凝血功能障碍作为严重钝性创伤中氨甲环酸疗效的预测指标:一项多中心回顾性研究。

IF 2.2 4区 医学 Q2 HEMATOLOGY
Yuki Takahashi, Mineji Hayakawa, Yuki Itagaki, Kota Ono, Daisuke Kudo, Shigeki Kushimoto
{"title":"凝血功能障碍作为严重钝性创伤中氨甲环酸疗效的预测指标:一项多中心回顾性研究。","authors":"Yuki Takahashi, Mineji Hayakawa, Yuki Itagaki, Kota Ono, Daisuke Kudo, Shigeki Kushimoto","doi":"10.1186/s12959-025-00723-x","DOIUrl":null,"url":null,"abstract":"<p><strong>Background: </strong>Tranexamic acid (TXA) reduces mortality in severe trauma cases. However, the relationships between TXA administration and coagulation/fibrinolysis abnormalities are unclear. We performed a retrospective observational study to investigate relationships between mortality and coagulation/fibrinolysis abnormalities of patients on arrival at the emergency department and whether TXA is more effective in patients with severe trauma who have coagulation/fibrinolysis abnormalities than in those who do not.</p><p><strong>Methods: </strong>Data was collected from 15 tertiary emergency and critical care centers in Japan. Adult patients with blunt trauma and an Injury Severity Score of ≥ 16 were included in the study. Patients were categorized into two groups: the TXA group received TXA within 3 h of arrival, and the non-TXA group did not.</p><p><strong>Results: </strong>Overall, 790 patients were included (TXA group, 276; non-TXA group, 514). In cubic spline curves for relationships between mortality and coagulation/fibrinolysis variables on arrival, odds for mortality increased and plateaued with a prothrombin time-international normalized ratio ≥ 1.2; the disseminated intravascular coagulation (DIC) score showed a marked odds increase when > 4 points. Odds increased and plateaued from an activated partial thromboplastin time (APTT) of ≥ 35 s and gradually increased as fibrinogen decreased from 250 mg/dL. Fibrinogen and fibrin degradation products (FDP) and D-dimer exhibited upward-sloping curves. In cubic spline curves for relationships between the effectiveness of TXA administration and coagulation/fibrinolysis variables on arrival, a favorable effect on mortality was observed with TXA administration when fibrinogen was ≤ 200 mg/dL or when the DIC score was ≥ 4 points; FDP, ≥ 50 µg/mL; D-dimer, ≥ 30 µg/mL; or APTT, ≥ 35 s. In each threshold subgroup, interactions between TXA administration and in-hospital mortality were observed.</p><p><strong>Conclusions: </strong>TXA demonstrates increased effectiveness in patients with traumatic coagulation/fibrinolysis abnormalities.</p>","PeriodicalId":22982,"journal":{"name":"Thrombosis Journal","volume":"23 1","pages":"37"},"PeriodicalIF":2.2000,"publicationDate":"2025-04-22","publicationTypes":"Journal Article","fieldsOfStudy":null,"isOpenAccess":false,"openAccessPdf":"https://www.ncbi.nlm.nih.gov/pmc/articles/PMC12013063/pdf/","citationCount":"0","resultStr":"{\"title\":\"Coagulopathy as a predictor of the effectiveness of tranexamic acid in severe blunt trauma: a multicenter retrospective study.\",\"authors\":\"Yuki Takahashi, Mineji Hayakawa, Yuki Itagaki, Kota Ono, Daisuke Kudo, Shigeki Kushimoto\",\"doi\":\"10.1186/s12959-025-00723-x\",\"DOIUrl\":null,\"url\":null,\"abstract\":\"<p><strong>Background: </strong>Tranexamic acid (TXA) reduces mortality in severe trauma cases. However, the relationships between TXA administration and coagulation/fibrinolysis abnormalities are unclear. We performed a retrospective observational study to investigate relationships between mortality and coagulation/fibrinolysis abnormalities of patients on arrival at the emergency department and whether TXA is more effective in patients with severe trauma who have coagulation/fibrinolysis abnormalities than in those who do not.</p><p><strong>Methods: </strong>Data was collected from 15 tertiary emergency and critical care centers in Japan. Adult patients with blunt trauma and an Injury Severity Score of ≥ 16 were included in the study. Patients were categorized into two groups: the TXA group received TXA within 3 h of arrival, and the non-TXA group did not.</p><p><strong>Results: </strong>Overall, 790 patients were included (TXA group, 276; non-TXA group, 514). In cubic spline curves for relationships between mortality and coagulation/fibrinolysis variables on arrival, odds for mortality increased and plateaued with a prothrombin time-international normalized ratio ≥ 1.2; the disseminated intravascular coagulation (DIC) score showed a marked odds increase when > 4 points. Odds increased and plateaued from an activated partial thromboplastin time (APTT) of ≥ 35 s and gradually increased as fibrinogen decreased from 250 mg/dL. Fibrinogen and fibrin degradation products (FDP) and D-dimer exhibited upward-sloping curves. In cubic spline curves for relationships between the effectiveness of TXA administration and coagulation/fibrinolysis variables on arrival, a favorable effect on mortality was observed with TXA administration when fibrinogen was ≤ 200 mg/dL or when the DIC score was ≥ 4 points; FDP, ≥ 50 µg/mL; D-dimer, ≥ 30 µg/mL; or APTT, ≥ 35 s. In each threshold subgroup, interactions between TXA administration and in-hospital mortality were observed.</p><p><strong>Conclusions: </strong>TXA demonstrates increased effectiveness in patients with traumatic coagulation/fibrinolysis abnormalities.</p>\",\"PeriodicalId\":22982,\"journal\":{\"name\":\"Thrombosis Journal\",\"volume\":\"23 1\",\"pages\":\"37\"},\"PeriodicalIF\":2.2000,\"publicationDate\":\"2025-04-22\",\"publicationTypes\":\"Journal Article\",\"fieldsOfStudy\":null,\"isOpenAccess\":false,\"openAccessPdf\":\"https://www.ncbi.nlm.nih.gov/pmc/articles/PMC12013063/pdf/\",\"citationCount\":\"0\",\"resultStr\":null,\"platform\":\"Semanticscholar\",\"paperid\":null,\"PeriodicalName\":\"Thrombosis Journal\",\"FirstCategoryId\":\"3\",\"ListUrlMain\":\"https://doi.org/10.1186/s12959-025-00723-x\",\"RegionNum\":4,\"RegionCategory\":\"医学\",\"ArticlePicture\":[],\"TitleCN\":null,\"AbstractTextCN\":null,\"PMCID\":null,\"EPubDate\":\"\",\"PubModel\":\"\",\"JCR\":\"Q2\",\"JCRName\":\"HEMATOLOGY\",\"Score\":null,\"Total\":0}","platform":"Semanticscholar","paperid":null,"PeriodicalName":"Thrombosis Journal","FirstCategoryId":"3","ListUrlMain":"https://doi.org/10.1186/s12959-025-00723-x","RegionNum":4,"RegionCategory":"医学","ArticlePicture":[],"TitleCN":null,"AbstractTextCN":null,"PMCID":null,"EPubDate":"","PubModel":"","JCR":"Q2","JCRName":"HEMATOLOGY","Score":null,"Total":0}
引用次数: 0

摘要

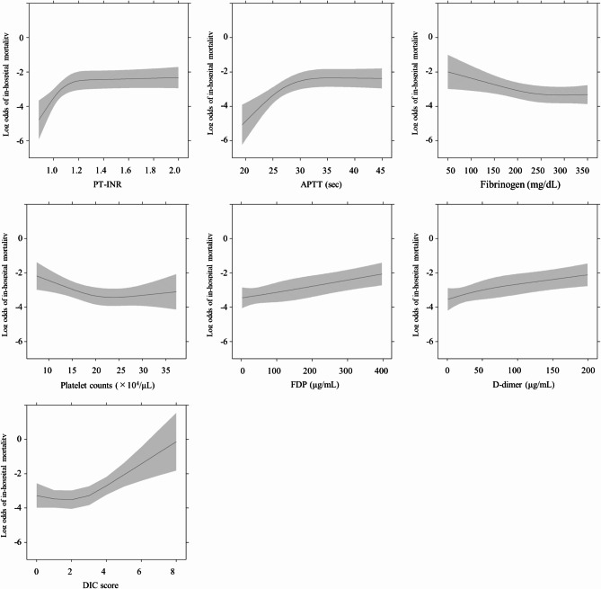
背景:氨甲环酸(TXA)可降低严重创伤病例的死亡率。然而,TXA给药与凝血/纤溶异常之间的关系尚不清楚。我们进行了一项回顾性观察性研究,以调查急诊患者死亡率与凝血/纤维蛋白溶解异常之间的关系,以及TXA对凝血/纤维蛋白溶解异常的严重创伤患者是否比没有凝血/纤维蛋白溶解异常的患者更有效。方法:收集日本15个三级急诊和重症监护中心的数据。损伤严重程度评分≥16的成年钝性创伤患者被纳入研究。患者分为两组:TXA组在到达后3小时内接受TXA治疗,非TXA组未接受TXA治疗。结果:共纳入790例患者(TXA组276例;非txa组,514)。在到达时死亡率与凝血/纤溶变量之间关系的三次样条曲线中,死亡率的几率增加并趋于稳定,凝血酶原时间-国际标准化比值≥1.2;弥散性血管内凝血(DIC)评分在>.4分时明显增高。当活化的部分凝血活素时间(APTT)≥35s时,几率增加并趋于稳定,并随着纤维蛋白原从250mg /dL下降而逐渐增加。纤维蛋白原、纤维蛋白降解产物(FDP)和d-二聚体呈向上倾斜曲线。在到达时给药效果与凝血/纤溶变量关系的三次样条曲线中,当纤维蛋白原≤200 mg/dL或DIC评分≥4分时,给药对死亡率有有利影响;FDP,≥50µg/mL;d -二聚体,≥30µg/mL;或APTT,≥35s。在每个阈值亚组中,观察到TXA给药与住院死亡率之间的相互作用。结论:TXA在外伤性凝血/纤溶异常患者中显示出更高的疗效。
本文章由计算机程序翻译,如有差异,请以英文原文为准。

Coagulopathy as a predictor of the effectiveness of tranexamic acid in severe blunt trauma: a multicenter retrospective study.

Coagulopathy as a predictor of the effectiveness of tranexamic acid in severe blunt trauma: a multicenter retrospective study.

Coagulopathy as a predictor of the effectiveness of tranexamic acid in severe blunt trauma: a multicenter retrospective study.

Coagulopathy as a predictor of the effectiveness of tranexamic acid in severe blunt trauma: a multicenter retrospective study.

Background: Tranexamic acid (TXA) reduces mortality in severe trauma cases. However, the relationships between TXA administration and coagulation/fibrinolysis abnormalities are unclear. We performed a retrospective observational study to investigate relationships between mortality and coagulation/fibrinolysis abnormalities of patients on arrival at the emergency department and whether TXA is more effective in patients with severe trauma who have coagulation/fibrinolysis abnormalities than in those who do not.

Methods: Data was collected from 15 tertiary emergency and critical care centers in Japan. Adult patients with blunt trauma and an Injury Severity Score of ≥ 16 were included in the study. Patients were categorized into two groups: the TXA group received TXA within 3 h of arrival, and the non-TXA group did not.

Results: Overall, 790 patients were included (TXA group, 276; non-TXA group, 514). In cubic spline curves for relationships between mortality and coagulation/fibrinolysis variables on arrival, odds for mortality increased and plateaued with a prothrombin time-international normalized ratio ≥ 1.2; the disseminated intravascular coagulation (DIC) score showed a marked odds increase when > 4 points. Odds increased and plateaued from an activated partial thromboplastin time (APTT) of ≥ 35 s and gradually increased as fibrinogen decreased from 250 mg/dL. Fibrinogen and fibrin degradation products (FDP) and D-dimer exhibited upward-sloping curves. In cubic spline curves for relationships between the effectiveness of TXA administration and coagulation/fibrinolysis variables on arrival, a favorable effect on mortality was observed with TXA administration when fibrinogen was ≤ 200 mg/dL or when the DIC score was ≥ 4 points; FDP, ≥ 50 µg/mL; D-dimer, ≥ 30 µg/mL; or APTT, ≥ 35 s. In each threshold subgroup, interactions between TXA administration and in-hospital mortality were observed.

Conclusions: TXA demonstrates increased effectiveness in patients with traumatic coagulation/fibrinolysis abnormalities.

求助全文
通过发布文献求助,成功后即可免费获取论文全文。 去求助
来源期刊
Thrombosis Journal
Thrombosis Journal Medicine-Hematology
CiteScore
3.80
自引率
3.20%
发文量
69
审稿时长
16 weeks
期刊介绍: Thrombosis Journal is an open-access journal that publishes original articles on aspects of clinical and basic research, new methodology, case reports and reviews in the areas of thrombosis. Topics of particular interest include the diagnosis of arterial and venous thrombosis, new antithrombotic treatments, new developments in the understanding, diagnosis and treatments of atherosclerotic vessel disease, relations between haemostasis and vascular disease, hypertension, diabetes, immunology and obesity.
×
引用
GB/T 7714-2015
复制
MLA
复制
APA
复制
导出至
BibTeX EndNote RefMan NoteFirst NoteExpress
×
提示
您的信息不完整,为了账户安全,请先补充。
现在去补充
×
提示
您因"违规操作"
具体请查看互助需知
我知道了
×
提示
确定
请完成安全验证×
copy
已复制链接
快去分享给好友吧!
我知道了
右上角分享
点击右上角分享
0
联系我们:info@booksci.cn Book学术提供免费学术资源搜索服务,方便国内外学者检索中英文文献。致力于提供最便捷和优质的服务体验。 Copyright © 2023 布克学术 All rights reserved.
京ICP备2023020795号-1
ghs 京公网安备 11010802042870号
Book学术文献互助
Book学术文献互助群
群 号:604180095
Book学术官方微信