成人x连锁低磷血症患者对布罗单抗反应的预测因素:来自意大利队列的真实数据

IF 3.5 2区 医学 Q1 Medicine
Gaetano Paride Arcidiacono, Valentina Camozzi, Giovanni Tripepi, Cristina Eller-Vainicher, Giuseppe Vezzoli, Maria Luisa Brandi, Gemma Marcucci, Giuseppe Girasole, Antonio Aversa, Corrado Vitale, Gaetana Cerbone, Maria Michela D'Alessandro, Martina Zaninotto, Maria Fusaro, Marco Onofrio Torres, Michele Cannito, Alberta Cecchinato, Martin Diogo, Mor Peleg Falb, Francesca Guidolin, Marta Zampogna, Mario Plebani, Elena Campello, Paolo Simioni, Stefania Sella, Sandro Giannini
{"title":"成人x连锁低磷血症患者对布罗单抗反应的预测因素:来自意大利队列的真实数据","authors":"Gaetano Paride Arcidiacono, Valentina Camozzi, Giovanni Tripepi, Cristina Eller-Vainicher, Giuseppe Vezzoli, Maria Luisa Brandi, Gemma Marcucci, Giuseppe Girasole, Antonio Aversa, Corrado Vitale, Gaetana Cerbone, Maria Michela D'Alessandro, Martina Zaninotto, Maria Fusaro, Marco Onofrio Torres, Michele Cannito, Alberta Cecchinato, Martin Diogo, Mor Peleg Falb, Francesca Guidolin, Marta Zampogna, Mario Plebani, Elena Campello, Paolo Simioni, Stefania Sella, Sandro Giannini","doi":"10.1007/s40618-025-02596-3","DOIUrl":null,"url":null,"abstract":"<p><strong>Purpose: </strong>X-linked hypophosphatemia (XLH) is a genetic disorder characterized by elevated FGF23 levels, leading to phosphate wasting and hypophosphatemia, causing skeletal and extraskeletal abnormalities. Burosumab, an antibody targeting FGF23, improves hypophosphatemia and clinical outcomes. This study evaluated the real-world efficacy of burosumab and identify predictors of treatment response.</p><p><strong>Methods: </strong>Twenty-seven adult XLH patients (mean age 42 years; 48% female) from an Italian multicenter cohort were treated with burosumab for up to 24 weeks. Laboratory tests were evaluated at midpoints and endpoints (14 and 28 days) of the dosing interval. In a subset of patients (N = 11) followed for 48 weeks, laboratory tests and patient-reported outcomes were also assessed.</p><p><strong>Results: </strong>After initiating burosumab, median serum phosphate levels increased from 1.5 mg/dL (IQR 1.3-1.8) to 2.0 mg/dL (IQR 1.7-2.4) (p < 0.05), remaining higher than baseline at the midpoints of the dosing interval for up to 24 weeks. Higher baseline phosphate predicted higher midpoint levels (p < 0.05), whereas higher baseline PTH (p < 0.05) and FGF23 (p < 0.001) were associated with lower phosphate levels at midpoints. In patients (N = 11) followed for 48 weeks, significant improvements in patient-reported outcomes in all patients were observed. Both WOMAC Pain (r = 0.94, p = 0.02) and BPI Worst Pain (r = 0.98, p < 0.001) were positively correlated with increased phosphate at week 48.</p><p><strong>Conclusion: </strong>Burosumab effectively increased serum phosphate levels and improved clinical outcomes in a real-world setting, particularly in patients with more substantial increases in serum phosphate levels. Baseline serum phosphate, PTH, and FGF23 levels predicted response, helping tailor treatment strategies and improve long-term patient management.</p>","PeriodicalId":48802,"journal":{"name":"Journal of Endocrinological Investigation","volume":" ","pages":"1857-1869"},"PeriodicalIF":3.5000,"publicationDate":"2025-08-01","publicationTypes":"Journal Article","fieldsOfStudy":null,"isOpenAccess":false,"openAccessPdf":"https://www.ncbi.nlm.nih.gov/pmc/articles/PMC12313718/pdf/","citationCount":"0","resultStr":"{\"title\":\"Predictors of response to burosumab in adults with X-linked hypophosphatemia: real-world data from an Italian cohort.\",\"authors\":\"Gaetano Paride Arcidiacono, Valentina Camozzi, Giovanni Tripepi, Cristina Eller-Vainicher, Giuseppe Vezzoli, Maria Luisa Brandi, Gemma Marcucci, Giuseppe Girasole, Antonio Aversa, Corrado Vitale, Gaetana Cerbone, Maria Michela D'Alessandro, Martina Zaninotto, Maria Fusaro, Marco Onofrio Torres, Michele Cannito, Alberta Cecchinato, Martin Diogo, Mor Peleg Falb, Francesca Guidolin, Marta Zampogna, Mario Plebani, Elena Campello, Paolo Simioni, Stefania Sella, Sandro Giannini\",\"doi\":\"10.1007/s40618-025-02596-3\",\"DOIUrl\":null,\"url\":null,\"abstract\":\"<p><strong>Purpose: </strong>X-linked hypophosphatemia (XLH) is a genetic disorder characterized by elevated FGF23 levels, leading to phosphate wasting and hypophosphatemia, causing skeletal and extraskeletal abnormalities. Burosumab, an antibody targeting FGF23, improves hypophosphatemia and clinical outcomes. This study evaluated the real-world efficacy of burosumab and identify predictors of treatment response.</p><p><strong>Methods: </strong>Twenty-seven adult XLH patients (mean age 42 years; 48% female) from an Italian multicenter cohort were treated with burosumab for up to 24 weeks. Laboratory tests were evaluated at midpoints and endpoints (14 and 28 days) of the dosing interval. In a subset of patients (N = 11) followed for 48 weeks, laboratory tests and patient-reported outcomes were also assessed.</p><p><strong>Results: </strong>After initiating burosumab, median serum phosphate levels increased from 1.5 mg/dL (IQR 1.3-1.8) to 2.0 mg/dL (IQR 1.7-2.4) (p < 0.05), remaining higher than baseline at the midpoints of the dosing interval for up to 24 weeks. Higher baseline phosphate predicted higher midpoint levels (p < 0.05), whereas higher baseline PTH (p < 0.05) and FGF23 (p < 0.001) were associated with lower phosphate levels at midpoints. In patients (N = 11) followed for 48 weeks, significant improvements in patient-reported outcomes in all patients were observed. Both WOMAC Pain (r = 0.94, p = 0.02) and BPI Worst Pain (r = 0.98, p < 0.001) were positively correlated with increased phosphate at week 48.</p><p><strong>Conclusion: </strong>Burosumab effectively increased serum phosphate levels and improved clinical outcomes in a real-world setting, particularly in patients with more substantial increases in serum phosphate levels. Baseline serum phosphate, PTH, and FGF23 levels predicted response, helping tailor treatment strategies and improve long-term patient management.</p>\",\"PeriodicalId\":48802,\"journal\":{\"name\":\"Journal of Endocrinological Investigation\",\"volume\":\" \",\"pages\":\"1857-1869\"},\"PeriodicalIF\":3.5000,\"publicationDate\":\"2025-08-01\",\"publicationTypes\":\"Journal Article\",\"fieldsOfStudy\":null,\"isOpenAccess\":false,\"openAccessPdf\":\"https://www.ncbi.nlm.nih.gov/pmc/articles/PMC12313718/pdf/\",\"citationCount\":\"0\",\"resultStr\":null,\"platform\":\"Semanticscholar\",\"paperid\":null,\"PeriodicalName\":\"Journal of Endocrinological Investigation\",\"FirstCategoryId\":\"3\",\"ListUrlMain\":\"https://doi.org/10.1007/s40618-025-02596-3\",\"RegionNum\":2,\"RegionCategory\":\"医学\",\"ArticlePicture\":[],\"TitleCN\":null,\"AbstractTextCN\":null,\"PMCID\":null,\"EPubDate\":\"2025/5/5 0:00:00\",\"PubModel\":\"Epub\",\"JCR\":\"Q1\",\"JCRName\":\"Medicine\",\"Score\":null,\"Total\":0}","platform":"Semanticscholar","paperid":null,"PeriodicalName":"Journal of Endocrinological Investigation","FirstCategoryId":"3","ListUrlMain":"https://doi.org/10.1007/s40618-025-02596-3","RegionNum":2,"RegionCategory":"医学","ArticlePicture":[],"TitleCN":null,"AbstractTextCN":null,"PMCID":null,"EPubDate":"2025/5/5 0:00:00","PubModel":"Epub","JCR":"Q1","JCRName":"Medicine","Score":null,"Total":0}
引用次数: 0

摘要

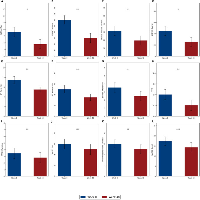
目的:x连锁低磷血症(XLH)是一种以FGF23水平升高为特征的遗传性疾病,导致磷酸盐浪费和低磷血症,导致骨骼和骨骼外异常。Burosumab是一种靶向FGF23的抗体,可改善低磷血症和临床结果。本研究评估了布罗单抗的实际疗效,并确定了治疗反应的预测因素。方法:27例成人XLH患者(平均年龄42岁;来自意大利多中心队列的患者(48%为女性)接受布罗单抗治疗长达24周。在给药间隔的中点和终点(14天和28天)评估实验室测试。在随访48周的患者亚组(N = 11)中,还评估了实验室检查和患者报告的结果。结果:在启动布罗单抗后,血清磷酸盐水平中位数从1.5 mg/dL (IQR 1.3-1.8)增加到2.0 mg/dL (IQR 1.7-2.4) (p结论:布罗单抗有效地提高了血清磷酸盐水平,改善了现实环境中的临床结果,特别是在血清磷酸盐水平显著升高的患者中。基线血清磷酸盐、甲状旁腺激素和FGF23水平可预测反应,有助于制定治疗策略并改善长期患者管理。
本文章由计算机程序翻译,如有差异,请以英文原文为准。

Predictors of response to burosumab in adults with X-linked hypophosphatemia: real-world data from an Italian cohort.

Predictors of response to burosumab in adults with X-linked hypophosphatemia: real-world data from an Italian cohort.

Predictors of response to burosumab in adults with X-linked hypophosphatemia: real-world data from an Italian cohort.

Predictors of response to burosumab in adults with X-linked hypophosphatemia: real-world data from an Italian cohort.

Purpose: X-linked hypophosphatemia (XLH) is a genetic disorder characterized by elevated FGF23 levels, leading to phosphate wasting and hypophosphatemia, causing skeletal and extraskeletal abnormalities. Burosumab, an antibody targeting FGF23, improves hypophosphatemia and clinical outcomes. This study evaluated the real-world efficacy of burosumab and identify predictors of treatment response.

Methods: Twenty-seven adult XLH patients (mean age 42 years; 48% female) from an Italian multicenter cohort were treated with burosumab for up to 24 weeks. Laboratory tests were evaluated at midpoints and endpoints (14 and 28 days) of the dosing interval. In a subset of patients (N = 11) followed for 48 weeks, laboratory tests and patient-reported outcomes were also assessed.

Results: After initiating burosumab, median serum phosphate levels increased from 1.5 mg/dL (IQR 1.3-1.8) to 2.0 mg/dL (IQR 1.7-2.4) (p < 0.05), remaining higher than baseline at the midpoints of the dosing interval for up to 24 weeks. Higher baseline phosphate predicted higher midpoint levels (p < 0.05), whereas higher baseline PTH (p < 0.05) and FGF23 (p < 0.001) were associated with lower phosphate levels at midpoints. In patients (N = 11) followed for 48 weeks, significant improvements in patient-reported outcomes in all patients were observed. Both WOMAC Pain (r = 0.94, p = 0.02) and BPI Worst Pain (r = 0.98, p < 0.001) were positively correlated with increased phosphate at week 48.

Conclusion: Burosumab effectively increased serum phosphate levels and improved clinical outcomes in a real-world setting, particularly in patients with more substantial increases in serum phosphate levels. Baseline serum phosphate, PTH, and FGF23 levels predicted response, helping tailor treatment strategies and improve long-term patient management.

求助全文
通过发布文献求助,成功后即可免费获取论文全文。 去求助
来源期刊
Journal of Endocrinological Investigation
Journal of Endocrinological Investigation ENDOCRINOLOGY & METABOLISM-
CiteScore
8.10
自引率
7.40%
发文量
242
期刊介绍: The Journal of Endocrinological Investigation is a well-established, e-only endocrine journal founded 36 years ago in 1978. It is the official journal of the Italian Society of Endocrinology (SIE), established in 1964. Other Italian societies in the endocrinology and metabolism field are affiliated to the journal: Italian Society of Andrology and Sexual Medicine, Italian Society of Obesity, Italian Society of Pediatric Endocrinology and Diabetology, Clinical Endocrinologists’ Association, Thyroid Association, Endocrine Surgical Units Association, Italian Society of Pharmacology.
×
引用
GB/T 7714-2015
复制
MLA
复制
APA
复制
导出至
BibTeX EndNote RefMan NoteFirst NoteExpress
×
提示
您的信息不完整,为了账户安全,请先补充。
现在去补充
×
提示
您因"违规操作"
具体请查看互助需知
我知道了
×
提示
确定
请完成安全验证×
copy
已复制链接
快去分享给好友吧!
我知道了
右上角分享
点击右上角分享
0
联系我们:info@booksci.cn Book学术提供免费学术资源搜索服务,方便国内外学者检索中英文文献。致力于提供最便捷和优质的服务体验。 Copyright © 2023 布克学术 All rights reserved.
京ICP备2023020795号-1
ghs 京公网安备 11010802042870号
Book学术文献互助
Book学术文献互助群
群 号:604180095
Book学术官方微信