同一健康领域肠球菌抗生素耐药性和生物膜形成的比较分析。

IF 4
FEMS microbes Pub Date : 2025-04-25 eCollection Date: 2025-01-01 DOI:10.1093/femsmc/xtaf005
Vanessa Silva, Catarina Freitas, Jessica Ribeiro, Gilberto Igrejas, Patricia Poeta
{"title":"同一健康领域肠球菌抗生素耐药性和生物膜形成的比较分析。","authors":"Vanessa Silva, Catarina Freitas, Jessica Ribeiro, Gilberto Igrejas, Patricia Poeta","doi":"10.1093/femsmc/xtaf005","DOIUrl":null,"url":null,"abstract":"<p><p>The rise of antibiotic-resistant bacteria is a critical issue across various ecological interfaces, highlighting the need for a One Health approach. <i>Enterococcus</i> spp., known for their ability to acquire and disseminate resistance, serve as an excellent model due to their presence in diverse hosts and environments. This study investigates antimicrobial resistance, biofilm formation capacity, and the efficacy of antibiotics on biofilm biomass reduction in isolates from multiple sources. A total of 197 <i>Enterococcus</i> isolates were used. Antimicrobial resistance was determined using the Kirby-Bauer disc diffusion method, and minimum inhibitory concentrations were tested against vancomycin, tetracycline, and ampicillin. Biofilm formation capacity was assessed, and 10 biofilm-formers were subjected to minimum biofilm inhibitory concentration (MBIC) tests to evaluate biofilm biomass reduction. The results showed high resistance rates to erythromycin (84.5%), ciprofloxacin (59.4%), and tetracycline (44.4%), with moderate resistance to ampicillin (36.2%), chloramphenicol (28%), and vancomycin (24.7%). Biofilm formation was observed in 65% of the isolates, with <i>Enterococcus hirae</i> producing the most biofilm biomass. Vancomycin and ampicillin were more effective in reducing biofilm biomass than tetracycline. Ampicillin-resistant isolates produced more biofilm, suggesting a link between resistance and biofilm formation. This study highlights the complexity of antibiotic-resistant <i>Enterococcus</i> spp. and their biofilms, emphasizing the need for research on One Health.</p>","PeriodicalId":73024,"journal":{"name":"FEMS microbes","volume":"6 ","pages":"xtaf005"},"PeriodicalIF":4.0000,"publicationDate":"2025-04-25","publicationTypes":"Journal Article","fieldsOfStudy":null,"isOpenAccess":false,"openAccessPdf":"https://www.ncbi.nlm.nih.gov/pmc/articles/PMC12077392/pdf/","citationCount":"0","resultStr":"{\"title\":\"Comparative analysis of antibiotic resistance and biofilm formation in <i>Enterococcus</i> spp. across One Health domains.\",\"authors\":\"Vanessa Silva, Catarina Freitas, Jessica Ribeiro, Gilberto Igrejas, Patricia Poeta\",\"doi\":\"10.1093/femsmc/xtaf005\",\"DOIUrl\":null,\"url\":null,\"abstract\":\"<p><p>The rise of antibiotic-resistant bacteria is a critical issue across various ecological interfaces, highlighting the need for a One Health approach. <i>Enterococcus</i> spp., known for their ability to acquire and disseminate resistance, serve as an excellent model due to their presence in diverse hosts and environments. This study investigates antimicrobial resistance, biofilm formation capacity, and the efficacy of antibiotics on biofilm biomass reduction in isolates from multiple sources. A total of 197 <i>Enterococcus</i> isolates were used. Antimicrobial resistance was determined using the Kirby-Bauer disc diffusion method, and minimum inhibitory concentrations were tested against vancomycin, tetracycline, and ampicillin. Biofilm formation capacity was assessed, and 10 biofilm-formers were subjected to minimum biofilm inhibitory concentration (MBIC) tests to evaluate biofilm biomass reduction. The results showed high resistance rates to erythromycin (84.5%), ciprofloxacin (59.4%), and tetracycline (44.4%), with moderate resistance to ampicillin (36.2%), chloramphenicol (28%), and vancomycin (24.7%). Biofilm formation was observed in 65% of the isolates, with <i>Enterococcus hirae</i> producing the most biofilm biomass. Vancomycin and ampicillin were more effective in reducing biofilm biomass than tetracycline. Ampicillin-resistant isolates produced more biofilm, suggesting a link between resistance and biofilm formation. This study highlights the complexity of antibiotic-resistant <i>Enterococcus</i> spp. and their biofilms, emphasizing the need for research on One Health.</p>\",\"PeriodicalId\":73024,\"journal\":{\"name\":\"FEMS microbes\",\"volume\":\"6 \",\"pages\":\"xtaf005\"},\"PeriodicalIF\":4.0000,\"publicationDate\":\"2025-04-25\",\"publicationTypes\":\"Journal Article\",\"fieldsOfStudy\":null,\"isOpenAccess\":false,\"openAccessPdf\":\"https://www.ncbi.nlm.nih.gov/pmc/articles/PMC12077392/pdf/\",\"citationCount\":\"0\",\"resultStr\":null,\"platform\":\"Semanticscholar\",\"paperid\":null,\"PeriodicalName\":\"FEMS microbes\",\"FirstCategoryId\":\"1085\",\"ListUrlMain\":\"https://doi.org/10.1093/femsmc/xtaf005\",\"RegionNum\":0,\"RegionCategory\":null,\"ArticlePicture\":[],\"TitleCN\":null,\"AbstractTextCN\":null,\"PMCID\":null,\"EPubDate\":\"2025/1/1 0:00:00\",\"PubModel\":\"eCollection\",\"JCR\":\"\",\"JCRName\":\"\",\"Score\":null,\"Total\":0}","platform":"Semanticscholar","paperid":null,"PeriodicalName":"FEMS microbes","FirstCategoryId":"1085","ListUrlMain":"https://doi.org/10.1093/femsmc/xtaf005","RegionNum":0,"RegionCategory":null,"ArticlePicture":[],"TitleCN":null,"AbstractTextCN":null,"PMCID":null,"EPubDate":"2025/1/1 0:00:00","PubModel":"eCollection","JCR":"","JCRName":"","Score":null,"Total":0}
引用次数: 0

摘要

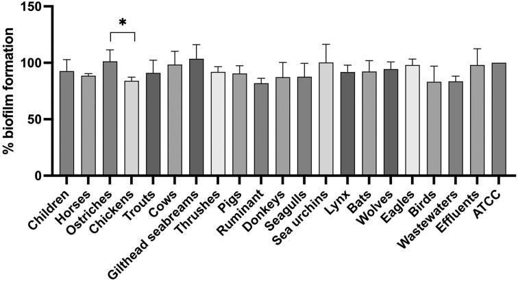
耐抗生素细菌的增加是跨各种生态界面的一个关键问题,突出了一个健康方法的必要性。肠球菌以其获得和传播耐药性的能力而闻名,由于它们存在于不同的宿主和环境中,因此可以作为一个很好的模型。本研究研究了来自多个来源的菌株的抗微生物药物耐药性、生物膜形成能力以及抗生素对生物膜生物量减少的影响。共分离肠球菌197株。采用Kirby-Bauer圆盘扩散法测定其耐药性,并测定其对万古霉素、四环素和氨苄西林的最低抑菌浓度。对生物膜形成能力进行了评估,并对10个生物成膜体进行了最低生物膜抑制浓度(MBIC)测试,以评估生物膜生物量的减少。结果显示,对红霉素(84.5%)、环丙沙星(59.4%)、四环素(44.4%)的耐药率较高,对氨苄西林(36.2%)、氯霉素(28%)、万古霉素(24.7%)的耐药率中等。在65%的分离株中观察到生物膜的形成,其中以产肠球菌的生物膜生物量最多。万古霉素和氨苄西林在减少生物膜生物量方面比四环素更有效。耐氨苄青霉素的分离株产生更多的生物膜,表明耐药性与生物膜形成之间存在联系。本研究突出了耐抗生素肠球菌及其生物膜的复杂性,强调了对“同一个健康”进行研究的必要性。
本文章由计算机程序翻译,如有差异,请以英文原文为准。

Comparative analysis of antibiotic resistance and biofilm formation in <i>Enterococcus</i> spp. across One Health domains.

Comparative analysis of antibiotic resistance and biofilm formation in <i>Enterococcus</i> spp. across One Health domains.

Comparative analysis of antibiotic resistance and biofilm formation in <i>Enterococcus</i> spp. across One Health domains.

Comparative analysis of antibiotic resistance and biofilm formation in Enterococcus spp. across One Health domains.

The rise of antibiotic-resistant bacteria is a critical issue across various ecological interfaces, highlighting the need for a One Health approach. Enterococcus spp., known for their ability to acquire and disseminate resistance, serve as an excellent model due to their presence in diverse hosts and environments. This study investigates antimicrobial resistance, biofilm formation capacity, and the efficacy of antibiotics on biofilm biomass reduction in isolates from multiple sources. A total of 197 Enterococcus isolates were used. Antimicrobial resistance was determined using the Kirby-Bauer disc diffusion method, and minimum inhibitory concentrations were tested against vancomycin, tetracycline, and ampicillin. Biofilm formation capacity was assessed, and 10 biofilm-formers were subjected to minimum biofilm inhibitory concentration (MBIC) tests to evaluate biofilm biomass reduction. The results showed high resistance rates to erythromycin (84.5%), ciprofloxacin (59.4%), and tetracycline (44.4%), with moderate resistance to ampicillin (36.2%), chloramphenicol (28%), and vancomycin (24.7%). Biofilm formation was observed in 65% of the isolates, with Enterococcus hirae producing the most biofilm biomass. Vancomycin and ampicillin were more effective in reducing biofilm biomass than tetracycline. Ampicillin-resistant isolates produced more biofilm, suggesting a link between resistance and biofilm formation. This study highlights the complexity of antibiotic-resistant Enterococcus spp. and their biofilms, emphasizing the need for research on One Health.

求助全文
通过发布文献求助,成功后即可免费获取论文全文。 去求助
来源期刊
CiteScore
3.30
自引率
0.00%
发文量
0
审稿时长
15 weeks
×
引用
GB/T 7714-2015
复制
MLA
复制
APA
复制
导出至
BibTeX EndNote RefMan NoteFirst NoteExpress
×
提示
您的信息不完整,为了账户安全,请先补充。
现在去补充
×
提示
您因"违规操作"
具体请查看互助需知
我知道了
×
提示
确定
请完成安全验证×
copy
已复制链接
快去分享给好友吧!
我知道了
右上角分享
点击右上角分享
0
联系我们:info@booksci.cn Book学术提供免费学术资源搜索服务,方便国内外学者检索中英文文献。致力于提供最便捷和优质的服务体验。 Copyright © 2023 布克学术 All rights reserved.
京ICP备2023020795号-1
ghs 京公网安备 11010802042870号
Book学术文献互助
Book学术文献互助群
群 号:604180095
Book学术官方微信