流感动力学的数学建模:整合季节性和逐渐减弱的免疫力。

IF 2.2 4区 数学 Q2 BIOLOGY
Carlos Andreu-Vilarroig, Gilberto González-Parra, Rafael-Jacinto Villanueva
{"title":"流感动力学的数学建模:整合季节性和逐渐减弱的免疫力。","authors":"Carlos Andreu-Vilarroig, Gilberto González-Parra, Rafael-Jacinto Villanueva","doi":"10.1007/s11538-025-01454-w","DOIUrl":null,"url":null,"abstract":"<p><p>The dynamics of influenza virus spread is one of the most complex to model due to two crucial factors involved: seasonality and immunity. These factors have been typically addressed separately in mathematical modeling in epidemiology. In this paper, we present a mathematical modeling approach to consider simultaneously both forced-seasonality and gradual waning immunity. A seasonal SIRn model that integrates seasonality and gradual waning immunity is constructed. Seasonality has been modeled classically, by defining the transmission rate as a periodic function, with higher values in winter seasons. The progressive decline of immunity after infection has been introduced into the model structure by considering multiple recovered subpopulations or recovery states with transmission rates attenuated by a susceptibility factor that varies with the age of infection. To show the applicability of the proposed mathematical modeling approach to a real-world scenario, we have carried out a calibration of the model with the data series of influenza infections reported in the 2010-2020 period at the General Hospital of Castellón de la Plana, Spain. The results of the case study show the feasibility of the mathematical approach. We provide a discussion of the main features and insights of the proposed mathematical modeling approach presented in this study.</p>","PeriodicalId":9372,"journal":{"name":"Bulletin of Mathematical Biology","volume":"87 6","pages":"75"},"PeriodicalIF":2.2000,"publicationDate":"2025-05-16","publicationTypes":"Journal Article","fieldsOfStudy":null,"isOpenAccess":false,"openAccessPdf":"https://www.ncbi.nlm.nih.gov/pmc/articles/PMC12084257/pdf/","citationCount":"0","resultStr":"{\"title\":\"Mathematical Modeling of Influenza Dynamics: Integrating Seasonality and Gradual Waning Immunity.\",\"authors\":\"Carlos Andreu-Vilarroig, Gilberto González-Parra, Rafael-Jacinto Villanueva\",\"doi\":\"10.1007/s11538-025-01454-w\",\"DOIUrl\":null,\"url\":null,\"abstract\":\"<p><p>The dynamics of influenza virus spread is one of the most complex to model due to two crucial factors involved: seasonality and immunity. These factors have been typically addressed separately in mathematical modeling in epidemiology. In this paper, we present a mathematical modeling approach to consider simultaneously both forced-seasonality and gradual waning immunity. A seasonal SIRn model that integrates seasonality and gradual waning immunity is constructed. Seasonality has been modeled classically, by defining the transmission rate as a periodic function, with higher values in winter seasons. The progressive decline of immunity after infection has been introduced into the model structure by considering multiple recovered subpopulations or recovery states with transmission rates attenuated by a susceptibility factor that varies with the age of infection. To show the applicability of the proposed mathematical modeling approach to a real-world scenario, we have carried out a calibration of the model with the data series of influenza infections reported in the 2010-2020 period at the General Hospital of Castellón de la Plana, Spain. The results of the case study show the feasibility of the mathematical approach. We provide a discussion of the main features and insights of the proposed mathematical modeling approach presented in this study.</p>\",\"PeriodicalId\":9372,\"journal\":{\"name\":\"Bulletin of Mathematical Biology\",\"volume\":\"87 6\",\"pages\":\"75\"},\"PeriodicalIF\":2.2000,\"publicationDate\":\"2025-05-16\",\"publicationTypes\":\"Journal Article\",\"fieldsOfStudy\":null,\"isOpenAccess\":false,\"openAccessPdf\":\"https://www.ncbi.nlm.nih.gov/pmc/articles/PMC12084257/pdf/\",\"citationCount\":\"0\",\"resultStr\":null,\"platform\":\"Semanticscholar\",\"paperid\":null,\"PeriodicalName\":\"Bulletin of Mathematical Biology\",\"FirstCategoryId\":\"100\",\"ListUrlMain\":\"https://doi.org/10.1007/s11538-025-01454-w\",\"RegionNum\":4,\"RegionCategory\":\"数学\",\"ArticlePicture\":[],\"TitleCN\":null,\"AbstractTextCN\":null,\"PMCID\":null,\"EPubDate\":\"\",\"PubModel\":\"\",\"JCR\":\"Q2\",\"JCRName\":\"BIOLOGY\",\"Score\":null,\"Total\":0}","platform":"Semanticscholar","paperid":null,"PeriodicalName":"Bulletin of Mathematical Biology","FirstCategoryId":"100","ListUrlMain":"https://doi.org/10.1007/s11538-025-01454-w","RegionNum":4,"RegionCategory":"数学","ArticlePicture":[],"TitleCN":null,"AbstractTextCN":null,"PMCID":null,"EPubDate":"","PubModel":"","JCR":"Q2","JCRName":"BIOLOGY","Score":null,"Total":0}
引用次数: 0

摘要

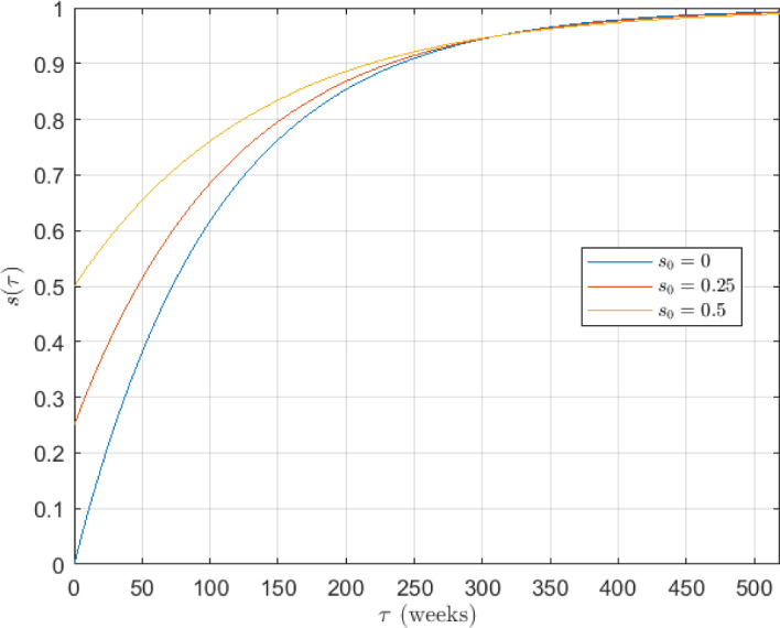
流感病毒传播的动态是最复杂的模型之一,因为涉及两个关键因素:季节性和免疫力。在流行病学的数学建模中,这些因素通常是单独处理的。本文提出了一种同时考虑强迫季节性和免疫逐渐减弱的数学建模方法。建立了一个集季节性和免疫力逐渐减弱为一体的季节性SIRn模型。通过将传播率定义为一个周期函数,在冬季具有较高的值,季节性已被经典地建模。通过考虑多个恢复亚群或恢复状态,将感染后免疫力的逐渐下降引入模型结构,传播率因感染年龄变化的易感因素而减弱。为了证明所提出的数学建模方法对现实世界情景的适用性,我们使用西班牙Castellón de la Plana总医院2010-2020年期间报告的流感感染数据系列对模型进行了校准。实例分析结果表明了该数学方法的可行性。我们提供了本研究中提出的数学建模方法的主要特征和见解的讨论。
本文章由计算机程序翻译,如有差异,请以英文原文为准。

Mathematical Modeling of Influenza Dynamics: Integrating Seasonality and Gradual Waning Immunity.

Mathematical Modeling of Influenza Dynamics: Integrating Seasonality and Gradual Waning Immunity.

Mathematical Modeling of Influenza Dynamics: Integrating Seasonality and Gradual Waning Immunity.

Mathematical Modeling of Influenza Dynamics: Integrating Seasonality and Gradual Waning Immunity.

The dynamics of influenza virus spread is one of the most complex to model due to two crucial factors involved: seasonality and immunity. These factors have been typically addressed separately in mathematical modeling in epidemiology. In this paper, we present a mathematical modeling approach to consider simultaneously both forced-seasonality and gradual waning immunity. A seasonal SIRn model that integrates seasonality and gradual waning immunity is constructed. Seasonality has been modeled classically, by defining the transmission rate as a periodic function, with higher values in winter seasons. The progressive decline of immunity after infection has been introduced into the model structure by considering multiple recovered subpopulations or recovery states with transmission rates attenuated by a susceptibility factor that varies with the age of infection. To show the applicability of the proposed mathematical modeling approach to a real-world scenario, we have carried out a calibration of the model with the data series of influenza infections reported in the 2010-2020 period at the General Hospital of Castellón de la Plana, Spain. The results of the case study show the feasibility of the mathematical approach. We provide a discussion of the main features and insights of the proposed mathematical modeling approach presented in this study.

求助全文
通过发布文献求助,成功后即可免费获取论文全文。 去求助
来源期刊
CiteScore
3.90
自引率
8.60%
发文量
123
审稿时长
7.5 months
期刊介绍: The Bulletin of Mathematical Biology, the official journal of the Society for Mathematical Biology, disseminates original research findings and other information relevant to the interface of biology and the mathematical sciences. Contributions should have relevance to both fields. In order to accommodate the broad scope of new developments, the journal accepts a variety of contributions, including: Original research articles focused on new biological insights gained with the help of tools from the mathematical sciences or new mathematical tools and methods with demonstrated applicability to biological investigations Research in mathematical biology education Reviews Commentaries Perspectives, and contributions that discuss issues important to the profession All contributions are peer-reviewed.
×
引用
GB/T 7714-2015
复制
MLA
复制
APA
复制
导出至
BibTeX EndNote RefMan NoteFirst NoteExpress
×
提示
您的信息不完整,为了账户安全,请先补充。
现在去补充
×
提示
您因"违规操作"
具体请查看互助需知
我知道了
×
提示
确定
请完成安全验证×
copy
已复制链接
快去分享给好友吧!
我知道了
右上角分享
点击右上角分享
0
联系我们:info@booksci.cn Book学术提供免费学术资源搜索服务,方便国内外学者检索中英文文献。致力于提供最便捷和优质的服务体验。 Copyright © 2023 布克学术 All rights reserved.
京ICP备2023020795号-1
ghs 京公网安备 11010802042870号
Book学术文献互助
Book学术文献互助群
群 号:604180095
Book学术官方微信