风湿性多肌痛影响量表的外部验证:一项前瞻性队列研究。

IF 2.1 Q3 RHEUMATOLOGY
Rheumatology Advances in Practice Pub Date : 2025-04-17 eCollection Date: 2025-01-01 DOI:10.1093/rap/rkaf046
Lien Moreel, Michaël Doumen, Albrecht Betrains, Ellen De Langhe, Daniel Blockmans, Steven Vanderschueren
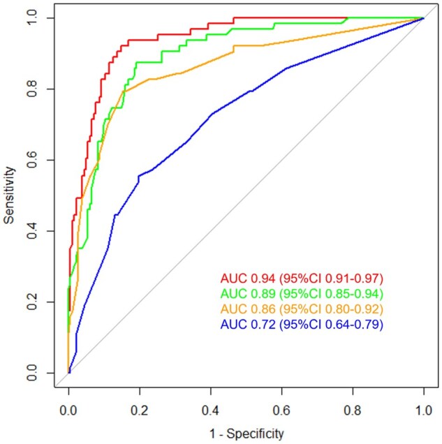
{"title":"风湿性多肌痛影响量表的外部验证:一项前瞻性队列研究。","authors":"Lien Moreel, Michaël Doumen, Albrecht Betrains, Ellen De Langhe, Daniel Blockmans, Steven Vanderschueren","doi":"10.1093/rap/rkaf046","DOIUrl":null,"url":null,"abstract":"<p><strong>Objectives: </strong>To externally validate the PMR impact scale (PMR-IS).</p><p><strong>Methods: </strong>We conducted a prospective cohort study at the University Hospitals Leuven, Leuven, Belgium. Recently diagnosed PMR patients were included between July 2022 and December 2023 and followed until 1 year after diagnosis. All patients completed the PMR-IS, HAQ Disability Index, 36-item Short Form and a visual analogue scale for pain at every visit. Internal consistency, floor and ceiling effects, construct validity, responsiveness and discriminatory power for detecting relapse on the PMR-IS were assessed.</p><p><strong>Results: </strong>Fifty-five PMR patients (mean age 71 years, 47% female) were included, who had a total of 246 visits. Internal consistency, construct validity and responsiveness met the quality criteria for the symptoms, function and emotional and psychological well-being subdomains. The internal consistency of the glucocorticoid side effects subdomain was insufficient and only one of the three hypotheses for construct validity were met. The function and emotional and psychological well-being subdomains showed a floor effect, while no ceiling effect was observed. The symptoms, function and emotional and psychological well-being subdomains had a good discriminatory power for detecting relapse [area under the curve (AUC) 0.89, 0.86 and 0.72, respectively], but the PMR activity score performed better (AUC 0.94, <i>P</i> < 0.05 for all subdomains).</p><p><strong>Conclusion: </strong>This study validates the good measurement properties of the symptoms, function and emotional and psychological well-being subdomains of the PMR-IS. In contrast, the glucocorticoid side effects subdomain did not show adequate internal consistency and construct validity, necessitating further validation and possibly refinement of its items prior to application in clinical trials or daily practice.</p>","PeriodicalId":21350,"journal":{"name":"Rheumatology Advances in Practice","volume":"9 2","pages":"rkaf046"},"PeriodicalIF":2.1000,"publicationDate":"2025-04-17","publicationTypes":"Journal Article","fieldsOfStudy":null,"isOpenAccess":false,"openAccessPdf":"https://www.ncbi.nlm.nih.gov/pmc/articles/PMC12080742/pdf/","citationCount":"0","resultStr":"{\"title\":\"External validation of the polymyalgia rheumatica impact scale: a prospective cohort study.\",\"authors\":\"Lien Moreel, Michaël Doumen, Albrecht Betrains, Ellen De Langhe, Daniel Blockmans, Steven Vanderschueren\",\"doi\":\"10.1093/rap/rkaf046\",\"DOIUrl\":null,\"url\":null,\"abstract\":\"<p><strong>Objectives: </strong>To externally validate the PMR impact scale (PMR-IS).</p><p><strong>Methods: </strong>We conducted a prospective cohort study at the University Hospitals Leuven, Leuven, Belgium. Recently diagnosed PMR patients were included between July 2022 and December 2023 and followed until 1 year after diagnosis. All patients completed the PMR-IS, HAQ Disability Index, 36-item Short Form and a visual analogue scale for pain at every visit. Internal consistency, floor and ceiling effects, construct validity, responsiveness and discriminatory power for detecting relapse on the PMR-IS were assessed.</p><p><strong>Results: </strong>Fifty-five PMR patients (mean age 71 years, 47% female) were included, who had a total of 246 visits. Internal consistency, construct validity and responsiveness met the quality criteria for the symptoms, function and emotional and psychological well-being subdomains. The internal consistency of the glucocorticoid side effects subdomain was insufficient and only one of the three hypotheses for construct validity were met. The function and emotional and psychological well-being subdomains showed a floor effect, while no ceiling effect was observed. The symptoms, function and emotional and psychological well-being subdomains had a good discriminatory power for detecting relapse [area under the curve (AUC) 0.89, 0.86 and 0.72, respectively], but the PMR activity score performed better (AUC 0.94, <i>P</i> < 0.05 for all subdomains).</p><p><strong>Conclusion: </strong>This study validates the good measurement properties of the symptoms, function and emotional and psychological well-being subdomains of the PMR-IS. In contrast, the glucocorticoid side effects subdomain did not show adequate internal consistency and construct validity, necessitating further validation and possibly refinement of its items prior to application in clinical trials or daily practice.</p>\",\"PeriodicalId\":21350,\"journal\":{\"name\":\"Rheumatology Advances in Practice\",\"volume\":\"9 2\",\"pages\":\"rkaf046\"},\"PeriodicalIF\":2.1000,\"publicationDate\":\"2025-04-17\",\"publicationTypes\":\"Journal Article\",\"fieldsOfStudy\":null,\"isOpenAccess\":false,\"openAccessPdf\":\"https://www.ncbi.nlm.nih.gov/pmc/articles/PMC12080742/pdf/\",\"citationCount\":\"0\",\"resultStr\":null,\"platform\":\"Semanticscholar\",\"paperid\":null,\"PeriodicalName\":\"Rheumatology Advances in Practice\",\"FirstCategoryId\":\"1085\",\"ListUrlMain\":\"https://doi.org/10.1093/rap/rkaf046\",\"RegionNum\":0,\"RegionCategory\":null,\"ArticlePicture\":[],\"TitleCN\":null,\"AbstractTextCN\":null,\"PMCID\":null,\"EPubDate\":\"2025/1/1 0:00:00\",\"PubModel\":\"eCollection\",\"JCR\":\"Q3\",\"JCRName\":\"RHEUMATOLOGY\",\"Score\":null,\"Total\":0}","platform":"Semanticscholar","paperid":null,"PeriodicalName":"Rheumatology Advances in Practice","FirstCategoryId":"1085","ListUrlMain":"https://doi.org/10.1093/rap/rkaf046","RegionNum":0,"RegionCategory":null,"ArticlePicture":[],"TitleCN":null,"AbstractTextCN":null,"PMCID":null,"EPubDate":"2025/1/1 0:00:00","PubModel":"eCollection","JCR":"Q3","JCRName":"RHEUMATOLOGY","Score":null,"Total":0}
引用次数: 0

摘要

目的:对PMR影响量表(PMR- is)进行外部验证。方法:我们在比利时鲁汶大学医院进行了一项前瞻性队列研究。在2022年7月至2023年12月期间纳入了最近诊断的PMR患者,并随访至诊断后1年。所有患者在每次就诊时完成PMR-IS、HAQ残疾指数、36项短表和视觉疼痛模拟量表。评估PMR-IS的内部一致性、下限和上限效应、结构效度、反应性和鉴别能力。结果:纳入55例PMR患者(平均年龄71岁,47%为女性),共就诊246次。内部一致性、结构效度和反应性符合症状、功能和情绪和心理健康子域的质量标准。糖皮质激素副作用子域的内部一致性不足,三个建构效度假设中只有一个符合。功能、情绪和心理健康子域存在下限效应,未见上限效应。症状、功能、情绪和心理健康子域对复发有较好的判别能力[曲线下面积(AUC)分别为0.89、0.86和0.72],但PMR活动评分表现更好(AUC为0.94,P)。结论:本研究验证了PMR- is的症状、功能、情绪和心理健康子域具有较好的测量特性。相比之下,糖皮质激素副作用子域没有显示出足够的内部一致性和结构效度,在临床试验或日常实践中应用之前,需要进一步验证和可能改进其项目。
本文章由计算机程序翻译,如有差异,请以英文原文为准。

External validation of the polymyalgia rheumatica impact scale: a prospective cohort study.

External validation of the polymyalgia rheumatica impact scale: a prospective cohort study.

Objectives: To externally validate the PMR impact scale (PMR-IS).

Methods: We conducted a prospective cohort study at the University Hospitals Leuven, Leuven, Belgium. Recently diagnosed PMR patients were included between July 2022 and December 2023 and followed until 1 year after diagnosis. All patients completed the PMR-IS, HAQ Disability Index, 36-item Short Form and a visual analogue scale for pain at every visit. Internal consistency, floor and ceiling effects, construct validity, responsiveness and discriminatory power for detecting relapse on the PMR-IS were assessed.

Results: Fifty-five PMR patients (mean age 71 years, 47% female) were included, who had a total of 246 visits. Internal consistency, construct validity and responsiveness met the quality criteria for the symptoms, function and emotional and psychological well-being subdomains. The internal consistency of the glucocorticoid side effects subdomain was insufficient and only one of the three hypotheses for construct validity were met. The function and emotional and psychological well-being subdomains showed a floor effect, while no ceiling effect was observed. The symptoms, function and emotional and psychological well-being subdomains had a good discriminatory power for detecting relapse [area under the curve (AUC) 0.89, 0.86 and 0.72, respectively], but the PMR activity score performed better (AUC 0.94, P < 0.05 for all subdomains).

Conclusion: This study validates the good measurement properties of the symptoms, function and emotional and psychological well-being subdomains of the PMR-IS. In contrast, the glucocorticoid side effects subdomain did not show adequate internal consistency and construct validity, necessitating further validation and possibly refinement of its items prior to application in clinical trials or daily practice.

求助全文
通过发布文献求助,成功后即可免费获取论文全文。 去求助
来源期刊
Rheumatology Advances in Practice
Rheumatology Advances in Practice Medicine-Rheumatology
CiteScore
3.60
自引率
3.20%
发文量
197
审稿时长
11 weeks
×
引用
GB/T 7714-2015
复制
MLA
复制
APA
复制
导出至
BibTeX EndNote RefMan NoteFirst NoteExpress
×
提示
您的信息不完整,为了账户安全,请先补充。
现在去补充
×
提示
您因"违规操作"
具体请查看互助需知
我知道了
×
提示
确定
请完成安全验证×
copy
已复制链接
快去分享给好友吧!
我知道了
右上角分享
点击右上角分享
0
联系我们:info@booksci.cn Book学术提供免费学术资源搜索服务,方便国内外学者检索中英文文献。致力于提供最便捷和优质的服务体验。 Copyright © 2023 布克学术 All rights reserved.
京ICP备2023020795号-1
ghs 京公网安备 11010802042870号
Book学术文献互助
Book学术文献互助群
群 号:604180095
Book学术官方微信