开发和验证不宁腿综合征日记评估严重程度和过程的症状-横断面研究。

IF 2 4区 医学 Q3 PSYCHIATRY
Chandni Sharma, Vijay Krishnan, Lokesh Kumar Saini, Niraj Kumar, Ravi Gupta
{"title":"开发和验证不宁腿综合征日记评估严重程度和过程的症状-横断面研究。","authors":"Chandni Sharma, Vijay Krishnan, Lokesh Kumar Saini, Niraj Kumar, Ravi Gupta","doi":"10.4103/indianjpsychiatry.indianjpsychiatry_927_24","DOIUrl":null,"url":null,"abstract":"<p><strong>Background: </strong>The clinical course and severity of restless legs syndrome (RLS) are variable. Existing questionnaires measure the severity of RLS based on recall. One possible solution could be the daily charting of symptoms in a diary.</p><p><strong>Aim: </strong>Development and validation of a diary for the longitudinal assessment of symptoms and the impact of RLS.</p><p><strong>Materials and methods: </strong>This study was conducted in two phases. In phase 1, an RLS diary was developed. During phase 2, it was given to patients presenting with RLS. They were explained how to fill in the information in the diary. It collected information related to symptoms as well as sleep. Adverse effects of the symptoms on mood and daytime function were also assessed. Three scores were calculated from the data-the burden of RLS, the burden of severe RLS symptoms, and the overall burden of RLS. The convergent validity of the diary was calculated by comparing it with the international RLS severity rating scale (IRLS).</p><p><strong>Results: </strong>During phase 1, RLS Diary attained a score of one during content validation by universal agreement. Of 34 participants, 63.6% were females with an average age of 46.6 ± 14 years. Cronbach's alpha of the diary was 0.92. RLS diary showed the temporal change in time of onset of RLS, change in severity, and topography. The composite score from the RLS diary for week four had weak to moderate positive correlations with IRLS (week four).</p><p><strong>Conclusions: </strong>RLS Diary is a valid and psychometrically optimal tool for detailed assessment of the severity of RLS symptoms and the burden of RLS. However, there was a poor to the moderate correlation with recall-based measures of the severity of RLS.</p>","PeriodicalId":13345,"journal":{"name":"Indian Journal of Psychiatry","volume":"67 4","pages":"399-411"},"PeriodicalIF":2.0000,"publicationDate":"2025-04-01","publicationTypes":"Journal Article","fieldsOfStudy":null,"isOpenAccess":false,"openAccessPdf":"https://www.ncbi.nlm.nih.gov/pmc/articles/PMC12073949/pdf/","citationCount":"0","resultStr":"{\"title\":\"Development and validation of Restless Legs Syndrome Diary for the assessment of severity and course of symptoms - A cross-sectional study.\",\"authors\":\"Chandni Sharma, Vijay Krishnan, Lokesh Kumar Saini, Niraj Kumar, Ravi Gupta\",\"doi\":\"10.4103/indianjpsychiatry.indianjpsychiatry_927_24\",\"DOIUrl\":null,\"url\":null,\"abstract\":\"<p><strong>Background: </strong>The clinical course and severity of restless legs syndrome (RLS) are variable. Existing questionnaires measure the severity of RLS based on recall. One possible solution could be the daily charting of symptoms in a diary.</p><p><strong>Aim: </strong>Development and validation of a diary for the longitudinal assessment of symptoms and the impact of RLS.</p><p><strong>Materials and methods: </strong>This study was conducted in two phases. In phase 1, an RLS diary was developed. During phase 2, it was given to patients presenting with RLS. They were explained how to fill in the information in the diary. It collected information related to symptoms as well as sleep. Adverse effects of the symptoms on mood and daytime function were also assessed. Three scores were calculated from the data-the burden of RLS, the burden of severe RLS symptoms, and the overall burden of RLS. The convergent validity of the diary was calculated by comparing it with the international RLS severity rating scale (IRLS).</p><p><strong>Results: </strong>During phase 1, RLS Diary attained a score of one during content validation by universal agreement. Of 34 participants, 63.6% were females with an average age of 46.6 ± 14 years. Cronbach's alpha of the diary was 0.92. RLS diary showed the temporal change in time of onset of RLS, change in severity, and topography. The composite score from the RLS diary for week four had weak to moderate positive correlations with IRLS (week four).</p><p><strong>Conclusions: </strong>RLS Diary is a valid and psychometrically optimal tool for detailed assessment of the severity of RLS symptoms and the burden of RLS. However, there was a poor to the moderate correlation with recall-based measures of the severity of RLS.</p>\",\"PeriodicalId\":13345,\"journal\":{\"name\":\"Indian Journal of Psychiatry\",\"volume\":\"67 4\",\"pages\":\"399-411\"},\"PeriodicalIF\":2.0000,\"publicationDate\":\"2025-04-01\",\"publicationTypes\":\"Journal Article\",\"fieldsOfStudy\":null,\"isOpenAccess\":false,\"openAccessPdf\":\"https://www.ncbi.nlm.nih.gov/pmc/articles/PMC12073949/pdf/\",\"citationCount\":\"0\",\"resultStr\":null,\"platform\":\"Semanticscholar\",\"paperid\":null,\"PeriodicalName\":\"Indian Journal of Psychiatry\",\"FirstCategoryId\":\"3\",\"ListUrlMain\":\"https://doi.org/10.4103/indianjpsychiatry.indianjpsychiatry_927_24\",\"RegionNum\":4,\"RegionCategory\":\"医学\",\"ArticlePicture\":[],\"TitleCN\":null,\"AbstractTextCN\":null,\"PMCID\":null,\"EPubDate\":\"2025/4/15 0:00:00\",\"PubModel\":\"Epub\",\"JCR\":\"Q3\",\"JCRName\":\"PSYCHIATRY\",\"Score\":null,\"Total\":0}","platform":"Semanticscholar","paperid":null,"PeriodicalName":"Indian Journal of Psychiatry","FirstCategoryId":"3","ListUrlMain":"https://doi.org/10.4103/indianjpsychiatry.indianjpsychiatry_927_24","RegionNum":4,"RegionCategory":"医学","ArticlePicture":[],"TitleCN":null,"AbstractTextCN":null,"PMCID":null,"EPubDate":"2025/4/15 0:00:00","PubModel":"Epub","JCR":"Q3","JCRName":"PSYCHIATRY","Score":null,"Total":0}
引用次数: 0

摘要

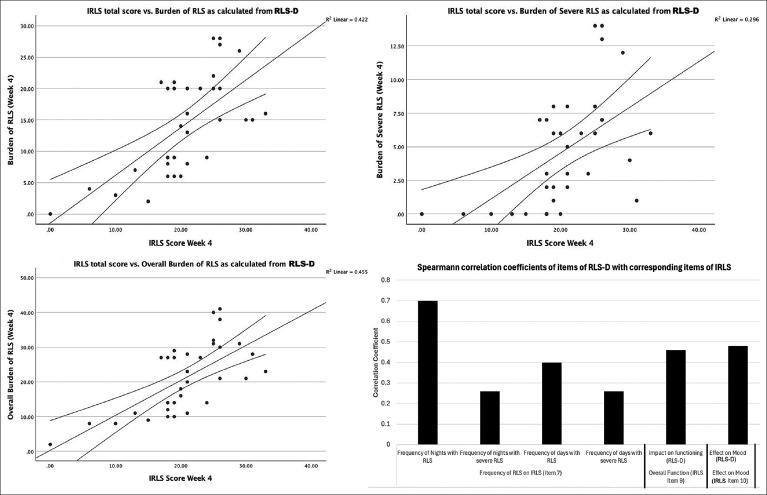
背景:不宁腿综合征(RLS)的临床病程和严重程度是多变的。现有的调查问卷基于回忆来衡量RLS的严重程度。一个可能的解决方案是每天在日记中记录症状。目的:开发和验证用于纵向评估RLS症状和影响的日记。材料与方法:本研究分两期进行。在第一阶段,开发了RLS日记。在第二阶段,它被用于出现RLS的患者。有人向他们解释如何在日记本上填写信息。它收集了与症状和睡眠有关的信息。还评估了症状对情绪和日间功能的不良影响。根据数据计算3个分数:RLS负担、严重RLS症状负担和RLS总体负担。通过与国际RLS严重程度评定量表(IRLS)比较,计算日记的收敛效度。结果:在第一阶段,RLS日记在内容验证中获得了普遍同意的1分。34名参与者中,女性占63.6%,平均年龄46.6±14岁。克朗巴赫日记的alpha值为0.92。RLS日记显示了RLS发病时间、严重程度和地形的变化。第4周RLS日记的综合评分与IRLS(第4周)呈弱至中度正相关。结论:RLS日记是详细评估RLS症状严重程度和RLS负担的有效和心理测量学上最佳的工具。然而,与基于回忆的RLS严重程度的测量有一个差到中等的相关性。
本文章由计算机程序翻译,如有差异,请以英文原文为准。

Development and validation of Restless Legs Syndrome Diary for the assessment of severity and course of symptoms - A cross-sectional study.

Development and validation of Restless Legs Syndrome Diary for the assessment of severity and course of symptoms - A cross-sectional study.

Development and validation of Restless Legs Syndrome Diary for the assessment of severity and course of symptoms - A cross-sectional study.

Development and validation of Restless Legs Syndrome Diary for the assessment of severity and course of symptoms - A cross-sectional study.

Background: The clinical course and severity of restless legs syndrome (RLS) are variable. Existing questionnaires measure the severity of RLS based on recall. One possible solution could be the daily charting of symptoms in a diary.

Aim: Development and validation of a diary for the longitudinal assessment of symptoms and the impact of RLS.

Materials and methods: This study was conducted in two phases. In phase 1, an RLS diary was developed. During phase 2, it was given to patients presenting with RLS. They were explained how to fill in the information in the diary. It collected information related to symptoms as well as sleep. Adverse effects of the symptoms on mood and daytime function were also assessed. Three scores were calculated from the data-the burden of RLS, the burden of severe RLS symptoms, and the overall burden of RLS. The convergent validity of the diary was calculated by comparing it with the international RLS severity rating scale (IRLS).

Results: During phase 1, RLS Diary attained a score of one during content validation by universal agreement. Of 34 participants, 63.6% were females with an average age of 46.6 ± 14 years. Cronbach's alpha of the diary was 0.92. RLS diary showed the temporal change in time of onset of RLS, change in severity, and topography. The composite score from the RLS diary for week four had weak to moderate positive correlations with IRLS (week four).

Conclusions: RLS Diary is a valid and psychometrically optimal tool for detailed assessment of the severity of RLS symptoms and the burden of RLS. However, there was a poor to the moderate correlation with recall-based measures of the severity of RLS.

求助全文
通过发布文献求助,成功后即可免费获取论文全文。 去求助
来源期刊
Indian Journal of Psychiatry
Indian Journal of Psychiatry Medicine-Psychiatry and Mental Health
CiteScore
4.40
自引率
3.20%
发文量
130
审稿时长
34 weeks
期刊介绍: The Indian Journal of Psychiatry (ISSN 0019-5545), is an official publication of the Indian Psychiatric Society. It is published Bimonthly with one additional supplement (total 5 issues). The IJP publishes original work in all the fields of psychiatry. All papers are peer-reviewed before publication. The issues are published Bimonthly. An additional supplement is also published annually. Articles can be submitted online from www.journalonweb.com . The journal provides immediate free access to all the published articles. The journal does not charge the authors for submission, processing or publication of the articles.
×
引用
GB/T 7714-2015
复制
MLA
复制
APA
复制
导出至
BibTeX EndNote RefMan NoteFirst NoteExpress
×
提示
您的信息不完整,为了账户安全,请先补充。
现在去补充
×
提示
您因"违规操作"
具体请查看互助需知
我知道了
×
提示
确定
请完成安全验证×
copy
已复制链接
快去分享给好友吧!
我知道了
右上角分享
点击右上角分享
0
联系我们:info@booksci.cn Book学术提供免费学术资源搜索服务,方便国内外学者检索中英文文献。致力于提供最便捷和优质的服务体验。 Copyright © 2023 布克学术 All rights reserved.
京ICP备2023020795号-1
ghs 京公网安备 11010802042870号
Book学术文献互助
Book学术文献互助群
群 号:604180095
Book学术官方微信