应用定量成像技术估测COVID-19重症肺炎EVLWI:一项观察性研究

IF 2.8 Q2 CRITICAL CARE MEDICINE
Jonas Biehler, Marie Brei, Nina Pischke, Sebastian Rasch, Miriam Dibos, Johanna Erber, Roland M Schmid, Rickmer F Braren, Markus R Makowski, Karl-Robert Wichmann, Kei Wieland Mueller, Wolfgang A Wall, Tobias Lahmer
{"title":"应用定量成像技术估测COVID-19重症肺炎EVLWI:一项观察性研究","authors":"Jonas Biehler, Marie Brei, Nina Pischke, Sebastian Rasch, Miriam Dibos, Johanna Erber, Roland M Schmid, Rickmer F Braren, Markus R Makowski, Karl-Robert Wichmann, Kei Wieland Mueller, Wolfgang A Wall, Tobias Lahmer","doi":"10.1186/s40635-025-00752-w","DOIUrl":null,"url":null,"abstract":"<p><strong>Background: </strong>This study aimed to approximate the level of extravascular lung water (EVLW) in patients with severe COVID-19 pneumonia using quantitative imaging techniques. The elevation of EVLW is known to correlate with the degree of diffuse alveolar damage and linked with the mortality of critically ill patients. Transpulmonary thermodilution (TPTD) is the gold standard technique to estimate the total amount of EVLW, but it is invasive and requires specialized equipment and trained personnel.</p><p><strong>Methods: </strong>The study included patients with severe COVID-19 who required chest CT scanning within the first 48 h of Intensive Care Unit (ICU) admission and had TPTD monitoring. Using in-house software tools for automatic semantic segmentation, lung masks were obtained for estimating the EVLW content. The results were compared with the TPTD measurements.</p><p><strong>Results: </strong>The results demonstrate a significant correlation between EVLW-TPTP measured by thermodilution and EVLW-CT estimated from the patient's CT-image (r = 0.629, p = 0.0014).</p><p><strong>Conclusion: </strong>The study showed that quantitative imaging techniques using chest CT-scans could be used as a convenient and low-cost option for ICUs without TPTD equipment for the assessment of EVLW in severe COVID-19 pneumonia.</p>","PeriodicalId":13750,"journal":{"name":"Intensive Care Medicine Experimental","volume":"13 1","pages":"52"},"PeriodicalIF":2.8000,"publicationDate":"2025-05-19","publicationTypes":"Journal Article","fieldsOfStudy":null,"isOpenAccess":false,"openAccessPdf":"https://www.ncbi.nlm.nih.gov/pmc/articles/PMC12089548/pdf/","citationCount":"0","resultStr":"{\"title\":\"Approximation of EVLWI in severe COVID-19 pneumonia using quantitative imaging techniques: an observational study.\",\"authors\":\"Jonas Biehler, Marie Brei, Nina Pischke, Sebastian Rasch, Miriam Dibos, Johanna Erber, Roland M Schmid, Rickmer F Braren, Markus R Makowski, Karl-Robert Wichmann, Kei Wieland Mueller, Wolfgang A Wall, Tobias Lahmer\",\"doi\":\"10.1186/s40635-025-00752-w\",\"DOIUrl\":null,\"url\":null,\"abstract\":\"<p><strong>Background: </strong>This study aimed to approximate the level of extravascular lung water (EVLW) in patients with severe COVID-19 pneumonia using quantitative imaging techniques. The elevation of EVLW is known to correlate with the degree of diffuse alveolar damage and linked with the mortality of critically ill patients. Transpulmonary thermodilution (TPTD) is the gold standard technique to estimate the total amount of EVLW, but it is invasive and requires specialized equipment and trained personnel.</p><p><strong>Methods: </strong>The study included patients with severe COVID-19 who required chest CT scanning within the first 48 h of Intensive Care Unit (ICU) admission and had TPTD monitoring. Using in-house software tools for automatic semantic segmentation, lung masks were obtained for estimating the EVLW content. The results were compared with the TPTD measurements.</p><p><strong>Results: </strong>The results demonstrate a significant correlation between EVLW-TPTP measured by thermodilution and EVLW-CT estimated from the patient's CT-image (r = 0.629, p = 0.0014).</p><p><strong>Conclusion: </strong>The study showed that quantitative imaging techniques using chest CT-scans could be used as a convenient and low-cost option for ICUs without TPTD equipment for the assessment of EVLW in severe COVID-19 pneumonia.</p>\",\"PeriodicalId\":13750,\"journal\":{\"name\":\"Intensive Care Medicine Experimental\",\"volume\":\"13 1\",\"pages\":\"52\"},\"PeriodicalIF\":2.8000,\"publicationDate\":\"2025-05-19\",\"publicationTypes\":\"Journal Article\",\"fieldsOfStudy\":null,\"isOpenAccess\":false,\"openAccessPdf\":\"https://www.ncbi.nlm.nih.gov/pmc/articles/PMC12089548/pdf/\",\"citationCount\":\"0\",\"resultStr\":null,\"platform\":\"Semanticscholar\",\"paperid\":null,\"PeriodicalName\":\"Intensive Care Medicine Experimental\",\"FirstCategoryId\":\"1085\",\"ListUrlMain\":\"https://doi.org/10.1186/s40635-025-00752-w\",\"RegionNum\":0,\"RegionCategory\":null,\"ArticlePicture\":[],\"TitleCN\":null,\"AbstractTextCN\":null,\"PMCID\":null,\"EPubDate\":\"\",\"PubModel\":\"\",\"JCR\":\"Q2\",\"JCRName\":\"CRITICAL CARE MEDICINE\",\"Score\":null,\"Total\":0}","platform":"Semanticscholar","paperid":null,"PeriodicalName":"Intensive Care Medicine Experimental","FirstCategoryId":"1085","ListUrlMain":"https://doi.org/10.1186/s40635-025-00752-w","RegionNum":0,"RegionCategory":null,"ArticlePicture":[],"TitleCN":null,"AbstractTextCN":null,"PMCID":null,"EPubDate":"","PubModel":"","JCR":"Q2","JCRName":"CRITICAL CARE MEDICINE","Score":null,"Total":0}
引用次数: 0

摘要

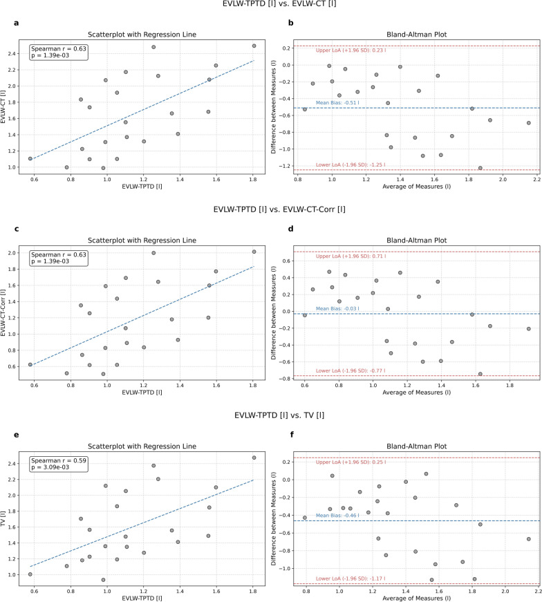
背景:本研究旨在利用定量成像技术估计COVID-19重症肺炎患者血管外肺水(EVLW)水平。已知EVLW的升高与弥漫性肺泡损伤程度相关,并与危重患者的死亡率相关。经肺热稀释(TPTD)是估计EVLW总量的金标准技术,但它是侵入性的,需要专门的设备和训练有素的人员。方法:研究纳入重症监护病房(ICU)入院前48小时内需要胸部CT扫描并进行TPTD监测的重症COVID-19患者。使用内部软件工具进行自动语义分割,获得用于估计EVLW内容的肺面罩。结果与TPTD测量值进行了比较。结果:热稀释法测定的EVLW-TPTP与患者ct图像估计的EVLW-CT之间存在显著相关性(r = 0.629, p = 0.0014)。结论:本研究表明,使用胸部ct扫描的定量成像技术可作为无TPTD设备的icu评估COVID-19重症肺炎EVLW的一种方便且低成本的选择。
本文章由计算机程序翻译,如有差异,请以英文原文为准。

Approximation of EVLWI in severe COVID-19 pneumonia using quantitative imaging techniques: an observational study.

Approximation of EVLWI in severe COVID-19 pneumonia using quantitative imaging techniques: an observational study.

Approximation of EVLWI in severe COVID-19 pneumonia using quantitative imaging techniques: an observational study.

Approximation of EVLWI in severe COVID-19 pneumonia using quantitative imaging techniques: an observational study.

Background: This study aimed to approximate the level of extravascular lung water (EVLW) in patients with severe COVID-19 pneumonia using quantitative imaging techniques. The elevation of EVLW is known to correlate with the degree of diffuse alveolar damage and linked with the mortality of critically ill patients. Transpulmonary thermodilution (TPTD) is the gold standard technique to estimate the total amount of EVLW, but it is invasive and requires specialized equipment and trained personnel.

Methods: The study included patients with severe COVID-19 who required chest CT scanning within the first 48 h of Intensive Care Unit (ICU) admission and had TPTD monitoring. Using in-house software tools for automatic semantic segmentation, lung masks were obtained for estimating the EVLW content. The results were compared with the TPTD measurements.

Results: The results demonstrate a significant correlation between EVLW-TPTP measured by thermodilution and EVLW-CT estimated from the patient's CT-image (r = 0.629, p = 0.0014).

Conclusion: The study showed that quantitative imaging techniques using chest CT-scans could be used as a convenient and low-cost option for ICUs without TPTD equipment for the assessment of EVLW in severe COVID-19 pneumonia.

求助全文
通过发布文献求助,成功后即可免费获取论文全文。 去求助
来源期刊
Intensive Care Medicine Experimental
Intensive Care Medicine Experimental CRITICAL CARE MEDICINE-
CiteScore
5.10
自引率
2.90%
发文量
48
审稿时长
13 weeks
×
引用
GB/T 7714-2015
复制
MLA
复制
APA
复制
导出至
BibTeX EndNote RefMan NoteFirst NoteExpress
×
提示
您的信息不完整,为了账户安全,请先补充。
现在去补充
×
提示
您因"违规操作"
具体请查看互助需知
我知道了
×
提示
确定
请完成安全验证×
copy
已复制链接
快去分享给好友吧!
我知道了
右上角分享
点击右上角分享
0
联系我们:info@booksci.cn Book学术提供免费学术资源搜索服务,方便国内外学者检索中英文文献。致力于提供最便捷和优质的服务体验。 Copyright © 2023 布克学术 All rights reserved.
京ICP备2023020795号-1
ghs 京公网安备 11010802042870号
Book学术文献互助
Book学术文献互助群
群 号:604180095
Book学术官方微信