坚持行星健康饮食与减缓认知能力下降有关:一项对中国老年人的前瞻性队列分析

IF 5.5 1区 医学 Q1 NUTRITION & DIETETICS
Lulu Tang, Xiaoli Yu, Changcui Qiu, Yu Lu, Yunlan Wang, Fei Liu, Xiaoping Zhu
{"title":"坚持行星健康饮食与减缓认知能力下降有关:一项对中国老年人的前瞻性队列分析","authors":"Lulu Tang, Xiaoli Yu, Changcui Qiu, Yu Lu, Yunlan Wang, Fei Liu, Xiaoping Zhu","doi":"10.1186/s12966-025-01759-y","DOIUrl":null,"url":null,"abstract":"<p><strong>Background: </strong>The EAT-Lancet commission has proposed a planetary health reference diet (PHD) aiming to improve human health and global environmental sustainability. Emerging evidence suggests that high-quality diet is a modified risk factor cognitive decline. However, population-based evidence in relation to the association between this diet and cognitive decline is scarce.</p><p><strong>Methods: </strong>This prospective cohort study examined data from the China Health and Nutrition Survey (CHNS) during 1997-2011.We included 3404 adults aged 60 years and older with normal cognition at baseline. Dietary intake was assessed using 3-day 24 h dietary recalls combined with weighing methods and cognitive function was assessed using repeated measures of the Telephone Interview for Cognitive Status-modified (TICS-m). The Planetary Health Diet Index (PHDI) was based on 14 food groups and a total score from 0 to 140. Higher scores indicated greater adherence to the PHDI. We used linear mixed model with random intercepts and slope to evaluate the association between PHDI score and cognitive decline adjusting for demographic, health, and lifestyle confounders.</p><p><strong>Results: </strong>During a median follow-up of 12 years, higher adherence to the PHDI was associated with a slower decline in memory and global cognition. Participants in the highest quintile of PHDI adherence had significantly slower memory decline (B = 0.025, 95%CI:0.000-0.049, P for trend = 0.019) and global cognitive decline (B = 0.020, 95%CI:0.004-0.037, P for trend = 0.029) compared to those in the lowest quintile. Stratified analyses revealed that physical activity modified these associations (P < 0.05). Among participants engaging in vigorous physical activity, those in the highest PHDI quintile exhibited an attenuated annual memory decline (B = 0.070, 95%CI:0.010-0.130, P for trend = 0.013) and global cognitive decline (B = 0.045, 95%CI:0.003-0.086, P for trend = 0.037) compared to those in the lowest quintile.</p><p><strong>Conclusion: </strong>Higher adherence to the PHD was associated with slower cognitive decline in older Chinese adults. Physical activity, particularly vigorous physical activity, may enhance the cognitive benefits of this dietary pattern. These findings highlight the potential dual benefits of sustainable dietary patterns for both environmental and cognitive health.</p>","PeriodicalId":50336,"journal":{"name":"International Journal of Behavioral Nutrition and Physical Activity","volume":"22 1","pages":"56"},"PeriodicalIF":5.5000,"publicationDate":"2025-05-16","publicationTypes":"Journal Article","fieldsOfStudy":null,"isOpenAccess":false,"openAccessPdf":"https://www.ncbi.nlm.nih.gov/pmc/articles/PMC12082918/pdf/","citationCount":"0","resultStr":"{\"title\":\"Adherence to the planetary health diet is associated with slower cognitive decline: a prospective cohort analysis of Chinese older adults.\",\"authors\":\"Lulu Tang, Xiaoli Yu, Changcui Qiu, Yu Lu, Yunlan Wang, Fei Liu, Xiaoping Zhu\",\"doi\":\"10.1186/s12966-025-01759-y\",\"DOIUrl\":null,\"url\":null,\"abstract\":\"<p><strong>Background: </strong>The EAT-Lancet commission has proposed a planetary health reference diet (PHD) aiming to improve human health and global environmental sustainability. Emerging evidence suggests that high-quality diet is a modified risk factor cognitive decline. However, population-based evidence in relation to the association between this diet and cognitive decline is scarce.</p><p><strong>Methods: </strong>This prospective cohort study examined data from the China Health and Nutrition Survey (CHNS) during 1997-2011.We included 3404 adults aged 60 years and older with normal cognition at baseline. Dietary intake was assessed using 3-day 24 h dietary recalls combined with weighing methods and cognitive function was assessed using repeated measures of the Telephone Interview for Cognitive Status-modified (TICS-m). The Planetary Health Diet Index (PHDI) was based on 14 food groups and a total score from 0 to 140. Higher scores indicated greater adherence to the PHDI. We used linear mixed model with random intercepts and slope to evaluate the association between PHDI score and cognitive decline adjusting for demographic, health, and lifestyle confounders.</p><p><strong>Results: </strong>During a median follow-up of 12 years, higher adherence to the PHDI was associated with a slower decline in memory and global cognition. Participants in the highest quintile of PHDI adherence had significantly slower memory decline (B = 0.025, 95%CI:0.000-0.049, P for trend = 0.019) and global cognitive decline (B = 0.020, 95%CI:0.004-0.037, P for trend = 0.029) compared to those in the lowest quintile. Stratified analyses revealed that physical activity modified these associations (P < 0.05). Among participants engaging in vigorous physical activity, those in the highest PHDI quintile exhibited an attenuated annual memory decline (B = 0.070, 95%CI:0.010-0.130, P for trend = 0.013) and global cognitive decline (B = 0.045, 95%CI:0.003-0.086, P for trend = 0.037) compared to those in the lowest quintile.</p><p><strong>Conclusion: </strong>Higher adherence to the PHD was associated with slower cognitive decline in older Chinese adults. Physical activity, particularly vigorous physical activity, may enhance the cognitive benefits of this dietary pattern. These findings highlight the potential dual benefits of sustainable dietary patterns for both environmental and cognitive health.</p>\",\"PeriodicalId\":50336,\"journal\":{\"name\":\"International Journal of Behavioral Nutrition and Physical Activity\",\"volume\":\"22 1\",\"pages\":\"56\"},\"PeriodicalIF\":5.5000,\"publicationDate\":\"2025-05-16\",\"publicationTypes\":\"Journal Article\",\"fieldsOfStudy\":null,\"isOpenAccess\":false,\"openAccessPdf\":\"https://www.ncbi.nlm.nih.gov/pmc/articles/PMC12082918/pdf/\",\"citationCount\":\"0\",\"resultStr\":null,\"platform\":\"Semanticscholar\",\"paperid\":null,\"PeriodicalName\":\"International Journal of Behavioral Nutrition and Physical Activity\",\"FirstCategoryId\":\"3\",\"ListUrlMain\":\"https://doi.org/10.1186/s12966-025-01759-y\",\"RegionNum\":1,\"RegionCategory\":\"医学\",\"ArticlePicture\":[],\"TitleCN\":null,\"AbstractTextCN\":null,\"PMCID\":null,\"EPubDate\":\"\",\"PubModel\":\"\",\"JCR\":\"Q1\",\"JCRName\":\"NUTRITION & DIETETICS\",\"Score\":null,\"Total\":0}","platform":"Semanticscholar","paperid":null,"PeriodicalName":"International Journal of Behavioral Nutrition and Physical Activity","FirstCategoryId":"3","ListUrlMain":"https://doi.org/10.1186/s12966-025-01759-y","RegionNum":1,"RegionCategory":"医学","ArticlePicture":[],"TitleCN":null,"AbstractTextCN":null,"PMCID":null,"EPubDate":"","PubModel":"","JCR":"Q1","JCRName":"NUTRITION & DIETETICS","Score":null,"Total":0}
引用次数: 0

摘要

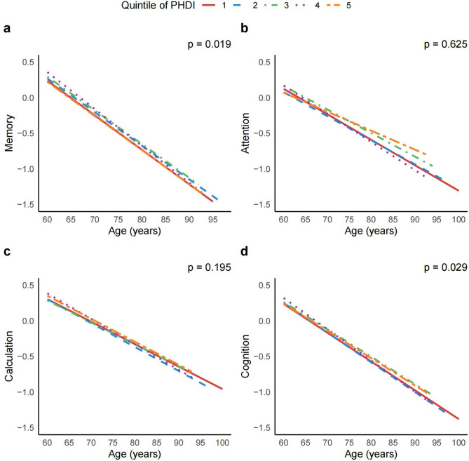
背景:EAT-Lancet委员会提出了一种行星健康参考饮食(PHD),旨在改善人类健康和全球环境的可持续性。新出现的证据表明,高质量的饮食是认知能力下降的一个改进的风险因素。然而,关于这种饮食和认知能力下降之间关系的基于人群的证据很少。方法:本前瞻性队列研究检查了1997-2011年中国健康与营养调查(CHNS)的数据。我们纳入了3404名年龄在60岁及以上、基线认知正常的成年人。采用3天24小时饮食回顾法结合称重法评估膳食摄入量,采用认知状态修正电话访谈法(tic -m)重复测量评估认知功能。全球健康饮食指数(PHDI)基于14个食物组,总分从0到140。得分越高,表明对PHDI的遵守程度越高。我们使用随机截距和斜率的线性混合模型来评估PHDI评分与认知能力下降之间的关系,调整了人口统计学、健康和生活方式混杂因素。结果:在中位12年的随访期间,越坚持使用PHDI,记忆力和整体认知能力的下降速度越慢。与最低五分位数的参与者相比,最高五分位数的参与者记忆力下降(B = 0.025, 95%CI:0.000-0.049, P为趋势= 0.019)和整体认知能力下降(B = 0.020, 95%CI:0.004-0.037, P为趋势= 0.029)明显较慢。分层分析显示,体育锻炼改变了这些关联(P结论:在中国老年人中,较高的坚持PHD与较慢的认知衰退有关。体育活动,特别是剧烈的体育活动,可以增强这种饮食模式的认知益处。这些发现强调了可持续饮食模式对环境和认知健康的潜在双重益处。
本文章由计算机程序翻译,如有差异,请以英文原文为准。

Adherence to the planetary health diet is associated with slower cognitive decline: a prospective cohort analysis of Chinese older adults.

Adherence to the planetary health diet is associated with slower cognitive decline: a prospective cohort analysis of Chinese older adults.

Adherence to the planetary health diet is associated with slower cognitive decline: a prospective cohort analysis of Chinese older adults.

Background: The EAT-Lancet commission has proposed a planetary health reference diet (PHD) aiming to improve human health and global environmental sustainability. Emerging evidence suggests that high-quality diet is a modified risk factor cognitive decline. However, population-based evidence in relation to the association between this diet and cognitive decline is scarce.

Methods: This prospective cohort study examined data from the China Health and Nutrition Survey (CHNS) during 1997-2011.We included 3404 adults aged 60 years and older with normal cognition at baseline. Dietary intake was assessed using 3-day 24 h dietary recalls combined with weighing methods and cognitive function was assessed using repeated measures of the Telephone Interview for Cognitive Status-modified (TICS-m). The Planetary Health Diet Index (PHDI) was based on 14 food groups and a total score from 0 to 140. Higher scores indicated greater adherence to the PHDI. We used linear mixed model with random intercepts and slope to evaluate the association between PHDI score and cognitive decline adjusting for demographic, health, and lifestyle confounders.

Results: During a median follow-up of 12 years, higher adherence to the PHDI was associated with a slower decline in memory and global cognition. Participants in the highest quintile of PHDI adherence had significantly slower memory decline (B = 0.025, 95%CI:0.000-0.049, P for trend = 0.019) and global cognitive decline (B = 0.020, 95%CI:0.004-0.037, P for trend = 0.029) compared to those in the lowest quintile. Stratified analyses revealed that physical activity modified these associations (P < 0.05). Among participants engaging in vigorous physical activity, those in the highest PHDI quintile exhibited an attenuated annual memory decline (B = 0.070, 95%CI:0.010-0.130, P for trend = 0.013) and global cognitive decline (B = 0.045, 95%CI:0.003-0.086, P for trend = 0.037) compared to those in the lowest quintile.

Conclusion: Higher adherence to the PHD was associated with slower cognitive decline in older Chinese adults. Physical activity, particularly vigorous physical activity, may enhance the cognitive benefits of this dietary pattern. These findings highlight the potential dual benefits of sustainable dietary patterns for both environmental and cognitive health.

求助全文
通过发布文献求助,成功后即可免费获取论文全文。 去求助
来源期刊
CiteScore
13.80
自引率
3.40%
发文量
138
审稿时长
4-8 weeks
期刊介绍: International Journal of Behavioral Nutrition and Physical Activity (IJBNPA) is an open access, peer-reviewed journal offering high quality articles, rapid publication and wide diffusion in the public domain. IJBNPA is devoted to furthering the understanding of the behavioral aspects of diet and physical activity and is unique in its inclusion of multiple levels of analysis, including populations, groups and individuals and its inclusion of epidemiology, and behavioral, theoretical and measurement research areas.
×
引用
GB/T 7714-2015
复制
MLA
复制
APA
复制
导出至
BibTeX EndNote RefMan NoteFirst NoteExpress
×
提示
您的信息不完整,为了账户安全,请先补充。
现在去补充
×
提示
您因"违规操作"
具体请查看互助需知
我知道了
×
提示
确定
请完成安全验证×
copy
已复制链接
快去分享给好友吧!
我知道了
右上角分享
点击右上角分享
0
联系我们:info@booksci.cn Book学术提供免费学术资源搜索服务,方便国内外学者检索中英文文献。致力于提供最便捷和优质的服务体验。 Copyright © 2023 布克学术 All rights reserved.
京ICP备2023020795号-1
ghs 京公网安备 11010802042870号
Book学术文献互助
Book学术文献互助群
群 号:604180095
Book学术官方微信