失代偿期肝硬化患者门静脉血栓形成的Nomogram识别模型。

IF 1.8 4区 医学 Q3 GASTROENTEROLOGY & HEPATOLOGY
Wenting Lu, Yang Cheng, Rui Fang, Chuanfu Ding, Qin Yin, Ming Zhang, Jiangqiang Xiao, Bing Xu, Taishun Li, Lei Wang, Feng Zhang, Yuzheng Zhuge
{"title":"失代偿期肝硬化患者门静脉血栓形成的Nomogram识别模型。","authors":"Wenting Lu, Yang Cheng, Rui Fang, Chuanfu Ding, Qin Yin, Ming Zhang, Jiangqiang Xiao, Bing Xu, Taishun Li, Lei Wang, Feng Zhang, Yuzheng Zhuge","doi":"10.1097/MEG.0000000000002968","DOIUrl":null,"url":null,"abstract":"<p><strong>Background and aims: </strong>Von Willebrand factor (vWF) plays a key role in hemostasis and is reported to be related to the outcome of advanced chronic liver disease. The present study aimed to investigate the relationship between vWF and other potential variables and portal vein thrombosis (PVT) in patients with decompensated cirrhosis.</p><p><strong>Methods: </strong>Consecutive cirrhotic patients with gastroesophageal varices were admitted to our hospital between January 2020 and September 2022. Patients were prospectively recruited and divided into PVT and non-PVT groups. We collected clinical tests, biochemical tests, coagulation tests, and hemostatic protein profile data to explore the associated factors of PVT.</p><p><strong>Results: </strong>A total of 128 patients were enrolled including 60 patients with PVT and 68 patients without PVT. Plasma levels of vWF [odds ratio (OR) = 1.015, 95% confidence interval (CI): 1.005-1.025, P  = 0.005], D-dimer (OR = 1.967, 95% CI: 1.141-3.389, P  = 0.015), and decreased portal vein velocity (PVV) (OR = 0.852, 95% CI: 0.769-0.944, P  = 0.002) were the variables independently associated with the existence of PVT. Area under the curve (AUC) analyses for vWF, D-dimer, and PVV were 0.779, 0.848, and 0.832, respectively. A nomogram model was established involving the three parameters, and the AUC was 0.919 (95% CI: 0.869-0.969). In the internal validation using bootstrap, the AUC was 0.919 (95% CI: 0.868-0.970).</p><p><strong>Conclusion: </strong>Higher vWF levels were related to PVT in patients with decompensated cirrhosis, indicating that vWF might serve as a relevant factor for PVT, and a nomogram containing vWF, D-dimer, and PVV could be an important tool for PVT identification in cirrhotic patients.</p>","PeriodicalId":11999,"journal":{"name":"European Journal of Gastroenterology & Hepatology","volume":" ","pages":"935-942"},"PeriodicalIF":1.8000,"publicationDate":"2025-08-01","publicationTypes":"Journal Article","fieldsOfStudy":null,"isOpenAccess":false,"openAccessPdf":"https://www.ncbi.nlm.nih.gov/pmc/articles/PMC12188812/pdf/","citationCount":"0","resultStr":"{\"title\":\"Nomogram model for identifying portal vein thrombosis in patients with decompensated cirrhosis.\",\"authors\":\"Wenting Lu, Yang Cheng, Rui Fang, Chuanfu Ding, Qin Yin, Ming Zhang, Jiangqiang Xiao, Bing Xu, Taishun Li, Lei Wang, Feng Zhang, Yuzheng Zhuge\",\"doi\":\"10.1097/MEG.0000000000002968\",\"DOIUrl\":null,\"url\":null,\"abstract\":\"<p><strong>Background and aims: </strong>Von Willebrand factor (vWF) plays a key role in hemostasis and is reported to be related to the outcome of advanced chronic liver disease. The present study aimed to investigate the relationship between vWF and other potential variables and portal vein thrombosis (PVT) in patients with decompensated cirrhosis.</p><p><strong>Methods: </strong>Consecutive cirrhotic patients with gastroesophageal varices were admitted to our hospital between January 2020 and September 2022. Patients were prospectively recruited and divided into PVT and non-PVT groups. We collected clinical tests, biochemical tests, coagulation tests, and hemostatic protein profile data to explore the associated factors of PVT.</p><p><strong>Results: </strong>A total of 128 patients were enrolled including 60 patients with PVT and 68 patients without PVT. Plasma levels of vWF [odds ratio (OR) = 1.015, 95% confidence interval (CI): 1.005-1.025, P  = 0.005], D-dimer (OR = 1.967, 95% CI: 1.141-3.389, P  = 0.015), and decreased portal vein velocity (PVV) (OR = 0.852, 95% CI: 0.769-0.944, P  = 0.002) were the variables independently associated with the existence of PVT. Area under the curve (AUC) analyses for vWF, D-dimer, and PVV were 0.779, 0.848, and 0.832, respectively. A nomogram model was established involving the three parameters, and the AUC was 0.919 (95% CI: 0.869-0.969). In the internal validation using bootstrap, the AUC was 0.919 (95% CI: 0.868-0.970).</p><p><strong>Conclusion: </strong>Higher vWF levels were related to PVT in patients with decompensated cirrhosis, indicating that vWF might serve as a relevant factor for PVT, and a nomogram containing vWF, D-dimer, and PVV could be an important tool for PVT identification in cirrhotic patients.</p>\",\"PeriodicalId\":11999,\"journal\":{\"name\":\"European Journal of Gastroenterology & Hepatology\",\"volume\":\" \",\"pages\":\"935-942\"},\"PeriodicalIF\":1.8000,\"publicationDate\":\"2025-08-01\",\"publicationTypes\":\"Journal Article\",\"fieldsOfStudy\":null,\"isOpenAccess\":false,\"openAccessPdf\":\"https://www.ncbi.nlm.nih.gov/pmc/articles/PMC12188812/pdf/\",\"citationCount\":\"0\",\"resultStr\":null,\"platform\":\"Semanticscholar\",\"paperid\":null,\"PeriodicalName\":\"European Journal of Gastroenterology & Hepatology\",\"FirstCategoryId\":\"3\",\"ListUrlMain\":\"https://doi.org/10.1097/MEG.0000000000002968\",\"RegionNum\":4,\"RegionCategory\":\"医学\",\"ArticlePicture\":[],\"TitleCN\":null,\"AbstractTextCN\":null,\"PMCID\":null,\"EPubDate\":\"2025/3/26 0:00:00\",\"PubModel\":\"Epub\",\"JCR\":\"Q3\",\"JCRName\":\"GASTROENTEROLOGY & HEPATOLOGY\",\"Score\":null,\"Total\":0}","platform":"Semanticscholar","paperid":null,"PeriodicalName":"European Journal of Gastroenterology & Hepatology","FirstCategoryId":"3","ListUrlMain":"https://doi.org/10.1097/MEG.0000000000002968","RegionNum":4,"RegionCategory":"医学","ArticlePicture":[],"TitleCN":null,"AbstractTextCN":null,"PMCID":null,"EPubDate":"2025/3/26 0:00:00","PubModel":"Epub","JCR":"Q3","JCRName":"GASTROENTEROLOGY & HEPATOLOGY","Score":null,"Total":0}
引用次数: 0

摘要

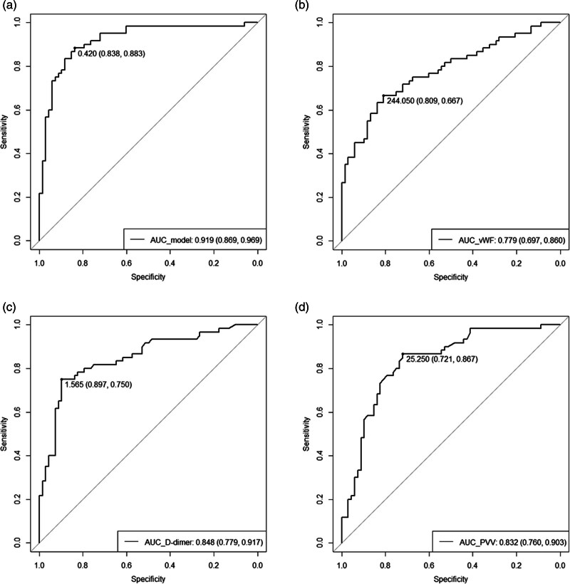
背景与目的:血管性血友病因子(vWF)在止血中起关键作用,据报道与晚期慢性肝病的预后有关。本研究旨在探讨vWF等潜在变量与失代偿期肝硬化患者门静脉血栓形成(PVT)的关系。方法:选取2020年1月至2022年9月期间我院收治的连续肝硬化胃食管静脉曲张患者。前瞻性招募患者并将其分为PVT组和非PVT组。我们收集临床试验、生化试验、凝血试验和止血蛋白谱资料,探讨PVT的相关因素。结果:共纳入128例患者,其中有PVT的患者60例,无PVT的患者68例。血浆vWF水平[比值比(OR) = 1.015, 95%可信区间(CI): 1.005 ~ 1.025, P = 0.005]、d -二聚体(OR = 1.967, 95% CI: 1.141 ~ 3.389, P = 0.015]、门静脉流速降低(OR = 0.852, 95% CI:0.769 ~ 0.944, P = 0.002)是与PVV存在独立相关的变量,vWF、d -二聚体和PVV的曲线下面积(AUC)分析分别为0.779、0.848和0.832。建立3个参数的nomogram模型,AUC为0.919 (95% CI: 0.869 ~ 0.969)。在使用bootstrap的内部验证中,AUC为0.919 (95% CI: 0.868-0.970)。结论:失代偿期肝硬化患者vWF水平升高与PVT相关,提示vWF可能是PVT的相关因素,含有vWF、d -二聚体和PVV的nomogram可作为肝硬化患者PVT鉴别的重要工具。
本文章由计算机程序翻译,如有差异,请以英文原文为准。

Nomogram model for identifying portal vein thrombosis in patients with decompensated cirrhosis.

Nomogram model for identifying portal vein thrombosis in patients with decompensated cirrhosis.

Nomogram model for identifying portal vein thrombosis in patients with decompensated cirrhosis.

Nomogram model for identifying portal vein thrombosis in patients with decompensated cirrhosis.

Background and aims: Von Willebrand factor (vWF) plays a key role in hemostasis and is reported to be related to the outcome of advanced chronic liver disease. The present study aimed to investigate the relationship between vWF and other potential variables and portal vein thrombosis (PVT) in patients with decompensated cirrhosis.

Methods: Consecutive cirrhotic patients with gastroesophageal varices were admitted to our hospital between January 2020 and September 2022. Patients were prospectively recruited and divided into PVT and non-PVT groups. We collected clinical tests, biochemical tests, coagulation tests, and hemostatic protein profile data to explore the associated factors of PVT.

Results: A total of 128 patients were enrolled including 60 patients with PVT and 68 patients without PVT. Plasma levels of vWF [odds ratio (OR) = 1.015, 95% confidence interval (CI): 1.005-1.025, P  = 0.005], D-dimer (OR = 1.967, 95% CI: 1.141-3.389, P  = 0.015), and decreased portal vein velocity (PVV) (OR = 0.852, 95% CI: 0.769-0.944, P  = 0.002) were the variables independently associated with the existence of PVT. Area under the curve (AUC) analyses for vWF, D-dimer, and PVV were 0.779, 0.848, and 0.832, respectively. A nomogram model was established involving the three parameters, and the AUC was 0.919 (95% CI: 0.869-0.969). In the internal validation using bootstrap, the AUC was 0.919 (95% CI: 0.868-0.970).

Conclusion: Higher vWF levels were related to PVT in patients with decompensated cirrhosis, indicating that vWF might serve as a relevant factor for PVT, and a nomogram containing vWF, D-dimer, and PVV could be an important tool for PVT identification in cirrhotic patients.

求助全文
通过发布文献求助,成功后即可免费获取论文全文。 去求助
来源期刊
CiteScore
4.40
自引率
4.80%
发文量
269
审稿时长
1 months
期刊介绍: European Journal of Gastroenterology & Hepatology publishes papers reporting original clinical and scientific research which are of a high standard and which contribute to the advancement of knowledge in the field of gastroenterology and hepatology. The journal publishes three types of manuscript: in-depth reviews (by invitation only), full papers and case reports. Manuscripts submitted to the journal will be accepted on the understanding that the author has not previously submitted the paper to another journal or had the material published elsewhere. Authors are asked to disclose any affiliations, including financial, consultant, or institutional associations, that might lead to bias or a conflict of interest.
×
引用
GB/T 7714-2015
复制
MLA
复制
APA
复制
导出至
BibTeX EndNote RefMan NoteFirst NoteExpress
×
提示
您的信息不完整,为了账户安全,请先补充。
现在去补充
×
提示
您因"违规操作"
具体请查看互助需知
我知道了
×
提示
确定
请完成安全验证×
copy
已复制链接
快去分享给好友吧!
我知道了
右上角分享
点击右上角分享
0
联系我们:info@booksci.cn Book学术提供免费学术资源搜索服务,方便国内外学者检索中英文文献。致力于提供最便捷和优质的服务体验。 Copyright © 2023 布克学术 All rights reserved.
京ICP备2023020795号-1
ghs 京公网安备 11010802042870号
Book学术文献互助
Book学术文献互助群
群 号:604180095
Book学术官方微信