那不勒斯预后评分(NPS)作为III期乳腺癌患者的一种新的预后评分:一项真实世界的回顾性研究。

IF 3.4 4区 医学 Q2 ONCOLOGY
Breast Cancer : Targets and Therapy Pub Date : 2025-05-12 eCollection Date: 2025-01-01 DOI:10.2147/BCTT.S519742
Yongmin Miao, Rui Yang, Bo Zhang, Jun Yang, Liang Yao, Wanfu Wang, Xiaoqing Liu, Xiangyang Guo, Hongyan Jia
{"title":"那不勒斯预后评分(NPS)作为III期乳腺癌患者的一种新的预后评分:一项真实世界的回顾性研究。","authors":"Yongmin Miao, Rui Yang, Bo Zhang, Jun Yang, Liang Yao, Wanfu Wang, Xiaoqing Liu, Xiangyang Guo, Hongyan Jia","doi":"10.2147/BCTT.S519742","DOIUrl":null,"url":null,"abstract":"<p><strong>Objective: </strong>This study aims to explore whether Naples prognostic score (NPS) serves as a novel and original prognostic tool for predicting long-term survival in stage III breast cancer patients undergoing operation.</p><p><strong>Methods: </strong>This retrospective study included 306 cases of stage III breast cancer patients hospitalized in our hospital from January 2014 to December 2018. In this study, NPS was based on five objective markers: (1) serum albumin level; (2) total cholesterol; (3) neutrophil to lymphocyte ratio; (4) lymphocyte to monocyte ratio. Survival curves of DFS and OS differences were visualized by Kaplan-Meier method and Log rank test. The variables with p < 0.05 in univariate analysis were performed in the multivariate Cox proportional hazard model analysis, and the p-values < 0.05 was considered the underlying independent variables. Nomogram was constructed by the multivariate Cox proportional hazard model analysis.</p><p><strong>Results: </strong>Significant variations for DFS and OS categorized according to prognostic risk for the different NPS (DFS: χ<sup>2</sup>=24.926, P < 0.0001; OS: χ<sup>2</sup>=31.207, P < 0.0001). According to multivariable Cox analysis, NPS was an independent prognostic factor of DFS [Group 0 had significantly better prognosis than group 1 (HR = 2.733, 95% CI: 1.446-5.166, P = 0.002) and group 2 (HR = 4.990, 95% CI: 2.555-9.746), P < 0.001)] and OS [Group 0 had significantly better prognosis than group 1 (HR = 2.437, 95% CI: 1.288-4.610, P = 0.006) and group 2 (HR = 5.707, 95% CI: 2.900-11.231), P < 0.001)], respectively. Nomogram prognostic model exhibited excellent predictive performance on DFS [C-index: 0.692 (95% CI: 0.584-0.782)] and OS [C-index: 0.711 (95% CI: 0.606-0.797)] for stage III breast cancer.</p><p><strong>Conclusion: </strong>NPS serves as a predictive tool for assessing the prognosis of stage III breast cancer after surgery. Nomogram prognostic model based on NPS show good prediction ability.</p>","PeriodicalId":9106,"journal":{"name":"Breast Cancer : Targets and Therapy","volume":"17 ","pages":"403-421"},"PeriodicalIF":3.4000,"publicationDate":"2025-05-12","publicationTypes":"Journal Article","fieldsOfStudy":null,"isOpenAccess":false,"openAccessPdf":"https://www.ncbi.nlm.nih.gov/pmc/articles/PMC12083478/pdf/","citationCount":"0","resultStr":"{\"title\":\"Naples Prognostic Score (NPS) as a Novel Prognostic Score for Stage III Breast Cancer Patients: A Real-World Retrospective Study.\",\"authors\":\"Yongmin Miao, Rui Yang, Bo Zhang, Jun Yang, Liang Yao, Wanfu Wang, Xiaoqing Liu, Xiangyang Guo, Hongyan Jia\",\"doi\":\"10.2147/BCTT.S519742\",\"DOIUrl\":null,\"url\":null,\"abstract\":\"<p><strong>Objective: </strong>This study aims to explore whether Naples prognostic score (NPS) serves as a novel and original prognostic tool for predicting long-term survival in stage III breast cancer patients undergoing operation.</p><p><strong>Methods: </strong>This retrospective study included 306 cases of stage III breast cancer patients hospitalized in our hospital from January 2014 to December 2018. In this study, NPS was based on five objective markers: (1) serum albumin level; (2) total cholesterol; (3) neutrophil to lymphocyte ratio; (4) lymphocyte to monocyte ratio. Survival curves of DFS and OS differences were visualized by Kaplan-Meier method and Log rank test. The variables with p < 0.05 in univariate analysis were performed in the multivariate Cox proportional hazard model analysis, and the p-values < 0.05 was considered the underlying independent variables. Nomogram was constructed by the multivariate Cox proportional hazard model analysis.</p><p><strong>Results: </strong>Significant variations for DFS and OS categorized according to prognostic risk for the different NPS (DFS: χ<sup>2</sup>=24.926, P < 0.0001; OS: χ<sup>2</sup>=31.207, P < 0.0001). According to multivariable Cox analysis, NPS was an independent prognostic factor of DFS [Group 0 had significantly better prognosis than group 1 (HR = 2.733, 95% CI: 1.446-5.166, P = 0.002) and group 2 (HR = 4.990, 95% CI: 2.555-9.746), P < 0.001)] and OS [Group 0 had significantly better prognosis than group 1 (HR = 2.437, 95% CI: 1.288-4.610, P = 0.006) and group 2 (HR = 5.707, 95% CI: 2.900-11.231), P < 0.001)], respectively. Nomogram prognostic model exhibited excellent predictive performance on DFS [C-index: 0.692 (95% CI: 0.584-0.782)] and OS [C-index: 0.711 (95% CI: 0.606-0.797)] for stage III breast cancer.</p><p><strong>Conclusion: </strong>NPS serves as a predictive tool for assessing the prognosis of stage III breast cancer after surgery. Nomogram prognostic model based on NPS show good prediction ability.</p>\",\"PeriodicalId\":9106,\"journal\":{\"name\":\"Breast Cancer : Targets and Therapy\",\"volume\":\"17 \",\"pages\":\"403-421\"},\"PeriodicalIF\":3.4000,\"publicationDate\":\"2025-05-12\",\"publicationTypes\":\"Journal Article\",\"fieldsOfStudy\":null,\"isOpenAccess\":false,\"openAccessPdf\":\"https://www.ncbi.nlm.nih.gov/pmc/articles/PMC12083478/pdf/\",\"citationCount\":\"0\",\"resultStr\":null,\"platform\":\"Semanticscholar\",\"paperid\":null,\"PeriodicalName\":\"Breast Cancer : Targets and Therapy\",\"FirstCategoryId\":\"3\",\"ListUrlMain\":\"https://doi.org/10.2147/BCTT.S519742\",\"RegionNum\":4,\"RegionCategory\":\"医学\",\"ArticlePicture\":[],\"TitleCN\":null,\"AbstractTextCN\":null,\"PMCID\":null,\"EPubDate\":\"2025/1/1 0:00:00\",\"PubModel\":\"eCollection\",\"JCR\":\"Q2\",\"JCRName\":\"ONCOLOGY\",\"Score\":null,\"Total\":0}","platform":"Semanticscholar","paperid":null,"PeriodicalName":"Breast Cancer : Targets and Therapy","FirstCategoryId":"3","ListUrlMain":"https://doi.org/10.2147/BCTT.S519742","RegionNum":4,"RegionCategory":"医学","ArticlePicture":[],"TitleCN":null,"AbstractTextCN":null,"PMCID":null,"EPubDate":"2025/1/1 0:00:00","PubModel":"eCollection","JCR":"Q2","JCRName":"ONCOLOGY","Score":null,"Total":0}
引用次数: 0

摘要

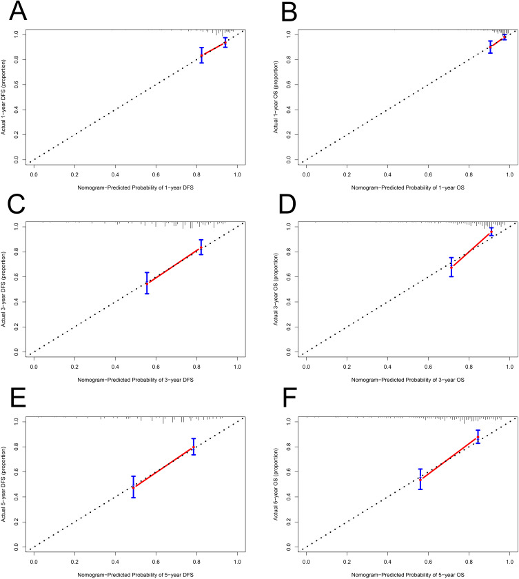
目的:本研究旨在探讨那不勒斯预后评分(Naples prognostic score, NPS)是否可作为预测III期乳腺癌手术患者长期生存的一种新颖、原始的预后工具。方法:回顾性研究2014年1月至2018年12月在我院住院的306例III期乳腺癌患者。在本研究中,NPS基于5个客观指标:(1)血清白蛋白水平;(2)总胆固醇;(3)中性粒细胞与淋巴细胞比值;(4)淋巴细胞与单核细胞的比例。采用Kaplan-Meier法和Log rank检验绘制DFS和OS差异的生存曲线。单因素分析中p < 0.05的变量进行多因素Cox比例风险模型分析,p < 0.05为潜在自变量。采用多变量Cox比例风险模型分析构建Nomogram。结果:不同NPS患者按预后风险分类的DFS和OS差异有统计学意义(DFS: χ2=24.926, P < 0.0001;χ2=31.207, p < 0.0001)。多变量Cox分析显示,NPS是DFS的独立预后因素[0组预后显著优于1组(HR = 2.733, 95% CI: 1.446 ~ 5.166, P = 0.002)、2组(HR = 4.990, 95% CI: 2.555 ~ 9.746), P < 0.001]和OS[0组预后显著优于1组(HR = 2.437, 95% CI: 1.288 ~ 4.610, P = 0.006)、2组(HR = 5.707, 95% CI: 2.900 ~ 11.231), P < 0.001)]。Nomogram预后模型对III期乳腺癌的DFS [C-index: 0.692 (95% CI: 0.584-0.782)]和OS [C-index: 0.711 (95% CI: 0.606-0.797)]有很好的预测效果。结论:NPS可作为评估III期乳腺癌术后预后的预测工具。基于NPS的Nomogram预后模型具有较好的预测能力。
本文章由计算机程序翻译,如有差异,请以英文原文为准。

Naples Prognostic Score (NPS) as a Novel Prognostic Score for Stage III Breast Cancer Patients: A Real-World Retrospective Study.

Naples Prognostic Score (NPS) as a Novel Prognostic Score for Stage III Breast Cancer Patients: A Real-World Retrospective Study.

Naples Prognostic Score (NPS) as a Novel Prognostic Score for Stage III Breast Cancer Patients: A Real-World Retrospective Study.

Naples Prognostic Score (NPS) as a Novel Prognostic Score for Stage III Breast Cancer Patients: A Real-World Retrospective Study.

Objective: This study aims to explore whether Naples prognostic score (NPS) serves as a novel and original prognostic tool for predicting long-term survival in stage III breast cancer patients undergoing operation.

Methods: This retrospective study included 306 cases of stage III breast cancer patients hospitalized in our hospital from January 2014 to December 2018. In this study, NPS was based on five objective markers: (1) serum albumin level; (2) total cholesterol; (3) neutrophil to lymphocyte ratio; (4) lymphocyte to monocyte ratio. Survival curves of DFS and OS differences were visualized by Kaplan-Meier method and Log rank test. The variables with p < 0.05 in univariate analysis were performed in the multivariate Cox proportional hazard model analysis, and the p-values < 0.05 was considered the underlying independent variables. Nomogram was constructed by the multivariate Cox proportional hazard model analysis.

Results: Significant variations for DFS and OS categorized according to prognostic risk for the different NPS (DFS: χ2=24.926, P < 0.0001; OS: χ2=31.207, P < 0.0001). According to multivariable Cox analysis, NPS was an independent prognostic factor of DFS [Group 0 had significantly better prognosis than group 1 (HR = 2.733, 95% CI: 1.446-5.166, P = 0.002) and group 2 (HR = 4.990, 95% CI: 2.555-9.746), P < 0.001)] and OS [Group 0 had significantly better prognosis than group 1 (HR = 2.437, 95% CI: 1.288-4.610, P = 0.006) and group 2 (HR = 5.707, 95% CI: 2.900-11.231), P < 0.001)], respectively. Nomogram prognostic model exhibited excellent predictive performance on DFS [C-index: 0.692 (95% CI: 0.584-0.782)] and OS [C-index: 0.711 (95% CI: 0.606-0.797)] for stage III breast cancer.

Conclusion: NPS serves as a predictive tool for assessing the prognosis of stage III breast cancer after surgery. Nomogram prognostic model based on NPS show good prediction ability.

求助全文
通过发布文献求助,成功后即可免费获取论文全文。 去求助
来源期刊
CiteScore
4.10
自引率
0.00%
发文量
40
审稿时长
16 weeks
×
引用
GB/T 7714-2015
复制
MLA
复制
APA
复制
导出至
BibTeX EndNote RefMan NoteFirst NoteExpress
×
提示
您的信息不完整,为了账户安全,请先补充。
现在去补充
×
提示
您因"违规操作"
具体请查看互助需知
我知道了
×
提示
确定
请完成安全验证×
copy
已复制链接
快去分享给好友吧!
我知道了
右上角分享
点击右上角分享
0
联系我们:info@booksci.cn Book学术提供免费学术资源搜索服务,方便国内外学者检索中英文文献。致力于提供最便捷和优质的服务体验。 Copyright © 2023 布克学术 All rights reserved.
京ICP备2023020795号-1
ghs 京公网安备 11010802042870号
Book学术文献互助
Book学术文献互助群
群 号:604180095
Book学术官方微信