富氢电解水是一种有用的漱口水,因为它具有生物膜控制特性:一项体外和体内研究。

IF 1.4 Q3 MEDICINE, GENERAL & INTERNAL
Journal of Yeungnam medical science Pub Date : 2025-01-01 Epub Date: 2025-05-08 DOI:10.12701/jyms.2025.42.34
Ha-Young Youn, Ji-Hye Kim, Min-Jeong Cho, Su-Hyung Hong, Eun-Kyong Kim
{"title":"富氢电解水是一种有用的漱口水,因为它具有生物膜控制特性:一项体外和体内研究。","authors":"Ha-Young Youn, Ji-Hye Kim, Min-Jeong Cho, Su-Hyung Hong, Eun-Kyong Kim","doi":"10.12701/jyms.2025.42.34","DOIUrl":null,"url":null,"abstract":"<p><strong>Background: </strong>Previous studies have demonstrated the inhibitory effect of hydrogen-rich water on biofilm formation. However, hydrogen-rich electrolyzed water (HEW) has not been evaluated as mouthwash, despite being economical, convenient, and biologically safe. We assessed the antibiofilm effects of HEW on Streptococcus mutans and its potential as a mouthwash.</p><p><strong>Methods: </strong>The effect of HEW on S. mutans growth was assessed by measuring bacterial colony-forming units, and biofilm formation capacity was examined by crystal violet staining after culturing on a polystyrene plate. The effect of HEW on biofilm formation-related gene expression in S. mutans was assessed by real-time polymerase chain reaction. Finally, the effect of HEW on salivary S. mutans and plaque maturation was evaluated in 24 participants; after gargling with HEW twice daily, the salivary S. mutans count was quantified using a Caries Risk Test bacteria kit (Ivoclar Vivadent AG), and plaque maturation was compared using quantitative light-induced fluorescence imaging.</p><p><strong>Results: </strong>Exposure to HEW resulted in no significant changes in S. mutans growth but a significant reduction in biofilm formation in vitro (p<0.001). Furthermore, the gene expression of glucosyltransferases (gtfB, gtfC) was significantly lower than that in the control group treated with tap water (p<0.05, p<0.01). S. mutans counts and plaque maturation were significantly lower in participants who gargled with HEW than in those who gargled with tap water (p<0.01).</p><p><strong>Conclusion: </strong>Our data suggest that oral rinsing with HEW exerts antibiofilm effects on S. mutans, indicating that it can be used as a mouthwash to treat dental biofilm-dependent diseases.</p>","PeriodicalId":74020,"journal":{"name":"Journal of Yeungnam medical science","volume":"42 ","pages":"34"},"PeriodicalIF":1.4000,"publicationDate":"2025-01-01","publicationTypes":"Journal Article","fieldsOfStudy":null,"isOpenAccess":false,"openAccessPdf":"https://www.ncbi.nlm.nih.gov/pmc/articles/PMC12303785/pdf/","citationCount":"0","resultStr":"{\"title\":\"Hydrogen-rich electrolyzed water is a useful mouthwash due to its biofilm-control properties: an in vitro and in vivo study.\",\"authors\":\"Ha-Young Youn, Ji-Hye Kim, Min-Jeong Cho, Su-Hyung Hong, Eun-Kyong Kim\",\"doi\":\"10.12701/jyms.2025.42.34\",\"DOIUrl\":null,\"url\":null,\"abstract\":\"<p><strong>Background: </strong>Previous studies have demonstrated the inhibitory effect of hydrogen-rich water on biofilm formation. However, hydrogen-rich electrolyzed water (HEW) has not been evaluated as mouthwash, despite being economical, convenient, and biologically safe. We assessed the antibiofilm effects of HEW on Streptococcus mutans and its potential as a mouthwash.</p><p><strong>Methods: </strong>The effect of HEW on S. mutans growth was assessed by measuring bacterial colony-forming units, and biofilm formation capacity was examined by crystal violet staining after culturing on a polystyrene plate. The effect of HEW on biofilm formation-related gene expression in S. mutans was assessed by real-time polymerase chain reaction. Finally, the effect of HEW on salivary S. mutans and plaque maturation was evaluated in 24 participants; after gargling with HEW twice daily, the salivary S. mutans count was quantified using a Caries Risk Test bacteria kit (Ivoclar Vivadent AG), and plaque maturation was compared using quantitative light-induced fluorescence imaging.</p><p><strong>Results: </strong>Exposure to HEW resulted in no significant changes in S. mutans growth but a significant reduction in biofilm formation in vitro (p<0.001). Furthermore, the gene expression of glucosyltransferases (gtfB, gtfC) was significantly lower than that in the control group treated with tap water (p<0.05, p<0.01). S. mutans counts and plaque maturation were significantly lower in participants who gargled with HEW than in those who gargled with tap water (p<0.01).</p><p><strong>Conclusion: </strong>Our data suggest that oral rinsing with HEW exerts antibiofilm effects on S. mutans, indicating that it can be used as a mouthwash to treat dental biofilm-dependent diseases.</p>\",\"PeriodicalId\":74020,\"journal\":{\"name\":\"Journal of Yeungnam medical science\",\"volume\":\"42 \",\"pages\":\"34\"},\"PeriodicalIF\":1.4000,\"publicationDate\":\"2025-01-01\",\"publicationTypes\":\"Journal Article\",\"fieldsOfStudy\":null,\"isOpenAccess\":false,\"openAccessPdf\":\"https://www.ncbi.nlm.nih.gov/pmc/articles/PMC12303785/pdf/\",\"citationCount\":\"0\",\"resultStr\":null,\"platform\":\"Semanticscholar\",\"paperid\":null,\"PeriodicalName\":\"Journal of Yeungnam medical science\",\"FirstCategoryId\":\"1085\",\"ListUrlMain\":\"https://doi.org/10.12701/jyms.2025.42.34\",\"RegionNum\":0,\"RegionCategory\":null,\"ArticlePicture\":[],\"TitleCN\":null,\"AbstractTextCN\":null,\"PMCID\":null,\"EPubDate\":\"2025/5/8 0:00:00\",\"PubModel\":\"Epub\",\"JCR\":\"Q3\",\"JCRName\":\"MEDICINE, GENERAL & INTERNAL\",\"Score\":null,\"Total\":0}","platform":"Semanticscholar","paperid":null,"PeriodicalName":"Journal of Yeungnam medical science","FirstCategoryId":"1085","ListUrlMain":"https://doi.org/10.12701/jyms.2025.42.34","RegionNum":0,"RegionCategory":null,"ArticlePicture":[],"TitleCN":null,"AbstractTextCN":null,"PMCID":null,"EPubDate":"2025/5/8 0:00:00","PubModel":"Epub","JCR":"Q3","JCRName":"MEDICINE, GENERAL & INTERNAL","Score":null,"Total":0}
引用次数: 0

摘要

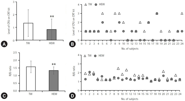
背景:已有研究证实富氢水对生物膜的形成有抑制作用。然而,尽管富氢电解水(HEW)经济、方便、生物安全,但尚未对其作为漱口水进行评估。我们评估了HEW对变形链球菌的抗生素膜作用及其作为漱口水的潜力。方法:通过测定菌落形成单位评估HEW对变形链球菌生长的影响,聚苯乙烯平板培养后采用结晶紫染色法检测生物膜形成能力。采用实时聚合酶链反应评价HEW对变形链球菌生物膜形成相关基因表达的影响。最后,在24名参与者中评估了HEW对唾液变形链球菌和斑块成熟的影响;每天用HEW漱口两次后,使用龋齿风险测试细菌试剂盒(Ivoclar Vivadent AG)定量唾液变形链球菌计数,并使用定量光诱导荧光成像比较菌斑成熟情况。结果:HEW暴露对变形链球菌生长无明显影响,但体外生物膜形成明显减少(p结论:我们的数据表明HEW口腔冲洗对变形链球菌具有抗生物膜作用,表明HEW可作为漱口水用于治疗口腔生物膜依赖性疾病。
本文章由计算机程序翻译,如有差异,请以英文原文为准。

Hydrogen-rich electrolyzed water is a useful mouthwash due to its biofilm-control properties: an in vitro and in vivo study.

Hydrogen-rich electrolyzed water is a useful mouthwash due to its biofilm-control properties: an in vitro and in vivo study.

Hydrogen-rich electrolyzed water is a useful mouthwash due to its biofilm-control properties: an in vitro and in vivo study.

Hydrogen-rich electrolyzed water is a useful mouthwash due to its biofilm-control properties: an in vitro and in vivo study.

Background: Previous studies have demonstrated the inhibitory effect of hydrogen-rich water on biofilm formation. However, hydrogen-rich electrolyzed water (HEW) has not been evaluated as mouthwash, despite being economical, convenient, and biologically safe. We assessed the antibiofilm effects of HEW on Streptococcus mutans and its potential as a mouthwash.

Methods: The effect of HEW on S. mutans growth was assessed by measuring bacterial colony-forming units, and biofilm formation capacity was examined by crystal violet staining after culturing on a polystyrene plate. The effect of HEW on biofilm formation-related gene expression in S. mutans was assessed by real-time polymerase chain reaction. Finally, the effect of HEW on salivary S. mutans and plaque maturation was evaluated in 24 participants; after gargling with HEW twice daily, the salivary S. mutans count was quantified using a Caries Risk Test bacteria kit (Ivoclar Vivadent AG), and plaque maturation was compared using quantitative light-induced fluorescence imaging.

Results: Exposure to HEW resulted in no significant changes in S. mutans growth but a significant reduction in biofilm formation in vitro (p<0.001). Furthermore, the gene expression of glucosyltransferases (gtfB, gtfC) was significantly lower than that in the control group treated with tap water (p<0.05, p<0.01). S. mutans counts and plaque maturation were significantly lower in participants who gargled with HEW than in those who gargled with tap water (p<0.01).

Conclusion: Our data suggest that oral rinsing with HEW exerts antibiofilm effects on S. mutans, indicating that it can be used as a mouthwash to treat dental biofilm-dependent diseases.

求助全文
通过发布文献求助,成功后即可免费获取论文全文。 去求助
来源期刊
CiteScore
0.80
自引率
0.00%
发文量
0
×
引用
GB/T 7714-2015
复制
MLA
复制
APA
复制
导出至
BibTeX EndNote RefMan NoteFirst NoteExpress
×
提示
您的信息不完整,为了账户安全,请先补充。
现在去补充
×
提示
您因"违规操作"
具体请查看互助需知
我知道了
×
提示
确定
请完成安全验证×
copy
已复制链接
快去分享给好友吧!
我知道了
右上角分享
点击右上角分享
0
联系我们:info@booksci.cn Book学术提供免费学术资源搜索服务,方便国内外学者检索中英文文献。致力于提供最便捷和优质的服务体验。 Copyright © 2023 布克学术 All rights reserved.
京ICP备2023020795号-1
ghs 京公网安备 11010802042870号
Book学术文献互助
Book学术文献互助群
群 号:604180095
Book学术官方微信