早期妊娠新诊断静脉血栓栓塞患者血浆TAT水平变化趋势及不良妊娠结局的回顾性队列分析

IF 2.2 4区 医学 Q2 HEMATOLOGY
Rong Zhang, Xiao Mei Wang, Chao Yun Jiang, Tian Hong Cai, Jian Feng He, Kai Chen, Dian Xi Chen, Teng Hui Zhan
{"title":"早期妊娠新诊断静脉血栓栓塞患者血浆TAT水平变化趋势及不良妊娠结局的回顾性队列分析","authors":"Rong Zhang, Xiao Mei Wang, Chao Yun Jiang, Tian Hong Cai, Jian Feng He, Kai Chen, Dian Xi Chen, Teng Hui Zhan","doi":"10.1186/s12959-025-00732-w","DOIUrl":null,"url":null,"abstract":"<p><strong>Objective: </strong>Venous thromboembolism (VTE) is a leading cause of maternal mortality, yet effective biomarkers for early prediction of adverse pregnancy outcomes remain limited. We aimed to investigate the association between changes in thrombin-antithrombin complex (TAT) levels and adverse pregnancy outcomes in early-pregnancy patients with VTE.</p><p><strong>Methods: </strong>In this retrospective cohort study, we enrolled 89 pregnant women diagnosed with VTE during early pregnancy (< 14 weeks) who received care at Fujian Maternity and Child Health Hospital between June 2021 and May 2024. Plasma TAT levels measured in early and mid-pregnancy were collected as exposure variables, while adverse pregnancy outcomes (including miscarriage, preterm birth, and fetal growth restriction) served as outcome variables. Multivariate regression analysis was performed to evaluate the association between TAT level changes and adverse pregnancy outcomes, adjusting for potential confounding factors including age, BMI, and obstetric history. Additionally, threshold effect analysis was conducted.</p><p><strong>Results: </strong>After adjusting for potential confounding factors including age, BMI, and underlying conditions, changes in TAT levels were significantly associated with a reduced risk of adverse pregnancy outcomes (adjusted OR = 0.62, 95% CI: 0.47-0.80). Threshold effect analysis identified a critical turning point of -2.87 in TAT level changes (TATp2-1), below which the risk of adverse outcomes increased significantly (adjusted OR = 0.37, 95% CI: 0.22-0.63).</p><p><strong>Conclusion: </strong>The association between TATp2-1 and adverse pregnancy outcomes in early pregnancy VTE patients was non-linear. A threshold effect was observed with an inflection point of -2.87. When the TATp2-1 were below - 2.87, there was a significantly increased risk of adverse pregnancy outcomes.</p>","PeriodicalId":22982,"journal":{"name":"Thrombosis Journal","volume":"23 1","pages":"48"},"PeriodicalIF":2.2000,"publicationDate":"2025-05-15","publicationTypes":"Journal Article","fieldsOfStudy":null,"isOpenAccess":false,"openAccessPdf":"https://www.ncbi.nlm.nih.gov/pmc/articles/PMC12080146/pdf/","citationCount":"0","resultStr":"{\"title\":\"A retrospective cohort analysis of plasma TAT level trends and adverse pregnancy outcomes in early pregnancy patients with newly diagnosed VTE.\",\"authors\":\"Rong Zhang, Xiao Mei Wang, Chao Yun Jiang, Tian Hong Cai, Jian Feng He, Kai Chen, Dian Xi Chen, Teng Hui Zhan\",\"doi\":\"10.1186/s12959-025-00732-w\",\"DOIUrl\":null,\"url\":null,\"abstract\":\"<p><strong>Objective: </strong>Venous thromboembolism (VTE) is a leading cause of maternal mortality, yet effective biomarkers for early prediction of adverse pregnancy outcomes remain limited. We aimed to investigate the association between changes in thrombin-antithrombin complex (TAT) levels and adverse pregnancy outcomes in early-pregnancy patients with VTE.</p><p><strong>Methods: </strong>In this retrospective cohort study, we enrolled 89 pregnant women diagnosed with VTE during early pregnancy (< 14 weeks) who received care at Fujian Maternity and Child Health Hospital between June 2021 and May 2024. Plasma TAT levels measured in early and mid-pregnancy were collected as exposure variables, while adverse pregnancy outcomes (including miscarriage, preterm birth, and fetal growth restriction) served as outcome variables. Multivariate regression analysis was performed to evaluate the association between TAT level changes and adverse pregnancy outcomes, adjusting for potential confounding factors including age, BMI, and obstetric history. Additionally, threshold effect analysis was conducted.</p><p><strong>Results: </strong>After adjusting for potential confounding factors including age, BMI, and underlying conditions, changes in TAT levels were significantly associated with a reduced risk of adverse pregnancy outcomes (adjusted OR = 0.62, 95% CI: 0.47-0.80). Threshold effect analysis identified a critical turning point of -2.87 in TAT level changes (TATp2-1), below which the risk of adverse outcomes increased significantly (adjusted OR = 0.37, 95% CI: 0.22-0.63).</p><p><strong>Conclusion: </strong>The association between TATp2-1 and adverse pregnancy outcomes in early pregnancy VTE patients was non-linear. A threshold effect was observed with an inflection point of -2.87. When the TATp2-1 were below - 2.87, there was a significantly increased risk of adverse pregnancy outcomes.</p>\",\"PeriodicalId\":22982,\"journal\":{\"name\":\"Thrombosis Journal\",\"volume\":\"23 1\",\"pages\":\"48\"},\"PeriodicalIF\":2.2000,\"publicationDate\":\"2025-05-15\",\"publicationTypes\":\"Journal Article\",\"fieldsOfStudy\":null,\"isOpenAccess\":false,\"openAccessPdf\":\"https://www.ncbi.nlm.nih.gov/pmc/articles/PMC12080146/pdf/\",\"citationCount\":\"0\",\"resultStr\":null,\"platform\":\"Semanticscholar\",\"paperid\":null,\"PeriodicalName\":\"Thrombosis Journal\",\"FirstCategoryId\":\"3\",\"ListUrlMain\":\"https://doi.org/10.1186/s12959-025-00732-w\",\"RegionNum\":4,\"RegionCategory\":\"医学\",\"ArticlePicture\":[],\"TitleCN\":null,\"AbstractTextCN\":null,\"PMCID\":null,\"EPubDate\":\"\",\"PubModel\":\"\",\"JCR\":\"Q2\",\"JCRName\":\"HEMATOLOGY\",\"Score\":null,\"Total\":0}","platform":"Semanticscholar","paperid":null,"PeriodicalName":"Thrombosis Journal","FirstCategoryId":"3","ListUrlMain":"https://doi.org/10.1186/s12959-025-00732-w","RegionNum":4,"RegionCategory":"医学","ArticlePicture":[],"TitleCN":null,"AbstractTextCN":null,"PMCID":null,"EPubDate":"","PubModel":"","JCR":"Q2","JCRName":"HEMATOLOGY","Score":null,"Total":0}
引用次数: 0

摘要

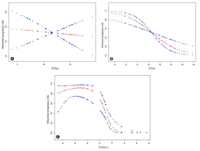
目的:静脉血栓栓塞(VTE)是孕产妇死亡的主要原因,但用于早期预测不良妊娠结局的有效生物标志物仍然有限。我们的目的是研究早孕VTE患者凝血酶-抗凝血酶复合物(TAT)水平变化与不良妊娠结局之间的关系。方法:在这项回顾性队列研究中,我们招募了89名在妊娠早期诊断为静脉血栓栓塞的孕妇(结果:在调整了包括年龄、BMI和潜在疾病在内的潜在混杂因素后,TAT水平的变化与不良妊娠结局风险的降低显著相关(调整OR = 0.62, 95% CI: 0.47-0.80)。阈值效应分析发现TAT水平变化的关键转折点为-2.87 (TATp2-1),低于该临界点不良结局的风险显著增加(调整后OR = 0.37, 95% CI: 0.22-0.63)。结论:TATp2-1与早孕静脉血栓栓塞患者不良妊娠结局呈非线性关系。在拐点为-2.87时观察到阈值效应。当TATp2-1低于- 2.87时,不良妊娠结局的风险显著增加。
本文章由计算机程序翻译,如有差异,请以英文原文为准。

A retrospective cohort analysis of plasma TAT level trends and adverse pregnancy outcomes in early pregnancy patients with newly diagnosed VTE.

A retrospective cohort analysis of plasma TAT level trends and adverse pregnancy outcomes in early pregnancy patients with newly diagnosed VTE.

A retrospective cohort analysis of plasma TAT level trends and adverse pregnancy outcomes in early pregnancy patients with newly diagnosed VTE.

Objective: Venous thromboembolism (VTE) is a leading cause of maternal mortality, yet effective biomarkers for early prediction of adverse pregnancy outcomes remain limited. We aimed to investigate the association between changes in thrombin-antithrombin complex (TAT) levels and adverse pregnancy outcomes in early-pregnancy patients with VTE.

Methods: In this retrospective cohort study, we enrolled 89 pregnant women diagnosed with VTE during early pregnancy (< 14 weeks) who received care at Fujian Maternity and Child Health Hospital between June 2021 and May 2024. Plasma TAT levels measured in early and mid-pregnancy were collected as exposure variables, while adverse pregnancy outcomes (including miscarriage, preterm birth, and fetal growth restriction) served as outcome variables. Multivariate regression analysis was performed to evaluate the association between TAT level changes and adverse pregnancy outcomes, adjusting for potential confounding factors including age, BMI, and obstetric history. Additionally, threshold effect analysis was conducted.

Results: After adjusting for potential confounding factors including age, BMI, and underlying conditions, changes in TAT levels were significantly associated with a reduced risk of adverse pregnancy outcomes (adjusted OR = 0.62, 95% CI: 0.47-0.80). Threshold effect analysis identified a critical turning point of -2.87 in TAT level changes (TATp2-1), below which the risk of adverse outcomes increased significantly (adjusted OR = 0.37, 95% CI: 0.22-0.63).

Conclusion: The association between TATp2-1 and adverse pregnancy outcomes in early pregnancy VTE patients was non-linear. A threshold effect was observed with an inflection point of -2.87. When the TATp2-1 were below - 2.87, there was a significantly increased risk of adverse pregnancy outcomes.

求助全文
通过发布文献求助,成功后即可免费获取论文全文。 去求助
来源期刊
Thrombosis Journal
Thrombosis Journal Medicine-Hematology
CiteScore
3.80
自引率
3.20%
发文量
69
审稿时长
16 weeks
期刊介绍: Thrombosis Journal is an open-access journal that publishes original articles on aspects of clinical and basic research, new methodology, case reports and reviews in the areas of thrombosis. Topics of particular interest include the diagnosis of arterial and venous thrombosis, new antithrombotic treatments, new developments in the understanding, diagnosis and treatments of atherosclerotic vessel disease, relations between haemostasis and vascular disease, hypertension, diabetes, immunology and obesity.
×
引用
GB/T 7714-2015
复制
MLA
复制
APA
复制
导出至
BibTeX EndNote RefMan NoteFirst NoteExpress
×
提示
您的信息不完整,为了账户安全,请先补充。
现在去补充
×
提示
您因"违规操作"
具体请查看互助需知
我知道了
×
提示
确定
请完成安全验证×
copy
已复制链接
快去分享给好友吧!
我知道了
右上角分享
点击右上角分享
0
联系我们:info@booksci.cn Book学术提供免费学术资源搜索服务,方便国内外学者检索中英文文献。致力于提供最便捷和优质的服务体验。 Copyright © 2023 布克学术 All rights reserved.
京ICP备2023020795号-1
ghs 京公网安备 11010802042870号
Book学术文献互助
Book学术文献互助群
群 号:604180095
Book学术官方微信