声乐专业知识对歌曲和演讲中微节奏感知的影响。

IF 1.7 4区 心理学 Q3 PSYCHOLOGY
Justin London, Thea S. Paulsrud, Anne Danielsen
{"title":"声乐专业知识对歌曲和演讲中微节奏感知的影响。","authors":"Justin London,&nbsp;Thea S. Paulsrud,&nbsp;Anne Danielsen","doi":"10.3758/s13414-025-03057-y","DOIUrl":null,"url":null,"abstract":"<div><p>Musical expertise affects the perception of the temporal location of a musical sound, often to a significant degree. In a study involving jazz musicians, electronic dance music (EDM) music producers, and Norwegian folk musicians, Danielsen et al. <i>Attention, Perception &amp; Psychophysics</i>, <i>84</i>, 599–615, (2022) found significant between-group differences regarding the mean location as well as the variability around that mean for a set of control and genre-specific musical sounds. The present study extends these findings to singers who are experts in jazz versus classical music genres. In two experiments participants were presented with sung (Exp. 1) and sung and spoken (Exp. 2) syllables. In both the task was to synchronize either taps or a click track with a looped target sound. In both experiments, we found that classical participants tended to place the mean location later (relative to the acoustic onset) than jazz participants, and likewise had greater variability. Interestingly, and contra to our hypothesis, this between-group difference persisted even when the stimuli were spoken rather than sung. The current study gives further insights into how musical expertise impacts the low-level processing of musical sounds and provides a window into the interaction between top-down and bottom-up aspects of music and auditory perception more generally. In addition, it provides insight into how musicians approach musical and quasi-musical tasks, as well as the way they perceive the acoustic aspects of sound both as a musical object in its own right as well as a cue for perception-action coupling with their fellow musicians.</p></div>","PeriodicalId":55433,"journal":{"name":"Attention Perception & Psychophysics","volume":"87 5","pages":"1750 - 1770"},"PeriodicalIF":1.7000,"publicationDate":"2025-04-25","publicationTypes":"Journal Article","fieldsOfStudy":null,"isOpenAccess":false,"openAccessPdf":"https://www.ncbi.nlm.nih.gov/pmc/articles/PMC12204903/pdf/","citationCount":"0","resultStr":"{\"title\":\"The influence of vocal expertise on the perception of microrhythm in song and speech\",\"authors\":\"Justin London,&nbsp;Thea S. Paulsrud,&nbsp;Anne Danielsen\",\"doi\":\"10.3758/s13414-025-03057-y\",\"DOIUrl\":null,\"url\":null,\"abstract\":\"<div><p>Musical expertise affects the perception of the temporal location of a musical sound, often to a significant degree. In a study involving jazz musicians, electronic dance music (EDM) music producers, and Norwegian folk musicians, Danielsen et al. <i>Attention, Perception &amp; Psychophysics</i>, <i>84</i>, 599–615, (2022) found significant between-group differences regarding the mean location as well as the variability around that mean for a set of control and genre-specific musical sounds. The present study extends these findings to singers who are experts in jazz versus classical music genres. In two experiments participants were presented with sung (Exp. 1) and sung and spoken (Exp. 2) syllables. In both the task was to synchronize either taps or a click track with a looped target sound. In both experiments, we found that classical participants tended to place the mean location later (relative to the acoustic onset) than jazz participants, and likewise had greater variability. Interestingly, and contra to our hypothesis, this between-group difference persisted even when the stimuli were spoken rather than sung. The current study gives further insights into how musical expertise impacts the low-level processing of musical sounds and provides a window into the interaction between top-down and bottom-up aspects of music and auditory perception more generally. In addition, it provides insight into how musicians approach musical and quasi-musical tasks, as well as the way they perceive the acoustic aspects of sound both as a musical object in its own right as well as a cue for perception-action coupling with their fellow musicians.</p></div>\",\"PeriodicalId\":55433,\"journal\":{\"name\":\"Attention Perception & Psychophysics\",\"volume\":\"87 5\",\"pages\":\"1750 - 1770\"},\"PeriodicalIF\":1.7000,\"publicationDate\":\"2025-04-25\",\"publicationTypes\":\"Journal Article\",\"fieldsOfStudy\":null,\"isOpenAccess\":false,\"openAccessPdf\":\"https://www.ncbi.nlm.nih.gov/pmc/articles/PMC12204903/pdf/\",\"citationCount\":\"0\",\"resultStr\":null,\"platform\":\"Semanticscholar\",\"paperid\":null,\"PeriodicalName\":\"Attention Perception & Psychophysics\",\"FirstCategoryId\":\"102\",\"ListUrlMain\":\"https://link.springer.com/article/10.3758/s13414-025-03057-y\",\"RegionNum\":4,\"RegionCategory\":\"心理学\",\"ArticlePicture\":[],\"TitleCN\":null,\"AbstractTextCN\":null,\"PMCID\":null,\"EPubDate\":\"\",\"PubModel\":\"\",\"JCR\":\"Q3\",\"JCRName\":\"PSYCHOLOGY\",\"Score\":null,\"Total\":0}","platform":"Semanticscholar","paperid":null,"PeriodicalName":"Attention Perception & Psychophysics","FirstCategoryId":"102","ListUrlMain":"https://link.springer.com/article/10.3758/s13414-025-03057-y","RegionNum":4,"RegionCategory":"心理学","ArticlePicture":[],"TitleCN":null,"AbstractTextCN":null,"PMCID":null,"EPubDate":"","PubModel":"","JCR":"Q3","JCRName":"PSYCHOLOGY","Score":null,"Total":0}
引用次数: 0

摘要

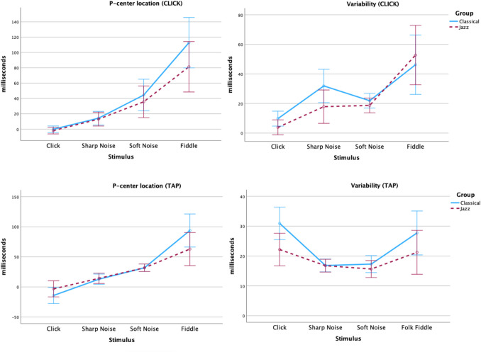
音乐专业知识影响对音乐声音的时间位置的感知,通常在很大程度上。在一项涉及爵士音乐家、电子舞曲(EDM)音乐制作人和挪威民间音乐家的研究中,Danielsen等人。Attention, Perception & psychphysics, 84, 599-615,(2022)发现对于一组控制和特定类型的音乐声音,组间在平均位置以及平均值周围的可变性方面存在显著差异。目前的研究将这些发现扩展到擅长爵士乐和古典音乐类型的歌手。在两个实验中,研究人员向参与者展示了唱出来的音节(实验1)和唱出来又说出来的音节(实验2)。两者的任务都是同步敲击或点击轨道与循环的目标声音。在这两个实验中,我们发现古典音乐参与者比爵士乐参与者更晚(相对于声学开始)地放置平均位置,并且同样具有更大的可变性。有趣的是,与我们的假设相反,即使刺激物是说出来的而不是唱出来的,这种组间差异仍然存在。目前的研究为音乐专业知识如何影响音乐声音的低级加工提供了进一步的见解,并为更广泛地了解音乐的自上而下和自下而上方面与听觉感知之间的相互作用提供了一个窗口。此外,它还提供了音乐家如何处理音乐和准音乐任务的见解,以及他们如何感知声音的声学方面,既作为音乐对象本身,也作为与其他音乐家进行感知-行动耦合的线索。
本文章由计算机程序翻译,如有差异,请以英文原文为准。

The influence of vocal expertise on the perception of microrhythm in song and speech

The influence of vocal expertise on the perception of microrhythm in song and speech

The influence of vocal expertise on the perception of microrhythm in song and speech

The influence of vocal expertise on the perception of microrhythm in song and speech

Musical expertise affects the perception of the temporal location of a musical sound, often to a significant degree. In a study involving jazz musicians, electronic dance music (EDM) music producers, and Norwegian folk musicians, Danielsen et al. Attention, Perception & Psychophysics, 84, 599–615, (2022) found significant between-group differences regarding the mean location as well as the variability around that mean for a set of control and genre-specific musical sounds. The present study extends these findings to singers who are experts in jazz versus classical music genres. In two experiments participants were presented with sung (Exp. 1) and sung and spoken (Exp. 2) syllables. In both the task was to synchronize either taps or a click track with a looped target sound. In both experiments, we found that classical participants tended to place the mean location later (relative to the acoustic onset) than jazz participants, and likewise had greater variability. Interestingly, and contra to our hypothesis, this between-group difference persisted even when the stimuli were spoken rather than sung. The current study gives further insights into how musical expertise impacts the low-level processing of musical sounds and provides a window into the interaction between top-down and bottom-up aspects of music and auditory perception more generally. In addition, it provides insight into how musicians approach musical and quasi-musical tasks, as well as the way they perceive the acoustic aspects of sound both as a musical object in its own right as well as a cue for perception-action coupling with their fellow musicians.

求助全文
通过发布文献求助,成功后即可免费获取论文全文。 去求助
来源期刊
CiteScore
3.60
自引率
17.60%
发文量
197
审稿时长
4-8 weeks
期刊介绍: The journal Attention, Perception, & Psychophysics is an official journal of the Psychonomic Society. It spans all areas of research in sensory processes, perception, attention, and psychophysics. Most articles published are reports of experimental work; the journal also presents theoretical, integrative, and evaluative reviews. Commentary on issues of importance to researchers appears in a special section of the journal. Founded in 1966 as Perception & Psychophysics, the journal assumed its present name in 2009.
×
引用
GB/T 7714-2015
复制
MLA
复制
APA
复制
导出至
BibTeX EndNote RefMan NoteFirst NoteExpress
×
提示
您的信息不完整,为了账户安全,请先补充。
现在去补充
×
提示
您因"违规操作"
具体请查看互助需知
我知道了
×
提示
确定
请完成安全验证×
copy
已复制链接
快去分享给好友吧!
我知道了
右上角分享
点击右上角分享
0
联系我们:info@booksci.cn Book学术提供免费学术资源搜索服务,方便国内外学者检索中英文文献。致力于提供最便捷和优质的服务体验。 Copyright © 2023 布克学术 All rights reserved.
京ICP备2023020795号-1
ghs 京公网安备 11010802042870号
Book学术文献互助
Book学术文献互助群
群 号:604180095
Book学术官方微信