Epub","JCR":"Q4","JCRName":"UROLOGY & NEPHROLOGY","Score":null,"Total":0}
引用次数: 0

摘要

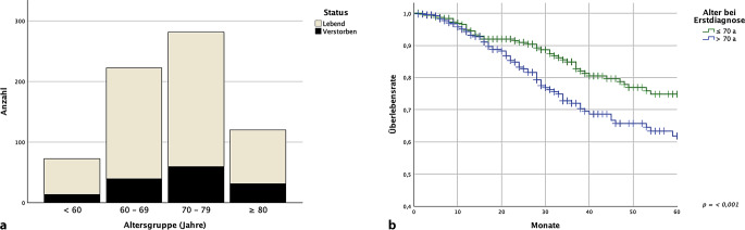
背景:在开始全身治疗之前,基线前列腺特异性抗原(bPSA)值在100至≥ 1000 ng/ml的范围内是一个挑战,因为它们可能导致预后非常不利的印象。目的:采用回顾性数据研究bPSA水平≥ 100 ng/ml患者5年总生存率(5- yos)的影响因素及治疗方式。材料和方法:我们从有限的初始集合中定义项目,然后将其用于UroCloud数据库中的查询。共纳入695例患者。结果与结论:整个集体的5 - yOS为68.5%± 2.7%。bPSA值具有显著性差异(p  首次诊断70年导致5 - yOS显着差异(分别为74.8%± 3.5% vs. 60.1%± 4.4)。与≤ 90%的PSA应答(分别为73.5%± 2.9%和48.6%± 6.7%)相比,79.0%的病例达到了> 90%的PSA应答对5 - yOS有显著影响。如果首次PSA最低点≤ 0.20 ng/ml(22.2%),与首次PSA最低点为> 0.20 ng/ml(分别为89.8%± 3.3%和60.4%± 3.5%)相比,也有显著的5 - yOS优势。在49.4% (n = 343)的病例中,雄激素剥夺疗法(ADT)单药治疗作为一线全身治疗开始。从1999年到2023年,我们看到了升级和初始联合治疗的增加。分析表明,极端的bPSA值本身并不表示预后不良。
本文章由计算机程序翻译,如有差异,请以英文原文为准。

[PSA in the extreme range-an expression of an unfavorable prognosis? : A review of course and treatment of prostate cancer with prostate-specific antigen (PSA) values in the three-to-four-digit range].

[PSA in the extreme range-an expression of an unfavorable prognosis? : A review of course and treatment of prostate cancer with prostate-specific antigen (PSA) values in the three-to-four-digit range].

[PSA in the extreme range-an expression of an unfavorable prognosis? : A review of course and treatment of prostate cancer with prostate-specific antigen (PSA) values in the three-to-four-digit range].

[PSA in the extreme range-an expression of an unfavorable prognosis? : A review of course and treatment of prostate cancer with prostate-specific antigen (PSA) values in the three-to-four-digit range].

Background: Extremely high baseline prostate-specific antigen (bPSA) values in the range of 100 to ≥ 1000 ng/ml prior to the start of systemic therapy pose a challenge, as they can lead to the impression of a very unfavorable prognosis.

Objective: We investigated factors influencing 5‑year overall survival (5-yOS) and the treatment modalities of patients with bPSA levels ≥ 100 ng/ml using retrospective data.

Materials and methods: We defined items from a limited initial collective, which we then used for a query in the UroCloud database. A total of 695 patients were included.

Results and conclusion: For the entire collective, the 5‑yOS was 68.5% ± 2.7%. The bPSA value had a significant (p < 0.001) influence on 5‑yOS in the following groups: 100-149 ng/ml, 150-249 ng/ml, 250-649 ng/ml, and ≥ 650 ng/ml (5-yOS: 77.0% ± 4.9% vs. 76.9% ± 4.5% vs. 61.4% ± 6.0 vs. 57.4% ± 6.1%, respectively). Age ≤ 70 years compared to > 70 years at first diagnosis resulted in a significant difference regarding 5‑yOS (74.8% ± 3.5% vs. 60.1% ± 4.4, respectively). A PSA response of > 90%, which was achieved in 79.0% of cases, had a significant influence on 5‑yOS compared to a response of ≤ 90% (73.5% ± 2.9% vs. 48.6% ± 6.7%, respectively). There was also a significant 5‑yOS advantage if a first PSA nadir of ≤ 0.20 ng/ml was achieved (in 22.2%) compared to a first PSA nadir of > 0.20 ng/ml (89.8% ± 3.3% vs. 60.4% ± 3.5%, respectively). In 49.4% (n = 343) of cases, androgen deprivation therapy (ADT) monotherapy was started as first-line systemic therapy. Between 1999 and 2023, we saw an increase in escalated and initial combination therapies. The analysis shows that an extreme bPSA value is not in itself an expression of an unfavorable prognosis.

求助全文
通过发布文献求助,成功后即可免费获取论文全文。 去求助
来源期刊
Urologie
Urologie UROLOGY & NEPHROLOGY-
CiteScore
1.00
自引率
0.00%
发文量
0
×
引用
GB/T 7714-2015
复制
MLA
复制
APA
复制
导出至
BibTeX EndNote RefMan NoteFirst NoteExpress
×
提示
您的信息不完整,为了账户安全,请先补充。
现在去补充
×
提示
您因"违规操作"
具体请查看互助需知
我知道了
×
提示
确定
请完成安全验证×
copy
已复制链接
快去分享给好友吧!
我知道了
右上角分享
点击右上角分享
0
联系我们:info@booksci.cn Book学术提供免费学术资源搜索服务,方便国内外学者检索中英文文献。致力于提供最便捷和优质的服务体验。 Copyright © 2023 布克学术 All rights reserved.
京ICP备2023020795号-1
ghs 京公网安备 11010802042870号
Book学术文献互助
Book学术文献互助群
群 号:604180095
Book学术官方微信