粪便移植和二甲双胍对APC Min小鼠模型息肉减少和炎症的影响。

IF 3.9 Q2 GASTROENTEROLOGY & HEPATOLOGY
Intestinal Research Pub Date : 2025-07-01 Epub Date: 2025-05-19 DOI:10.5217/ir.2025.00011
Yeon Ji Kim, Jiwon Lee, Eunmi Lee, Seun Ja Park, Jae Hyun Kim
{"title":"粪便移植和二甲双胍对APC Min小鼠模型息肉减少和炎症的影响。","authors":"Yeon Ji Kim, Jiwon Lee, Eunmi Lee, Seun Ja Park, Jae Hyun Kim","doi":"10.5217/ir.2025.00011","DOIUrl":null,"url":null,"abstract":"<p><strong>Background/aims: </strong>Familial adenomatous polyposis is a hereditary condition characterized by numerous adenomatous polyps in the colon and rectum, significantly increasing colorectal cancer risk. Current management strategies, such as prophylactic colectomy, are invasive and have long-term consequences, highlighting the need for alternative therapies. This study aimed to evaluate whether stool transplantation and metformin therapy synergistically reduce polyp formation and inflammation.</p><p><strong>Methods: </strong>APC Min mice were divided into 4 groups: control, anti-control (antibiotic pretreatment), stool (stool transplantation), and stool+metformin. Polyp burden, bacterial abundance, inflammatory cytokines (interleukin [IL]-6, tumor necrosis factor [TNF]-α, IL-10), and tumorigenic markers (NF-κB, Cox2, c-myc, β-catenin) were assessed using messenger RNA (mRNA) and protein analyses of intestinal tissues, along with serum and fecal microbiota evaluations.</p><p><strong>Results: </strong>Stool transplantation combined with metformin significantly reduced bacterial abundance and polyp burden. The anti-control group showed similar reductions, suggesting suppression of gut microbiota re-establishment. TNF-α and IL-10 levels remained unchanged, but a significant increase in IL-6 was observed in the stool+metformin group's intestinal tissues, indicating localized immune activation. Intestinal Cox2 mRNA expression was reduced in the combination group, correlating with polyp suppression. Protein levels of NF-κB, Cox2, and β-catenin showed no significant changes in vivo, while in vitro experiments revealed a decrease in NF-κB and an increase in Cox2, suggesting complex regulation of inflammation-related pathways.</p><p><strong>Conclusions: </strong>Stool transplantation combined with metformin reduces polyp burden in APC Min mice through gut microbiota modulation and localized immune activation. These findings support the therapeutic potential of this combination treatment for familial adenomatous polyposis.</p>","PeriodicalId":14481,"journal":{"name":"Intestinal Research","volume":" ","pages":"382-389"},"PeriodicalIF":3.9000,"publicationDate":"2025-07-01","publicationTypes":"Journal Article","fieldsOfStudy":null,"isOpenAccess":false,"openAccessPdf":"https://www.ncbi.nlm.nih.gov/pmc/articles/PMC12332286/pdf/","citationCount":"0","resultStr":"{\"title\":\"Impact of stool transplantation and metformin on polyp reduction and inflammation in an APC Min mouse model.\",\"authors\":\"Yeon Ji Kim, Jiwon Lee, Eunmi Lee, Seun Ja Park, Jae Hyun Kim\",\"doi\":\"10.5217/ir.2025.00011\",\"DOIUrl\":null,\"url\":null,\"abstract\":\"<p><strong>Background/aims: </strong>Familial adenomatous polyposis is a hereditary condition characterized by numerous adenomatous polyps in the colon and rectum, significantly increasing colorectal cancer risk. Current management strategies, such as prophylactic colectomy, are invasive and have long-term consequences, highlighting the need for alternative therapies. This study aimed to evaluate whether stool transplantation and metformin therapy synergistically reduce polyp formation and inflammation.</p><p><strong>Methods: </strong>APC Min mice were divided into 4 groups: control, anti-control (antibiotic pretreatment), stool (stool transplantation), and stool+metformin. Polyp burden, bacterial abundance, inflammatory cytokines (interleukin [IL]-6, tumor necrosis factor [TNF]-α, IL-10), and tumorigenic markers (NF-κB, Cox2, c-myc, β-catenin) were assessed using messenger RNA (mRNA) and protein analyses of intestinal tissues, along with serum and fecal microbiota evaluations.</p><p><strong>Results: </strong>Stool transplantation combined with metformin significantly reduced bacterial abundance and polyp burden. The anti-control group showed similar reductions, suggesting suppression of gut microbiota re-establishment. TNF-α and IL-10 levels remained unchanged, but a significant increase in IL-6 was observed in the stool+metformin group's intestinal tissues, indicating localized immune activation. Intestinal Cox2 mRNA expression was reduced in the combination group, correlating with polyp suppression. Protein levels of NF-κB, Cox2, and β-catenin showed no significant changes in vivo, while in vitro experiments revealed a decrease in NF-κB and an increase in Cox2, suggesting complex regulation of inflammation-related pathways.</p><p><strong>Conclusions: </strong>Stool transplantation combined with metformin reduces polyp burden in APC Min mice through gut microbiota modulation and localized immune activation. These findings support the therapeutic potential of this combination treatment for familial adenomatous polyposis.</p>\",\"PeriodicalId\":14481,\"journal\":{\"name\":\"Intestinal Research\",\"volume\":\" \",\"pages\":\"382-389\"},\"PeriodicalIF\":3.9000,\"publicationDate\":\"2025-07-01\",\"publicationTypes\":\"Journal Article\",\"fieldsOfStudy\":null,\"isOpenAccess\":false,\"openAccessPdf\":\"https://www.ncbi.nlm.nih.gov/pmc/articles/PMC12332286/pdf/\",\"citationCount\":\"0\",\"resultStr\":null,\"platform\":\"Semanticscholar\",\"paperid\":null,\"PeriodicalName\":\"Intestinal Research\",\"FirstCategoryId\":\"1085\",\"ListUrlMain\":\"https://doi.org/10.5217/ir.2025.00011\",\"RegionNum\":0,\"RegionCategory\":null,\"ArticlePicture\":[],\"TitleCN\":null,\"AbstractTextCN\":null,\"PMCID\":null,\"EPubDate\":\"2025/5/19 0:00:00\",\"PubModel\":\"Epub\",\"JCR\":\"Q2\",\"JCRName\":\"GASTROENTEROLOGY & HEPATOLOGY\",\"Score\":null,\"Total\":0}","platform":"Semanticscholar","paperid":null,"PeriodicalName":"Intestinal Research","FirstCategoryId":"1085","ListUrlMain":"https://doi.org/10.5217/ir.2025.00011","RegionNum":0,"RegionCategory":null,"ArticlePicture":[],"TitleCN":null,"AbstractTextCN":null,"PMCID":null,"EPubDate":"2025/5/19 0:00:00","PubModel":"Epub","JCR":"Q2","JCRName":"GASTROENTEROLOGY & HEPATOLOGY","Score":null,"Total":0}
引用次数: 0

摘要

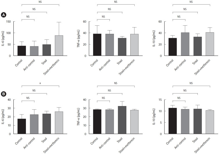
背景/目的:家族性腺瘤性息肉病是一种以结肠和直肠大量腺瘤性息肉为特征的遗传性疾病,显著增加结直肠癌的风险。目前的治疗策略,如预防性结肠切除术,是侵入性的,并有长期的后果,强调需要替代疗法。本研究旨在评估粪便移植和二甲双胍治疗是否能协同减少息肉的形成和炎症。方法:将APC Min小鼠分为对照组、抗对照组(抗生素预处理)、大便组(大便移植)、大便+二甲双胍4组。通过肠组织信使RNA (mRNA)和蛋白质分析评估息肉负荷、细菌丰度、炎症因子(白细胞介素[IL]-6、肿瘤坏死因子[TNF]-α、IL-10)和致瘤标志物(NF-κB、Cox2、c-myc、β-catenin),以及血清和粪便微生物群评估。结果:大便移植联合二甲双胍可显著降低细菌数量和息肉负荷。抗对照组也出现了类似的减少,表明抑制了肠道微生物群的重建。TNF-α和IL-10水平保持不变,但粪便+二甲双胍组肠道组织中IL-6显著升高,提示局部免疫激活。联合用药组肠道Cox2 mRNA表达降低,与息肉抑制有关。体内实验中NF-κB、Cox2、β-catenin蛋白水平无明显变化,而体外实验显示NF-κB降低、Cox2升高,提示炎症相关通路的复杂调控。结论:粪便移植联合二甲双胍可通过调节肠道菌群和局部免疫激活减轻APC Min小鼠息肉负荷。这些发现支持这种联合治疗家族性腺瘤性息肉病的治疗潜力。
本文章由计算机程序翻译,如有差异,请以英文原文为准。

Impact of stool transplantation and metformin on polyp reduction and inflammation in an APC Min mouse model.

Impact of stool transplantation and metformin on polyp reduction and inflammation in an APC Min mouse model.

Impact of stool transplantation and metformin on polyp reduction and inflammation in an APC Min mouse model.

Impact of stool transplantation and metformin on polyp reduction and inflammation in an APC Min mouse model.

Background/aims: Familial adenomatous polyposis is a hereditary condition characterized by numerous adenomatous polyps in the colon and rectum, significantly increasing colorectal cancer risk. Current management strategies, such as prophylactic colectomy, are invasive and have long-term consequences, highlighting the need for alternative therapies. This study aimed to evaluate whether stool transplantation and metformin therapy synergistically reduce polyp formation and inflammation.

Methods: APC Min mice were divided into 4 groups: control, anti-control (antibiotic pretreatment), stool (stool transplantation), and stool+metformin. Polyp burden, bacterial abundance, inflammatory cytokines (interleukin [IL]-6, tumor necrosis factor [TNF]-α, IL-10), and tumorigenic markers (NF-κB, Cox2, c-myc, β-catenin) were assessed using messenger RNA (mRNA) and protein analyses of intestinal tissues, along with serum and fecal microbiota evaluations.

Results: Stool transplantation combined with metformin significantly reduced bacterial abundance and polyp burden. The anti-control group showed similar reductions, suggesting suppression of gut microbiota re-establishment. TNF-α and IL-10 levels remained unchanged, but a significant increase in IL-6 was observed in the stool+metformin group's intestinal tissues, indicating localized immune activation. Intestinal Cox2 mRNA expression was reduced in the combination group, correlating with polyp suppression. Protein levels of NF-κB, Cox2, and β-catenin showed no significant changes in vivo, while in vitro experiments revealed a decrease in NF-κB and an increase in Cox2, suggesting complex regulation of inflammation-related pathways.

Conclusions: Stool transplantation combined with metformin reduces polyp burden in APC Min mice through gut microbiota modulation and localized immune activation. These findings support the therapeutic potential of this combination treatment for familial adenomatous polyposis.

求助全文
通过发布文献求助,成功后即可免费获取论文全文。 去求助
来源期刊
Intestinal Research
Intestinal Research GASTROENTEROLOGY & HEPATOLOGY-
CiteScore
7.40
自引率
10.20%
发文量
69
审稿时长
38 weeks
期刊介绍: Intestinal Research (Intest Res) is the joint official publication of the Asian Organization for Crohn''s and Colitis (AOCC), Chinese Society of IBD (CSIBD), Japanese Society for IBD (JSIBD), Korean Association for the Study of Intestinal Diseases (KASID), Taiwan Society of IBD (TSIBD) and Colitis Crohn''s Foundation (India) (CCF, india). The aim of the Journal is to provide broad and in-depth analysis of intestinal diseases, especially inflammatory bowel disease, which shows increasing tendency and significance. As a Journal specialized in clinical and translational research in gastroenterology, it encompasses multiple aspects of diseases originated from the small and large intestines. The Journal also seeks to propagate and exchange useful innovations, both in ideas and in practice, within the research community. As a mode of scholarly communication, it encourages scientific investigation through the rigorous peer-review system and constitutes a qualified and continual platform for sharing studies of researchers and practitioners. Specifically, the Journal presents up-to-date coverage of medical researches on the physiology, epidemiology, pathophysiology, clinical presentations, and therapeutic interventions of the intestinal diseases. General topics of interest include inflammatory bowel disease, colon and small intestine cancer or polyp, endoscopy, irritable bowel syndrome and other motility disorders, infectious enterocolitis, intestinal tuberculosis, and so forth. The Journal publishes diverse types of academic materials such as editorials, clinical and basic reviews, original articles, case reports, letters to the editor, brief communications, perspective, statement or commentary, and images that are useful to clinicians and researchers.
×
引用
GB/T 7714-2015
复制
MLA
复制
APA
复制
导出至
BibTeX EndNote RefMan NoteFirst NoteExpress
×
提示
您的信息不完整,为了账户安全,请先补充。
现在去补充
×
提示
您因"违规操作"
具体请查看互助需知
我知道了
×
提示
确定
请完成安全验证×
copy
已复制链接
快去分享给好友吧!
我知道了
右上角分享
点击右上角分享
0
联系我们:info@booksci.cn Book学术提供免费学术资源搜索服务,方便国内外学者检索中英文文献。致力于提供最便捷和优质的服务体验。 Copyright © 2023 布克学术 All rights reserved.
京ICP备2023020795号-1
ghs 京公网安备 11010802042870号
Book学术文献互助
Book学术文献互助群
群 号:604180095
Book学术官方微信