在药学博士课程中抗血栓药物使用个案研究课程中翻转课堂教学方法的评价:法国单中心随机研究。

IF 3.2 Q1 EDUCATION, SCIENTIFIC DISCIPLINES
Georges Jourdi, Mayssa Selmi, Pascale Gaussem, Jennifer Truchot, Isabelle Margaill, Virginie Siguret
{"title":"在药学博士课程中抗血栓药物使用个案研究课程中翻转课堂教学方法的评价:法国单中心随机研究。","authors":"Georges Jourdi, Mayssa Selmi, Pascale Gaussem, Jennifer Truchot, Isabelle Margaill, Virginie Siguret","doi":"10.2196/67419","DOIUrl":null,"url":null,"abstract":"<p><strong>Background: </strong>Appropriate antithrombotic drug use is crucial knowledge for pharmacy students.</p><p><strong>Objective: </strong>We sought to compare the inverted classroom (IC) approach to a traditional question-and-answer educational approach with the aim of enhancing pharmacy students' engagement with a case-study course on antithrombotic drug use.</p><p><strong>Methods: </strong>Third-year PharmD (Doctor of Pharmacy) students from Paris Cité University were randomly assigned to control (n=171) and IC (n=175) groups. The latter were instructed to read and prepare the preprovided course material 1 week before the in-class session to assume the instructor role on the target day, whereas students of the control group attended a traditional case-study course carried out by the same instructor. All students completed pre- and posttest multiple-choice questions surveys assessing their knowledge levels as well as stress, empathy, and satisfaction questionnaires.</p><p><strong>Results: </strong>A significantly higher participation rate was observed in the control group (93/171, 54%) compared to the IC group (65/175, 37%; P=.002). Women (110/213, 52%) participated more than men (48/133, 36%; P=.002) whatever the group was. Students' knowledge scores from both groups had similar results with no difference neither in the prescore (1.17, SD 0.66 and 1.24, SD 0.72 of 5, respectively) nor in the short-term knowledge retention (2.45, SD 0.61 and 2.35, SD 0.73, respectively). The IC approach did not increase student stress or enhance their empathy for the instructor. It increased the preclass workload (P=.02) and was not well received among students.</p><p><strong>Conclusions: </strong>This study showed that the traditional educational approach remains an efficient method for case-study courses in the early stages (ie, third-year) of the 6-year PharmD curriculum, yet dynamic methods improving the active role of students in the learning process are still needed.</p>","PeriodicalId":36236,"journal":{"name":"JMIR Medical Education","volume":"11 ","pages":"e67419"},"PeriodicalIF":3.2000,"publicationDate":"2025-04-10","publicationTypes":"Journal Article","fieldsOfStudy":null,"isOpenAccess":false,"openAccessPdf":"https://www.ncbi.nlm.nih.gov/pmc/articles/PMC12039941/pdf/","citationCount":"0","resultStr":"{\"title\":\"Evaluation of the Inverted Classroom Approach in a Case-Study Course on Antithrombotic Drug Use in a PharmD Curriculum: French Monocentric Randomized Study.\",\"authors\":\"Georges Jourdi, Mayssa Selmi, Pascale Gaussem, Jennifer Truchot, Isabelle Margaill, Virginie Siguret\",\"doi\":\"10.2196/67419\",\"DOIUrl\":null,\"url\":null,\"abstract\":\"<p><strong>Background: </strong>Appropriate antithrombotic drug use is crucial knowledge for pharmacy students.</p><p><strong>Objective: </strong>We sought to compare the inverted classroom (IC) approach to a traditional question-and-answer educational approach with the aim of enhancing pharmacy students' engagement with a case-study course on antithrombotic drug use.</p><p><strong>Methods: </strong>Third-year PharmD (Doctor of Pharmacy) students from Paris Cité University were randomly assigned to control (n=171) and IC (n=175) groups. The latter were instructed to read and prepare the preprovided course material 1 week before the in-class session to assume the instructor role on the target day, whereas students of the control group attended a traditional case-study course carried out by the same instructor. All students completed pre- and posttest multiple-choice questions surveys assessing their knowledge levels as well as stress, empathy, and satisfaction questionnaires.</p><p><strong>Results: </strong>A significantly higher participation rate was observed in the control group (93/171, 54%) compared to the IC group (65/175, 37%; P=.002). Women (110/213, 52%) participated more than men (48/133, 36%; P=.002) whatever the group was. Students' knowledge scores from both groups had similar results with no difference neither in the prescore (1.17, SD 0.66 and 1.24, SD 0.72 of 5, respectively) nor in the short-term knowledge retention (2.45, SD 0.61 and 2.35, SD 0.73, respectively). The IC approach did not increase student stress or enhance their empathy for the instructor. It increased the preclass workload (P=.02) and was not well received among students.</p><p><strong>Conclusions: </strong>This study showed that the traditional educational approach remains an efficient method for case-study courses in the early stages (ie, third-year) of the 6-year PharmD curriculum, yet dynamic methods improving the active role of students in the learning process are still needed.</p>\",\"PeriodicalId\":36236,\"journal\":{\"name\":\"JMIR Medical Education\",\"volume\":\"11 \",\"pages\":\"e67419\"},\"PeriodicalIF\":3.2000,\"publicationDate\":\"2025-04-10\",\"publicationTypes\":\"Journal Article\",\"fieldsOfStudy\":null,\"isOpenAccess\":false,\"openAccessPdf\":\"https://www.ncbi.nlm.nih.gov/pmc/articles/PMC12039941/pdf/\",\"citationCount\":\"0\",\"resultStr\":null,\"platform\":\"Semanticscholar\",\"paperid\":null,\"PeriodicalName\":\"JMIR Medical Education\",\"FirstCategoryId\":\"1085\",\"ListUrlMain\":\"https://doi.org/10.2196/67419\",\"RegionNum\":0,\"RegionCategory\":null,\"ArticlePicture\":[],\"TitleCN\":null,\"AbstractTextCN\":null,\"PMCID\":null,\"EPubDate\":\"\",\"PubModel\":\"\",\"JCR\":\"Q1\",\"JCRName\":\"EDUCATION, SCIENTIFIC DISCIPLINES\",\"Score\":null,\"Total\":0}","platform":"Semanticscholar","paperid":null,"PeriodicalName":"JMIR Medical Education","FirstCategoryId":"1085","ListUrlMain":"https://doi.org/10.2196/67419","RegionNum":0,"RegionCategory":null,"ArticlePicture":[],"TitleCN":null,"AbstractTextCN":null,"PMCID":null,"EPubDate":"","PubModel":"","JCR":"Q1","JCRName":"EDUCATION, SCIENTIFIC DISCIPLINES","Score":null,"Total":0}
引用次数: 0

摘要

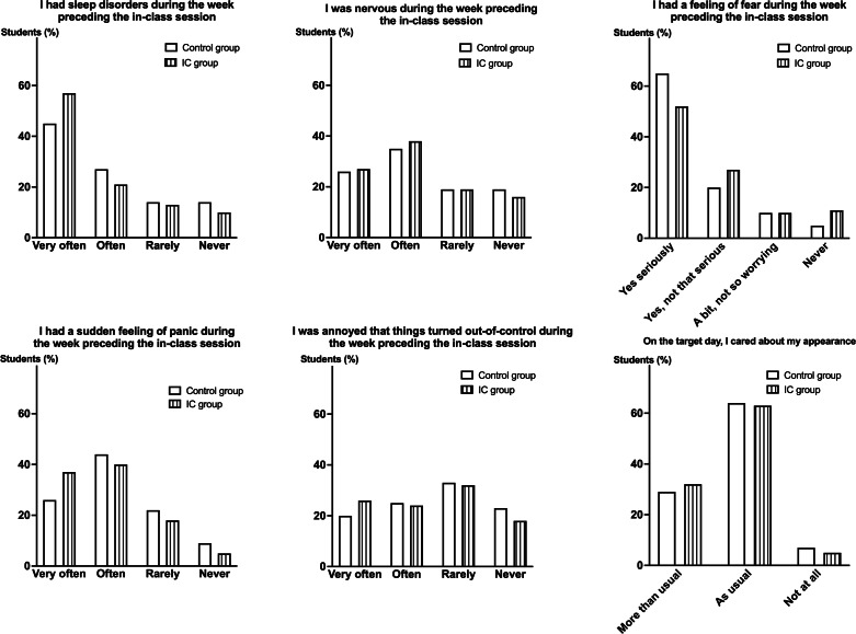
背景:正确使用抗血栓药物是药学专业学生的重要知识。目的:我们试图比较倒置课堂(IC)方法与传统的问答教育方法,目的是提高药学学生对抗血栓药物使用案例研究课程的参与度。方法:将巴黎城市大学药学博士三年级学生随机分为对照组(n=171)和IC组(n=175)。后者被要求在上课前一周阅读和准备预先提供的课程材料,以便在目标日担任导师角色,而对照组的学生则参加由同一位导师主持的传统案例研究课程。所有学生都完成了测试前和测试后的多项选择题调查,评估他们的知识水平,以及压力、同理心和满意度问卷。结果:对照组的参与率(93/171,54%)显著高于IC组(65/175,37%;P = .002)。女性(110/213,52%)比男性(48/133,36%)参与更多;P=.002)。两组学生的知识得分结果相似,无论是前分(1.17,SD 0.66和1.24,SD 0.72分别为5)还是短期知识保留(2.45,SD 0.61和2.35,SD 0.73)均无差异。IC方法并没有增加学生的压力或增强他们对教师的同理心。它增加了课前工作量(P=.02),学生的反应并不好。结论:本研究表明,在6年制药学博士课程的早期阶段(即第三年),传统的教学方法仍然是一种有效的案例研究课程方法,但仍然需要动态的方法来提高学生在学习过程中的积极作用。
本文章由计算机程序翻译,如有差异,请以英文原文为准。

Evaluation of the Inverted Classroom Approach in a Case-Study Course on Antithrombotic Drug Use in a PharmD Curriculum: French Monocentric Randomized Study.

Evaluation of the Inverted Classroom Approach in a Case-Study Course on Antithrombotic Drug Use in a PharmD Curriculum: French Monocentric Randomized Study.

Evaluation of the Inverted Classroom Approach in a Case-Study Course on Antithrombotic Drug Use in a PharmD Curriculum: French Monocentric Randomized Study.

Evaluation of the Inverted Classroom Approach in a Case-Study Course on Antithrombotic Drug Use in a PharmD Curriculum: French Monocentric Randomized Study.

Background: Appropriate antithrombotic drug use is crucial knowledge for pharmacy students.

Objective: We sought to compare the inverted classroom (IC) approach to a traditional question-and-answer educational approach with the aim of enhancing pharmacy students' engagement with a case-study course on antithrombotic drug use.

Methods: Third-year PharmD (Doctor of Pharmacy) students from Paris Cité University were randomly assigned to control (n=171) and IC (n=175) groups. The latter were instructed to read and prepare the preprovided course material 1 week before the in-class session to assume the instructor role on the target day, whereas students of the control group attended a traditional case-study course carried out by the same instructor. All students completed pre- and posttest multiple-choice questions surveys assessing their knowledge levels as well as stress, empathy, and satisfaction questionnaires.

Results: A significantly higher participation rate was observed in the control group (93/171, 54%) compared to the IC group (65/175, 37%; P=.002). Women (110/213, 52%) participated more than men (48/133, 36%; P=.002) whatever the group was. Students' knowledge scores from both groups had similar results with no difference neither in the prescore (1.17, SD 0.66 and 1.24, SD 0.72 of 5, respectively) nor in the short-term knowledge retention (2.45, SD 0.61 and 2.35, SD 0.73, respectively). The IC approach did not increase student stress or enhance their empathy for the instructor. It increased the preclass workload (P=.02) and was not well received among students.

Conclusions: This study showed that the traditional educational approach remains an efficient method for case-study courses in the early stages (ie, third-year) of the 6-year PharmD curriculum, yet dynamic methods improving the active role of students in the learning process are still needed.

求助全文
通过发布文献求助,成功后即可免费获取论文全文。 去求助
来源期刊
JMIR Medical Education
JMIR Medical Education Social Sciences-Education
CiteScore
6.90
自引率
5.60%
发文量
54
审稿时长
8 weeks
×
引用
GB/T 7714-2015
复制
MLA
复制
APA
复制
导出至
BibTeX EndNote RefMan NoteFirst NoteExpress
×
提示
您的信息不完整,为了账户安全,请先补充。
现在去补充
×
提示
您因"违规操作"
具体请查看互助需知
我知道了
×
提示
确定
请完成安全验证×
copy
已复制链接
快去分享给好友吧!
我知道了
右上角分享
点击右上角分享
0
联系我们:info@booksci.cn Book学术提供免费学术资源搜索服务,方便国内外学者检索中英文文献。致力于提供最便捷和优质的服务体验。 Copyright © 2023 布克学术 All rights reserved.
京ICP备2023020795号-1
ghs 京公网安备 11010802042870号
Book学术文献互助
Book学术文献互助群
群 号:604180095
Book学术官方微信