SLE-DAS能够准确定义严重狼疮疾病活动:衍生和验证在一个事后研究的anifrolumab II期和III期研究。

IF 3.5 2区 医学 Q1 RHEUMATOLOGY
Diogo Jesus, Ana Matos, Carla Henriques, Andrea Doria, Luis Sousa Ines
{"title":"SLE-DAS能够准确定义严重狼疮疾病活动:衍生和验证在一个事后研究的anifrolumab II期和III期研究。","authors":"Diogo Jesus, Ana Matos, Carla Henriques, Andrea Doria, Luis Sousa Ines","doi":"10.1136/lupus-2025-001499","DOIUrl":null,"url":null,"abstract":"<p><strong>Objectives: </strong>This study aimed to derive and validate a cut-off for severe disease activity (SDA) using the SLE Disease Activity Score (SLE-DAS) and compare its accuracy and impact on health-related quality of life (HR-QoL) with the British Isles Lupus Assessment Group 2004 (BILAG-2004) and SLE Disease Activity Index 2000 (SLEDAI-2K).</p><p><strong>Methods: </strong>We performed a post hoc analysis of pooled placebo arm data from the MUSE (A Phase II, Randomized Study to Evaluate the Efficacy and Safety of MEDI-546 in Subjects with Systemic Lupus Erythematosus), TULIP-1 and TULIP-2 (Treatment of Uncontrolled Lupus via the Interferon Pathway) trials, including 438 patients with moderate-to-severe SLE. SLE-DAS was scored retrospectively, and a cut-off for SDA was derived using receiver operating characteristic (ROC) curves against the BILAG-2004 numerical score >11 as gold standard. Multiple linear regression analysis and Cohen's d effect size were applied to evaluate the effectiveness of SLE-DAS, BILAG-2004 and SLEDAI-2K SDA classifications in capturing HR-QoL patient-reported outcomes (PROs).</p><p><strong>Results: </strong>The optimal SLE-DAS cut-off for SDA was >9.90 (area under the ROC curve=0.847, sensitivity=77.8%, specificity=79.6%). Patients classified as SDA by both SLE-DAS and BILAG-2004 or only by SLE-DAS exhibited similar disease activity, while those classified by BILAG-2004 alone had less severe disease and better HR-QoL. The SLE-DAS cut-off was associated with worse HR-QoL across multiple PROs more consistently than BILAG-2004 or SLEDAI-2K.</p><p><strong>Conclusion: </strong>The SLE-DAS cut-off for SDA provides an accurate definition of SDA in SLE, with good discriminative power and consistent associations with worse HR-QoL. This SLE-DAS definition enhances disease activity classification and offers a practical tool for guiding treatment decisions in clinical practice, as well as selecting patients with SDA for inclusion in clinical trials.</p>","PeriodicalId":18126,"journal":{"name":"Lupus Science & Medicine","volume":"12 1","pages":""},"PeriodicalIF":3.5000,"publicationDate":"2025-05-16","publicationTypes":"Journal Article","fieldsOfStudy":null,"isOpenAccess":false,"openAccessPdf":"https://www.ncbi.nlm.nih.gov/pmc/articles/PMC12086896/pdf/","citationCount":"0","resultStr":"{\"title\":\"SLE-DAS enables an accurate definition of severe lupus disease activity: derivation and validation in a post hoc study of anifrolumab phase II and III studies.\",\"authors\":\"Diogo Jesus, Ana Matos, Carla Henriques, Andrea Doria, Luis Sousa Ines\",\"doi\":\"10.1136/lupus-2025-001499\",\"DOIUrl\":null,\"url\":null,\"abstract\":\"<p><strong>Objectives: </strong>This study aimed to derive and validate a cut-off for severe disease activity (SDA) using the SLE Disease Activity Score (SLE-DAS) and compare its accuracy and impact on health-related quality of life (HR-QoL) with the British Isles Lupus Assessment Group 2004 (BILAG-2004) and SLE Disease Activity Index 2000 (SLEDAI-2K).</p><p><strong>Methods: </strong>We performed a post hoc analysis of pooled placebo arm data from the MUSE (A Phase II, Randomized Study to Evaluate the Efficacy and Safety of MEDI-546 in Subjects with Systemic Lupus Erythematosus), TULIP-1 and TULIP-2 (Treatment of Uncontrolled Lupus via the Interferon Pathway) trials, including 438 patients with moderate-to-severe SLE. SLE-DAS was scored retrospectively, and a cut-off for SDA was derived using receiver operating characteristic (ROC) curves against the BILAG-2004 numerical score >11 as gold standard. Multiple linear regression analysis and Cohen's d effect size were applied to evaluate the effectiveness of SLE-DAS, BILAG-2004 and SLEDAI-2K SDA classifications in capturing HR-QoL patient-reported outcomes (PROs).</p><p><strong>Results: </strong>The optimal SLE-DAS cut-off for SDA was >9.90 (area under the ROC curve=0.847, sensitivity=77.8%, specificity=79.6%). Patients classified as SDA by both SLE-DAS and BILAG-2004 or only by SLE-DAS exhibited similar disease activity, while those classified by BILAG-2004 alone had less severe disease and better HR-QoL. The SLE-DAS cut-off was associated with worse HR-QoL across multiple PROs more consistently than BILAG-2004 or SLEDAI-2K.</p><p><strong>Conclusion: </strong>The SLE-DAS cut-off for SDA provides an accurate definition of SDA in SLE, with good discriminative power and consistent associations with worse HR-QoL. This SLE-DAS definition enhances disease activity classification and offers a practical tool for guiding treatment decisions in clinical practice, as well as selecting patients with SDA for inclusion in clinical trials.</p>\",\"PeriodicalId\":18126,\"journal\":{\"name\":\"Lupus Science & Medicine\",\"volume\":\"12 1\",\"pages\":\"\"},\"PeriodicalIF\":3.5000,\"publicationDate\":\"2025-05-16\",\"publicationTypes\":\"Journal Article\",\"fieldsOfStudy\":null,\"isOpenAccess\":false,\"openAccessPdf\":\"https://www.ncbi.nlm.nih.gov/pmc/articles/PMC12086896/pdf/\",\"citationCount\":\"0\",\"resultStr\":null,\"platform\":\"Semanticscholar\",\"paperid\":null,\"PeriodicalName\":\"Lupus Science & Medicine\",\"FirstCategoryId\":\"3\",\"ListUrlMain\":\"https://doi.org/10.1136/lupus-2025-001499\",\"RegionNum\":2,\"RegionCategory\":\"医学\",\"ArticlePicture\":[],\"TitleCN\":null,\"AbstractTextCN\":null,\"PMCID\":null,\"EPubDate\":\"\",\"PubModel\":\"\",\"JCR\":\"Q1\",\"JCRName\":\"RHEUMATOLOGY\",\"Score\":null,\"Total\":0}","platform":"Semanticscholar","paperid":null,"PeriodicalName":"Lupus Science & Medicine","FirstCategoryId":"3","ListUrlMain":"https://doi.org/10.1136/lupus-2025-001499","RegionNum":2,"RegionCategory":"医学","ArticlePicture":[],"TitleCN":null,"AbstractTextCN":null,"PMCID":null,"EPubDate":"","PubModel":"","JCR":"Q1","JCRName":"RHEUMATOLOGY","Score":null,"Total":0}
引用次数: 0

摘要

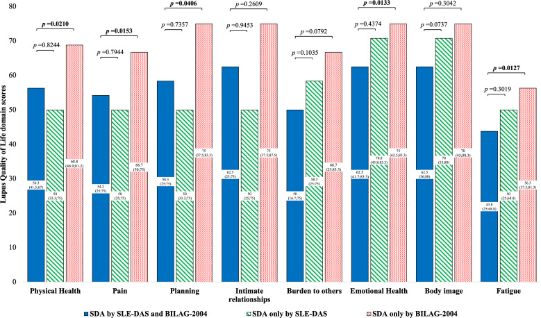
目的:本研究旨在利用SLE疾病活动性评分(SLE- das)得出并验证严重疾病活动性(SDA)的截止值,并将其准确性和对健康相关生活质量(HR-QoL)的影响与2004年英兰岛狼疮评估小组(bilag2004)和2000年SLE疾病活动性指数(SLEDAI-2K)进行比较。方法:我们对MUSE(一项评估MEDI-546在系统性红斑狼疮患者中的疗效和安全性的II期随机研究)、TULIP-1和TULIP-2(通过干扰素途径治疗不受控制的狼疮)试验的合并安慰剂组数据进行了事后分析,其中包括438例中重度SLE患者。回顾性评分SLE-DAS,并以受试者工作特征(ROC)曲线为标准,以BILAG-2004数值评分bbbb11为金标准,得出SDA的截止值。采用多元线性回归分析和Cohen's d效应量来评价SDA - das、BILAG-2004和SLEDAI-2K SDA分类在获取患者报告的HR-QoL结局(pro)方面的有效性。结果:SDA的最佳SLE-DAS cut- cut为bb0 9.90 (ROC曲线下面积=0.847,灵敏度=77.8%,特异性=79.6%)。同时使用slei - das和BILAG-2004或仅使用slei - das分类为SDA的患者表现出相似的疾病活动性,而单独使用BILAG-2004分类的患者病情较轻,HR-QoL较好。与BILAG-2004或SLEDAI-2K相比,sledai - das的截止值在多个专业中与较差的HR-QoL相关的一致性更强。结论:SDA的SLE- das截止值提供了SLE中SDA的准确定义,具有良好的鉴别能力,并且与较差的HR-QoL具有一致的相关性。SDA - das定义增强了疾病活动性分类,为指导临床实践中的治疗决策以及选择SDA患者纳入临床试验提供了实用工具。
本文章由计算机程序翻译,如有差异,请以英文原文为准。

SLE-DAS enables an accurate definition of severe lupus disease activity: derivation and validation in a post hoc study of anifrolumab phase II and III studies.

SLE-DAS enables an accurate definition of severe lupus disease activity: derivation and validation in a post hoc study of anifrolumab phase II and III studies.

SLE-DAS enables an accurate definition of severe lupus disease activity: derivation and validation in a post hoc study of anifrolumab phase II and III studies.

SLE-DAS enables an accurate definition of severe lupus disease activity: derivation and validation in a post hoc study of anifrolumab phase II and III studies.

Objectives: This study aimed to derive and validate a cut-off for severe disease activity (SDA) using the SLE Disease Activity Score (SLE-DAS) and compare its accuracy and impact on health-related quality of life (HR-QoL) with the British Isles Lupus Assessment Group 2004 (BILAG-2004) and SLE Disease Activity Index 2000 (SLEDAI-2K).

Methods: We performed a post hoc analysis of pooled placebo arm data from the MUSE (A Phase II, Randomized Study to Evaluate the Efficacy and Safety of MEDI-546 in Subjects with Systemic Lupus Erythematosus), TULIP-1 and TULIP-2 (Treatment of Uncontrolled Lupus via the Interferon Pathway) trials, including 438 patients with moderate-to-severe SLE. SLE-DAS was scored retrospectively, and a cut-off for SDA was derived using receiver operating characteristic (ROC) curves against the BILAG-2004 numerical score >11 as gold standard. Multiple linear regression analysis and Cohen's d effect size were applied to evaluate the effectiveness of SLE-DAS, BILAG-2004 and SLEDAI-2K SDA classifications in capturing HR-QoL patient-reported outcomes (PROs).

Results: The optimal SLE-DAS cut-off for SDA was >9.90 (area under the ROC curve=0.847, sensitivity=77.8%, specificity=79.6%). Patients classified as SDA by both SLE-DAS and BILAG-2004 or only by SLE-DAS exhibited similar disease activity, while those classified by BILAG-2004 alone had less severe disease and better HR-QoL. The SLE-DAS cut-off was associated with worse HR-QoL across multiple PROs more consistently than BILAG-2004 or SLEDAI-2K.

Conclusion: The SLE-DAS cut-off for SDA provides an accurate definition of SDA in SLE, with good discriminative power and consistent associations with worse HR-QoL. This SLE-DAS definition enhances disease activity classification and offers a practical tool for guiding treatment decisions in clinical practice, as well as selecting patients with SDA for inclusion in clinical trials.

求助全文
通过发布文献求助,成功后即可免费获取论文全文。 去求助
来源期刊
Lupus Science & Medicine
Lupus Science & Medicine RHEUMATOLOGY-
CiteScore
5.30
自引率
7.70%
发文量
88
审稿时长
15 weeks
期刊介绍: Lupus Science & Medicine is a global, peer reviewed, open access online journal that provides a central point for publication of basic, clinical, translational, and epidemiological studies of all aspects of lupus and related diseases. It is the first lupus-specific open access journal in the world and was developed in response to the need for a barrier-free forum for publication of groundbreaking studies in lupus. The journal publishes research on lupus from fields including, but not limited to: rheumatology, dermatology, nephrology, immunology, pediatrics, cardiology, hepatology, pulmonology, obstetrics and gynecology, and psychiatry.
×
引用
GB/T 7714-2015
复制
MLA
复制
APA
复制
导出至
BibTeX EndNote RefMan NoteFirst NoteExpress
×
提示
您的信息不完整,为了账户安全,请先补充。
现在去补充
×
提示
您因"违规操作"
具体请查看互助需知
我知道了
×
提示
确定
请完成安全验证×
copy
已复制链接
快去分享给好友吧!
我知道了
右上角分享
点击右上角分享
0
联系我们:info@booksci.cn Book学术提供免费学术资源搜索服务,方便国内外学者检索中英文文献。致力于提供最便捷和优质的服务体验。 Copyright © 2023 布克学术 All rights reserved.
京ICP备2023020795号-1
ghs 京公网安备 11010802042870号
Book学术文献互助
Book学术文献互助群
群 号:604180095
Book学术官方微信