中国南方地区侵袭性念珠菌血液分离株对10种抗真菌药物的体外敏感性分析。

IF 2
Qian-Yu Sang, Yun-Hui Liao, Kai-Xuan Huang, Yin-Rong Xie, Yi-Hui Yao, Ping Chen, Xian-Ming Liang
{"title":"中国南方地区侵袭性念珠菌血液分离株对10种抗真菌药物的体外敏感性分析。","authors":"Qian-Yu Sang, Yun-Hui Liao, Kai-Xuan Huang, Yin-Rong Xie, Yi-Hui Yao, Ping Chen, Xian-Ming Liang","doi":"10.1099/jmm.0.002011","DOIUrl":null,"url":null,"abstract":"<p><p><b>Introduction.</b> In recent years, with the increase of drug resistance of <i>Candida</i>, the incidence rate and mortality of candidemia have gradually increased, which has brought a huge economic and health burden to people.<b>Gap Statement.</b> The epidemiological characteristics and antifungal drug sensitivity patterns in different regions have varied.<b>Aim.</b> To analyse the distribution and antifungal susceptibility of <i>Candida</i> strains isolated from bloodstreams and provide a basis for the use of antifungal drugs for treatment.<b>Methodology.</b> A total of 115 strains of <i>Candida</i> were collected from the bloodstream, and 28 strains of colonized <i>Candida albicans</i> were collected from the upper respiratory tract. <i>Candida</i> species were identified using matrix-assisted laser desorption/ionization time-of-flight technology. Antifungal susceptibility was assessed using broth microdilution combined with redox methods.<b>Results.</b> There were eight types of <i>Candida</i> strains isolated from the bloodstream; <i>C. albicans</i> was the most common species (36.5%), followed by <i>Candida parapsilosis</i> (24.3%), <i>Candida glabrata</i> (17.4%) and <i>Candida tropicalis</i> (14.8%). There was no significant difference in the resistance of <i>C. albicans</i> to azole drugs between the bloodstream infection group and the upper respiratory tract colonization group, but there was a significant difference in the MIC values of micafungin and fluconazole, with <i>P</i> values of 0.017 and 0.003, respectively. Amphotericin B and echinocandins are the most susceptible drugs for all <i>Candida</i> species, but the MICs of echinocandins against <i>C. parapsilosis</i> are significantly higher than those of other <i>Candida</i> species. <i>Candida</i> (except for <i>C. glabrata</i>) is highly resistant to azoles, with <i>C. parapsilosis</i> showing resistance rates of 89.3% and 82.1% to itraconazole and posaconazole, respectively; the resistance rates of <i>C. tropicalis</i> are 100% and 94.1%, respectively.<b>Conclusion.</b> <i>C. albicans</i> remains the predominant pathogen responsible for candidemia. Although the resistance of <i>Candida</i> to antifungals is relatively stable, there are significant differences in the MICs of antifungal drugs against <i>Candida</i>, indicating the importance of strain identification in the treatment of candidemia. For empirical treatment, the use of echinocandin drugs is recommended.</p>","PeriodicalId":94093,"journal":{"name":"Journal of medical microbiology","volume":"74 5","pages":""},"PeriodicalIF":2.0000,"publicationDate":"2025-05-01","publicationTypes":"Journal Article","fieldsOfStudy":null,"isOpenAccess":false,"openAccessPdf":"https://www.ncbi.nlm.nih.gov/pmc/articles/PMC12069814/pdf/","citationCount":"0","resultStr":"{\"title\":\"<i>In vitro</i> susceptibility profiles of invasive <i>Candida</i> bloodstream isolates to ten antifungal drugs in a southern area of China.\",\"authors\":\"Qian-Yu Sang, Yun-Hui Liao, Kai-Xuan Huang, Yin-Rong Xie, Yi-Hui Yao, Ping Chen, Xian-Ming Liang\",\"doi\":\"10.1099/jmm.0.002011\",\"DOIUrl\":null,\"url\":null,\"abstract\":\"<p><p><b>Introduction.</b> In recent years, with the increase of drug resistance of <i>Candida</i>, the incidence rate and mortality of candidemia have gradually increased, which has brought a huge economic and health burden to people.<b>Gap Statement.</b> The epidemiological characteristics and antifungal drug sensitivity patterns in different regions have varied.<b>Aim.</b> To analyse the distribution and antifungal susceptibility of <i>Candida</i> strains isolated from bloodstreams and provide a basis for the use of antifungal drugs for treatment.<b>Methodology.</b> A total of 115 strains of <i>Candida</i> were collected from the bloodstream, and 28 strains of colonized <i>Candida albicans</i> were collected from the upper respiratory tract. <i>Candida</i> species were identified using matrix-assisted laser desorption/ionization time-of-flight technology. Antifungal susceptibility was assessed using broth microdilution combined with redox methods.<b>Results.</b> There were eight types of <i>Candida</i> strains isolated from the bloodstream; <i>C. albicans</i> was the most common species (36.5%), followed by <i>Candida parapsilosis</i> (24.3%), <i>Candida glabrata</i> (17.4%) and <i>Candida tropicalis</i> (14.8%). There was no significant difference in the resistance of <i>C. albicans</i> to azole drugs between the bloodstream infection group and the upper respiratory tract colonization group, but there was a significant difference in the MIC values of micafungin and fluconazole, with <i>P</i> values of 0.017 and 0.003, respectively. Amphotericin B and echinocandins are the most susceptible drugs for all <i>Candida</i> species, but the MICs of echinocandins against <i>C. parapsilosis</i> are significantly higher than those of other <i>Candida</i> species. <i>Candida</i> (except for <i>C. glabrata</i>) is highly resistant to azoles, with <i>C. parapsilosis</i> showing resistance rates of 89.3% and 82.1% to itraconazole and posaconazole, respectively; the resistance rates of <i>C. tropicalis</i> are 100% and 94.1%, respectively.<b>Conclusion.</b> <i>C. albicans</i> remains the predominant pathogen responsible for candidemia. Although the resistance of <i>Candida</i> to antifungals is relatively stable, there are significant differences in the MICs of antifungal drugs against <i>Candida</i>, indicating the importance of strain identification in the treatment of candidemia. For empirical treatment, the use of echinocandin drugs is recommended.</p>\",\"PeriodicalId\":94093,\"journal\":{\"name\":\"Journal of medical microbiology\",\"volume\":\"74 5\",\"pages\":\"\"},\"PeriodicalIF\":2.0000,\"publicationDate\":\"2025-05-01\",\"publicationTypes\":\"Journal Article\",\"fieldsOfStudy\":null,\"isOpenAccess\":false,\"openAccessPdf\":\"https://www.ncbi.nlm.nih.gov/pmc/articles/PMC12069814/pdf/\",\"citationCount\":\"0\",\"resultStr\":null,\"platform\":\"Semanticscholar\",\"paperid\":null,\"PeriodicalName\":\"Journal of medical microbiology\",\"FirstCategoryId\":\"1085\",\"ListUrlMain\":\"https://doi.org/10.1099/jmm.0.002011\",\"RegionNum\":0,\"RegionCategory\":null,\"ArticlePicture\":[],\"TitleCN\":null,\"AbstractTextCN\":null,\"PMCID\":null,\"EPubDate\":\"\",\"PubModel\":\"\",\"JCR\":\"\",\"JCRName\":\"\",\"Score\":null,\"Total\":0}","platform":"Semanticscholar","paperid":null,"PeriodicalName":"Journal of medical microbiology","FirstCategoryId":"1085","ListUrlMain":"https://doi.org/10.1099/jmm.0.002011","RegionNum":0,"RegionCategory":null,"ArticlePicture":[],"TitleCN":null,"AbstractTextCN":null,"PMCID":null,"EPubDate":"","PubModel":"","JCR":"","JCRName":"","Score":null,"Total":0}
引用次数: 0

摘要

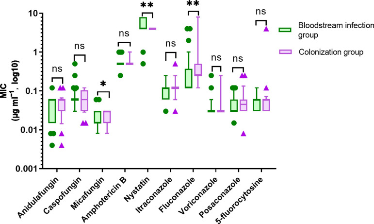
介绍。近年来,随着念珠菌耐药性的增加,念珠菌的发病率和死亡率逐渐上升,给人们带来了巨大的经济和健康负担。差距的声明。不同地区的流行病学特征和抗真菌药物敏感性存在差异。目的分析血源念珠菌的分布及药敏情况,为临床应用抗真菌药物提供依据。血液中检出念珠菌115株,上呼吸道检出白色念珠菌28株。利用基质辅助激光解吸/电离飞行时间技术对念珠菌进行了鉴定。采用微量肉汤稀释联合氧化还原法评价其抗真菌敏感性。从血液中分离出8种念珠菌菌株;白色念珠菌最多(36.5%),其次为准假丝酵母菌(24.3%)、光假丝酵母菌(17.4%)和热带假丝酵母菌(14.8%)。血液感染组与上呼吸道定植组白色念珠菌对唑类药物的耐药性差异无统计学意义,但米卡芬净与氟康唑的MIC值差异有统计学意义,P值分别为0.017和0.003。两性霉素B和棘球珠菌素是所有念珠菌种的最敏感药物,但棘球珠菌素对假丝酵母菌的mic显著高于其他念珠菌种。念珠菌(除光秃假丝酵母外)对唑类药物耐药程度较高,其中拟假丝酵母对伊曲康唑和泊沙康唑的耐药率分别为89.3%和82.1%;热带棘球绦虫的耐药率分别为100%和94.1%。白色念珠菌仍然是造成念珠菌病的主要病原体。虽然念珠菌对抗真菌药物的耐药性相对稳定,但抗真菌药物对念珠菌的mic存在显著差异,说明菌株鉴定在念珠菌病治疗中的重要性。对于经验治疗,建议使用棘白菌素类药物。
本文章由计算机程序翻译,如有差异,请以英文原文为准。

<i>In vitro</i> susceptibility profiles of invasive <i>Candida</i> bloodstream isolates to ten antifungal drugs in a southern area of China.

<i>In vitro</i> susceptibility profiles of invasive <i>Candida</i> bloodstream isolates to ten antifungal drugs in a southern area of China.

<i>In vitro</i> susceptibility profiles of invasive <i>Candida</i> bloodstream isolates to ten antifungal drugs in a southern area of China.

In vitro susceptibility profiles of invasive Candida bloodstream isolates to ten antifungal drugs in a southern area of China.

Introduction. In recent years, with the increase of drug resistance of Candida, the incidence rate and mortality of candidemia have gradually increased, which has brought a huge economic and health burden to people.Gap Statement. The epidemiological characteristics and antifungal drug sensitivity patterns in different regions have varied.Aim. To analyse the distribution and antifungal susceptibility of Candida strains isolated from bloodstreams and provide a basis for the use of antifungal drugs for treatment.Methodology. A total of 115 strains of Candida were collected from the bloodstream, and 28 strains of colonized Candida albicans were collected from the upper respiratory tract. Candida species were identified using matrix-assisted laser desorption/ionization time-of-flight technology. Antifungal susceptibility was assessed using broth microdilution combined with redox methods.Results. There were eight types of Candida strains isolated from the bloodstream; C. albicans was the most common species (36.5%), followed by Candida parapsilosis (24.3%), Candida glabrata (17.4%) and Candida tropicalis (14.8%). There was no significant difference in the resistance of C. albicans to azole drugs between the bloodstream infection group and the upper respiratory tract colonization group, but there was a significant difference in the MIC values of micafungin and fluconazole, with P values of 0.017 and 0.003, respectively. Amphotericin B and echinocandins are the most susceptible drugs for all Candida species, but the MICs of echinocandins against C. parapsilosis are significantly higher than those of other Candida species. Candida (except for C. glabrata) is highly resistant to azoles, with C. parapsilosis showing resistance rates of 89.3% and 82.1% to itraconazole and posaconazole, respectively; the resistance rates of C. tropicalis are 100% and 94.1%, respectively.Conclusion. C. albicans remains the predominant pathogen responsible for candidemia. Although the resistance of Candida to antifungals is relatively stable, there are significant differences in the MICs of antifungal drugs against Candida, indicating the importance of strain identification in the treatment of candidemia. For empirical treatment, the use of echinocandin drugs is recommended.

求助全文
通过发布文献求助,成功后即可免费获取论文全文。 去求助
来源期刊
自引率
0.00%
发文量
0
×
引用
GB/T 7714-2015
复制
MLA
复制
APA
复制
导出至
BibTeX EndNote RefMan NoteFirst NoteExpress
×
提示
您的信息不完整,为了账户安全,请先补充。
现在去补充
×
提示
您因"违规操作"
具体请查看互助需知
我知道了
×
提示
确定
请完成安全验证×
copy
已复制链接
快去分享给好友吧!
我知道了
右上角分享
点击右上角分享
0
联系我们:info@booksci.cn Book学术提供免费学术资源搜索服务,方便国内外学者检索中英文文献。致力于提供最便捷和优质的服务体验。 Copyright © 2023 布克学术 All rights reserved.
京ICP备2023020795号-1
ghs 京公网安备 11010802042870号
Book学术文献互助
Book学术文献互助群
群 号:604180095
Book学术官方微信