血管紧张素转换酶抑制剂诱导的肠血管性水肿:临床特征、诊断挑战和生存分析的恢复预测因素:对当前报告病例的系统回顾。

IF 2.2 Q3 GASTROENTEROLOGY & HEPATOLOGY
Annals of Gastroenterology Pub Date : 2025-05-01 Epub Date: 2025-04-28 DOI:10.20524/aog.2025.0967
Thanathip Suenghataiphorn, Narisara Tribuddharat, Pojsakorn Danpanichkul, Narathorn Kulthamrongsri, Piyawat Kantagowit
{"title":"血管紧张素转换酶抑制剂诱导的肠血管性水肿:临床特征、诊断挑战和生存分析的恢复预测因素:对当前报告病例的系统回顾。","authors":"Thanathip Suenghataiphorn, Narisara Tribuddharat, Pojsakorn Danpanichkul, Narathorn Kulthamrongsri, Piyawat Kantagowit","doi":"10.20524/aog.2025.0967","DOIUrl":null,"url":null,"abstract":"<p><strong>Background: </strong>Angiotensin-converting enzyme inhibitor-induced bowel angioedema (ACEi-IAE) is a rare and frequently under-recognized condition. Its nonspecific gastrointestinal symptoms could lead to missed diagnoses, unnecessary procedures and inappropriate treatments. Given the scarcity of studies, we conducted a systematic review to summarize the clinical characteristics of ACEi-IAE, the diagnostic approach and factors predicting delayed recovery.</p><p><strong>Methods: </strong>Electronic databases, including MEDLINE, OVID and EMBASE, were used to identified eligible studies from inception to November 2024. Eligible cases were required to have a clear diagnosis of ACEi-IAE. Kaplan-Meier and multivariate Cox regression analyses were used to identify factors associated with delayed recovery time.</p><p><strong>Results: </strong>Our systematic review included 81 eligible studies, comprising 117 ACEi-IAE cases with a mean age of 50 years, of which 83% were female. Patients were mainly African Americans (50%) taking lisinopril (71%). All patients (100%) presented with abdominal pain and other non-specific features. The median recovery time was 48 h after discontinuing ACEi. Patients who had been taking lisinopril for a longer than average period (25.9 months) had a statistically significantly lower hazard ratio for recovery (adjusted hazard ratio [aHR] 0.39, 95% confidence interval [CI] 0.19-0.81; P=0.012), as did patients who had radiographic evidence of jejunal edema (aHR 0.29, 95%CI 0.11-0.74; P=0.010). Diagnostic criteria were proposed and summarized based on the findings.</p><p><strong>Conclusions: </strong>Clinicians should be aware of ACEi-induced bowel angioedema, particularly in ACEi users with non-specific abdominal pain. Implementation of our proposed diagnostic criteria is recommended to prevent unnecessary investigation and inappropriate treatment.</p>","PeriodicalId":7978,"journal":{"name":"Annals of Gastroenterology","volume":"38 3","pages":"276-283"},"PeriodicalIF":2.2000,"publicationDate":"2025-05-01","publicationTypes":"Journal Article","fieldsOfStudy":null,"isOpenAccess":false,"openAccessPdf":"https://www.ncbi.nlm.nih.gov/pmc/articles/PMC12070344/pdf/","citationCount":"0","resultStr":"{\"title\":\"Angiotensin-converting enzyme inhibitor-induced bowel angioedema: clinical features, diagnostic challenges, and recovery predictors from survival analysis: a systematic review of current reported cases.\",\"authors\":\"Thanathip Suenghataiphorn, Narisara Tribuddharat, Pojsakorn Danpanichkul, Narathorn Kulthamrongsri, Piyawat Kantagowit\",\"doi\":\"10.20524/aog.2025.0967\",\"DOIUrl\":null,\"url\":null,\"abstract\":\"<p><strong>Background: </strong>Angiotensin-converting enzyme inhibitor-induced bowel angioedema (ACEi-IAE) is a rare and frequently under-recognized condition. Its nonspecific gastrointestinal symptoms could lead to missed diagnoses, unnecessary procedures and inappropriate treatments. Given the scarcity of studies, we conducted a systematic review to summarize the clinical characteristics of ACEi-IAE, the diagnostic approach and factors predicting delayed recovery.</p><p><strong>Methods: </strong>Electronic databases, including MEDLINE, OVID and EMBASE, were used to identified eligible studies from inception to November 2024. Eligible cases were required to have a clear diagnosis of ACEi-IAE. Kaplan-Meier and multivariate Cox regression analyses were used to identify factors associated with delayed recovery time.</p><p><strong>Results: </strong>Our systematic review included 81 eligible studies, comprising 117 ACEi-IAE cases with a mean age of 50 years, of which 83% were female. Patients were mainly African Americans (50%) taking lisinopril (71%). All patients (100%) presented with abdominal pain and other non-specific features. The median recovery time was 48 h after discontinuing ACEi. Patients who had been taking lisinopril for a longer than average period (25.9 months) had a statistically significantly lower hazard ratio for recovery (adjusted hazard ratio [aHR] 0.39, 95% confidence interval [CI] 0.19-0.81; P=0.012), as did patients who had radiographic evidence of jejunal edema (aHR 0.29, 95%CI 0.11-0.74; P=0.010). Diagnostic criteria were proposed and summarized based on the findings.</p><p><strong>Conclusions: </strong>Clinicians should be aware of ACEi-induced bowel angioedema, particularly in ACEi users with non-specific abdominal pain. Implementation of our proposed diagnostic criteria is recommended to prevent unnecessary investigation and inappropriate treatment.</p>\",\"PeriodicalId\":7978,\"journal\":{\"name\":\"Annals of Gastroenterology\",\"volume\":\"38 3\",\"pages\":\"276-283\"},\"PeriodicalIF\":2.2000,\"publicationDate\":\"2025-05-01\",\"publicationTypes\":\"Journal Article\",\"fieldsOfStudy\":null,\"isOpenAccess\":false,\"openAccessPdf\":\"https://www.ncbi.nlm.nih.gov/pmc/articles/PMC12070344/pdf/\",\"citationCount\":\"0\",\"resultStr\":null,\"platform\":\"Semanticscholar\",\"paperid\":null,\"PeriodicalName\":\"Annals of Gastroenterology\",\"FirstCategoryId\":\"1085\",\"ListUrlMain\":\"https://doi.org/10.20524/aog.2025.0967\",\"RegionNum\":0,\"RegionCategory\":null,\"ArticlePicture\":[],\"TitleCN\":null,\"AbstractTextCN\":null,\"PMCID\":null,\"EPubDate\":\"2025/4/28 0:00:00\",\"PubModel\":\"Epub\",\"JCR\":\"Q3\",\"JCRName\":\"GASTROENTEROLOGY & HEPATOLOGY\",\"Score\":null,\"Total\":0}","platform":"Semanticscholar","paperid":null,"PeriodicalName":"Annals of Gastroenterology","FirstCategoryId":"1085","ListUrlMain":"https://doi.org/10.20524/aog.2025.0967","RegionNum":0,"RegionCategory":null,"ArticlePicture":[],"TitleCN":null,"AbstractTextCN":null,"PMCID":null,"EPubDate":"2025/4/28 0:00:00","PubModel":"Epub","JCR":"Q3","JCRName":"GASTROENTEROLOGY & HEPATOLOGY","Score":null,"Total":0}
引用次数: 0

摘要

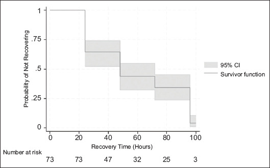
背景:血管紧张素转换酶抑制剂诱导的肠血管性水肿(ACEi-IAE)是一种罕见且经常被忽视的疾病。它的非特异性胃肠道症状可能导致漏诊、不必要的手术和不适当的治疗。鉴于研究较少,我们对ACEi-IAE的临床特点、诊断方法和延迟恢复的预测因素进行了系统综述。方法:使用MEDLINE、OVID和EMBASE等电子数据库,从研究开始到2024年11月,对符合条件的研究进行筛选。符合条件的病例需要有明确的ACEi-IAE诊断。Kaplan-Meier和多变量Cox回归分析用于确定与延迟恢复时间相关的因素。结果:我们的系统综述纳入81项符合条件的研究,包括117例ACEi-IAE病例,平均年龄50岁,其中83%为女性。患者主要是非裔美国人(50%),服用赖诺普利(71%)。所有患者(100%)均表现为腹痛和其他非特异性特征。停用ACEi后中位恢复时间为48小时。服用赖诺普利时间长于平均时间(25.9个月)的患者恢复的风险比具有统计学意义上显著降低(调整风险比[aHR] 0.39, 95%可信区间[CI] 0.19-0.81;P=0.012),有空肠水肿影像学证据的患者也是如此(aHR 0.29, 95%CI 0.11-0.74;P = 0.010)。根据这些发现,提出并总结了诊断标准。结论:临床医生应注意ACEi诱导的肠血管性水肿,特别是在非特异性腹痛的ACEi使用者中。实施我们建议的诊断标准,以防止不必要的调查和不适当的治疗。
本文章由计算机程序翻译,如有差异,请以英文原文为准。

Angiotensin-converting enzyme inhibitor-induced bowel angioedema: clinical features, diagnostic challenges, and recovery predictors from survival analysis: a systematic review of current reported cases.

Angiotensin-converting enzyme inhibitor-induced bowel angioedema: clinical features, diagnostic challenges, and recovery predictors from survival analysis: a systematic review of current reported cases.

Angiotensin-converting enzyme inhibitor-induced bowel angioedema: clinical features, diagnostic challenges, and recovery predictors from survival analysis: a systematic review of current reported cases.

Angiotensin-converting enzyme inhibitor-induced bowel angioedema: clinical features, diagnostic challenges, and recovery predictors from survival analysis: a systematic review of current reported cases.

Background: Angiotensin-converting enzyme inhibitor-induced bowel angioedema (ACEi-IAE) is a rare and frequently under-recognized condition. Its nonspecific gastrointestinal symptoms could lead to missed diagnoses, unnecessary procedures and inappropriate treatments. Given the scarcity of studies, we conducted a systematic review to summarize the clinical characteristics of ACEi-IAE, the diagnostic approach and factors predicting delayed recovery.

Methods: Electronic databases, including MEDLINE, OVID and EMBASE, were used to identified eligible studies from inception to November 2024. Eligible cases were required to have a clear diagnosis of ACEi-IAE. Kaplan-Meier and multivariate Cox regression analyses were used to identify factors associated with delayed recovery time.

Results: Our systematic review included 81 eligible studies, comprising 117 ACEi-IAE cases with a mean age of 50 years, of which 83% were female. Patients were mainly African Americans (50%) taking lisinopril (71%). All patients (100%) presented with abdominal pain and other non-specific features. The median recovery time was 48 h after discontinuing ACEi. Patients who had been taking lisinopril for a longer than average period (25.9 months) had a statistically significantly lower hazard ratio for recovery (adjusted hazard ratio [aHR] 0.39, 95% confidence interval [CI] 0.19-0.81; P=0.012), as did patients who had radiographic evidence of jejunal edema (aHR 0.29, 95%CI 0.11-0.74; P=0.010). Diagnostic criteria were proposed and summarized based on the findings.

Conclusions: Clinicians should be aware of ACEi-induced bowel angioedema, particularly in ACEi users with non-specific abdominal pain. Implementation of our proposed diagnostic criteria is recommended to prevent unnecessary investigation and inappropriate treatment.

求助全文
通过发布文献求助,成功后即可免费获取论文全文。 去求助
来源期刊
Annals of Gastroenterology
Annals of Gastroenterology GASTROENTEROLOGY & HEPATOLOGY-
CiteScore
4.30
自引率
0.00%
发文量
58
×
引用
GB/T 7714-2015
复制
MLA
复制
APA
复制
导出至
BibTeX EndNote RefMan NoteFirst NoteExpress
×
提示
您的信息不完整,为了账户安全,请先补充。
现在去补充
×
提示
您因"违规操作"
具体请查看互助需知
我知道了
×
提示
确定
请完成安全验证×
copy
已复制链接
快去分享给好友吧!
我知道了
右上角分享
点击右上角分享
0
联系我们:info@booksci.cn Book学术提供免费学术资源搜索服务,方便国内外学者检索中英文文献。致力于提供最便捷和优质的服务体验。 Copyright © 2023 布克学术 All rights reserved.
京ICP备2023020795号-1
ghs 京公网安备 11010802042870号
Book学术文献互助
Book学术文献互助群
群 号:604180095
Book学术官方微信