人工智能增强的可穿戴睡眠记录用于阿尔茨海默病筛查。

IF 6 Q2 GERIATRICS & GERONTOLOGY
Elisabeth R M Heremans, Astrid Devulder, Pascal Borzée, Rik Vandenberghe, François-Laurent De Winter, Mathieu Vandenbulcke, Maarten Van Den Bossche, Bertien Buyse, Dries Testelmans, Wim Van Paesschen, Maarten De Vos
{"title":"人工智能增强的可穿戴睡眠记录用于阿尔茨海默病筛查。","authors":"Elisabeth R M Heremans, Astrid Devulder, Pascal Borzée, Rik Vandenberghe, François-Laurent De Winter, Mathieu Vandenbulcke, Maarten Van Den Bossche, Bertien Buyse, Dries Testelmans, Wim Van Paesschen, Maarten De Vos","doi":"10.1038/s41514-025-00219-y","DOIUrl":null,"url":null,"abstract":"<p><p>The recent emergence of wearable devices will enable large scale remote brain monitoring. This study investigated whether multimodal wearable sleep recordings could help screening for Alzheimer's disease (AD). Measurements were acquired simultaneously from polysomnography and a wearable device, measuring electroencephalography (EEG) and accelerometry (ACM) in 67 elderly without cognitive symptoms and 35 AD patients. Sleep staging was performed using an AI model (SeqSleepNet), followed by feature extraction from hypnograms and physiological signals. Using these features, a multi-layer perceptron was trained for AD detection, with elastic net identifying key features. The wearable AD detection model achieved an accuracy of 0.90 (0.76 for prodromal AD). Single-channel EEG and ACM physiological features captured sufficient information for AD detection and outperformed the hypnogram features, highlighting these physiological features as promising discriminative markers for AD. We conclude that wearable sleep monitoring augmented by AI shows promise towards non-invasive screening for AD in the older population.</p>","PeriodicalId":94160,"journal":{"name":"npj aging","volume":"11 1","pages":"34"},"PeriodicalIF":6.0000,"publicationDate":"2025-05-09","publicationTypes":"Journal Article","fieldsOfStudy":null,"isOpenAccess":false,"openAccessPdf":"https://www.ncbi.nlm.nih.gov/pmc/articles/PMC12064732/pdf/","citationCount":"0","resultStr":"{\"title\":\"Wearable sleep recording augmented by artificial intelligence for Alzheimer's disease screening.\",\"authors\":\"Elisabeth R M Heremans, Astrid Devulder, Pascal Borzée, Rik Vandenberghe, François-Laurent De Winter, Mathieu Vandenbulcke, Maarten Van Den Bossche, Bertien Buyse, Dries Testelmans, Wim Van Paesschen, Maarten De Vos\",\"doi\":\"10.1038/s41514-025-00219-y\",\"DOIUrl\":null,\"url\":null,\"abstract\":\"<p><p>The recent emergence of wearable devices will enable large scale remote brain monitoring. This study investigated whether multimodal wearable sleep recordings could help screening for Alzheimer's disease (AD). Measurements were acquired simultaneously from polysomnography and a wearable device, measuring electroencephalography (EEG) and accelerometry (ACM) in 67 elderly without cognitive symptoms and 35 AD patients. Sleep staging was performed using an AI model (SeqSleepNet), followed by feature extraction from hypnograms and physiological signals. Using these features, a multi-layer perceptron was trained for AD detection, with elastic net identifying key features. The wearable AD detection model achieved an accuracy of 0.90 (0.76 for prodromal AD). Single-channel EEG and ACM physiological features captured sufficient information for AD detection and outperformed the hypnogram features, highlighting these physiological features as promising discriminative markers for AD. We conclude that wearable sleep monitoring augmented by AI shows promise towards non-invasive screening for AD in the older population.</p>\",\"PeriodicalId\":94160,\"journal\":{\"name\":\"npj aging\",\"volume\":\"11 1\",\"pages\":\"34\"},\"PeriodicalIF\":6.0000,\"publicationDate\":\"2025-05-09\",\"publicationTypes\":\"Journal Article\",\"fieldsOfStudy\":null,\"isOpenAccess\":false,\"openAccessPdf\":\"https://www.ncbi.nlm.nih.gov/pmc/articles/PMC12064732/pdf/\",\"citationCount\":\"0\",\"resultStr\":null,\"platform\":\"Semanticscholar\",\"paperid\":null,\"PeriodicalName\":\"npj aging\",\"FirstCategoryId\":\"1085\",\"ListUrlMain\":\"https://doi.org/10.1038/s41514-025-00219-y\",\"RegionNum\":0,\"RegionCategory\":null,\"ArticlePicture\":[],\"TitleCN\":null,\"AbstractTextCN\":null,\"PMCID\":null,\"EPubDate\":\"\",\"PubModel\":\"\",\"JCR\":\"Q2\",\"JCRName\":\"GERIATRICS & GERONTOLOGY\",\"Score\":null,\"Total\":0}","platform":"Semanticscholar","paperid":null,"PeriodicalName":"npj aging","FirstCategoryId":"1085","ListUrlMain":"https://doi.org/10.1038/s41514-025-00219-y","RegionNum":0,"RegionCategory":null,"ArticlePicture":[],"TitleCN":null,"AbstractTextCN":null,"PMCID":null,"EPubDate":"","PubModel":"","JCR":"Q2","JCRName":"GERIATRICS & GERONTOLOGY","Score":null,"Total":0}
引用次数: 0

摘要

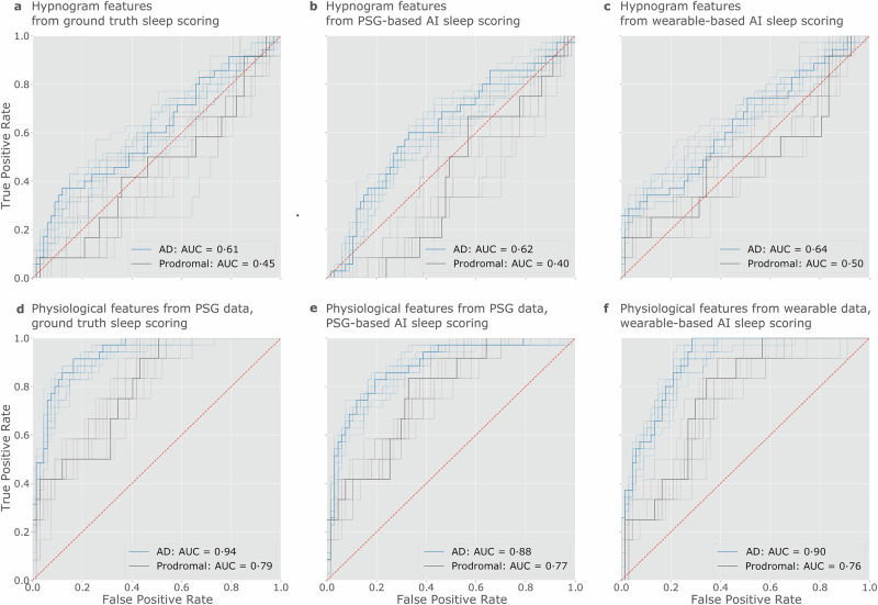
最近出现的可穿戴设备将使大规模的远程大脑监测成为可能。这项研究调查了多模式可穿戴睡眠记录是否有助于筛查阿尔茨海默病(AD)。通过多导睡眠仪和可穿戴设备同时测量67例无认知症状的老年人和35例AD患者的脑电图(EEG)和加速度计(ACM)。使用人工智能模型(SeqSleepNet)进行睡眠分期,然后从催眠图和生理信号中提取特征。利用这些特征,训练多层感知器进行AD检测,并利用弹性网络识别关键特征。可穿戴AD检测模型的准确率为0.90(前驱AD为0.76)。单通道EEG和ACM生理特征为阿尔茨海默病的检测捕获了足够的信息,并且优于催眠图特征,突出了这些生理特征作为阿尔茨海默病有希望的鉴别标记。我们的结论是,人工智能增强的可穿戴睡眠监测显示出对老年人群进行非侵入性阿尔茨海默病筛查的希望。
本文章由计算机程序翻译,如有差异,请以英文原文为准。

Wearable sleep recording augmented by artificial intelligence for Alzheimer's disease screening.

Wearable sleep recording augmented by artificial intelligence for Alzheimer's disease screening.

Wearable sleep recording augmented by artificial intelligence for Alzheimer's disease screening.

Wearable sleep recording augmented by artificial intelligence for Alzheimer's disease screening.

The recent emergence of wearable devices will enable large scale remote brain monitoring. This study investigated whether multimodal wearable sleep recordings could help screening for Alzheimer's disease (AD). Measurements were acquired simultaneously from polysomnography and a wearable device, measuring electroencephalography (EEG) and accelerometry (ACM) in 67 elderly without cognitive symptoms and 35 AD patients. Sleep staging was performed using an AI model (SeqSleepNet), followed by feature extraction from hypnograms and physiological signals. Using these features, a multi-layer perceptron was trained for AD detection, with elastic net identifying key features. The wearable AD detection model achieved an accuracy of 0.90 (0.76 for prodromal AD). Single-channel EEG and ACM physiological features captured sufficient information for AD detection and outperformed the hypnogram features, highlighting these physiological features as promising discriminative markers for AD. We conclude that wearable sleep monitoring augmented by AI shows promise towards non-invasive screening for AD in the older population.

求助全文
通过发布文献求助,成功后即可免费获取论文全文。 去求助
来源期刊
CiteScore
8.90
自引率
0.00%
发文量
0
×
引用
GB/T 7714-2015
复制
MLA
复制
APA
复制
导出至
BibTeX EndNote RefMan NoteFirst NoteExpress
×
提示
您的信息不完整,为了账户安全,请先补充。
现在去补充
×
提示
您因"违规操作"
具体请查看互助需知
我知道了
×
提示
确定
请完成安全验证×
copy
已复制链接
快去分享给好友吧!
我知道了
右上角分享
点击右上角分享
0
联系我们:info@booksci.cn Book学术提供免费学术资源搜索服务,方便国内外学者检索中英文文献。致力于提供最便捷和优质的服务体验。 Copyright © 2023 布克学术 All rights reserved.
京ICP备2023020795号-1
ghs 京公网安备 11010802042870号
Book学术文献互助
Book学术文献互助群
群 号:604180095
Book学术官方微信