儿童和青少年活动、久坐和睡眠行为与口腔健康指标的关联:一项横断面分析

Ryan D Burns, Hayley Almes, You Fu
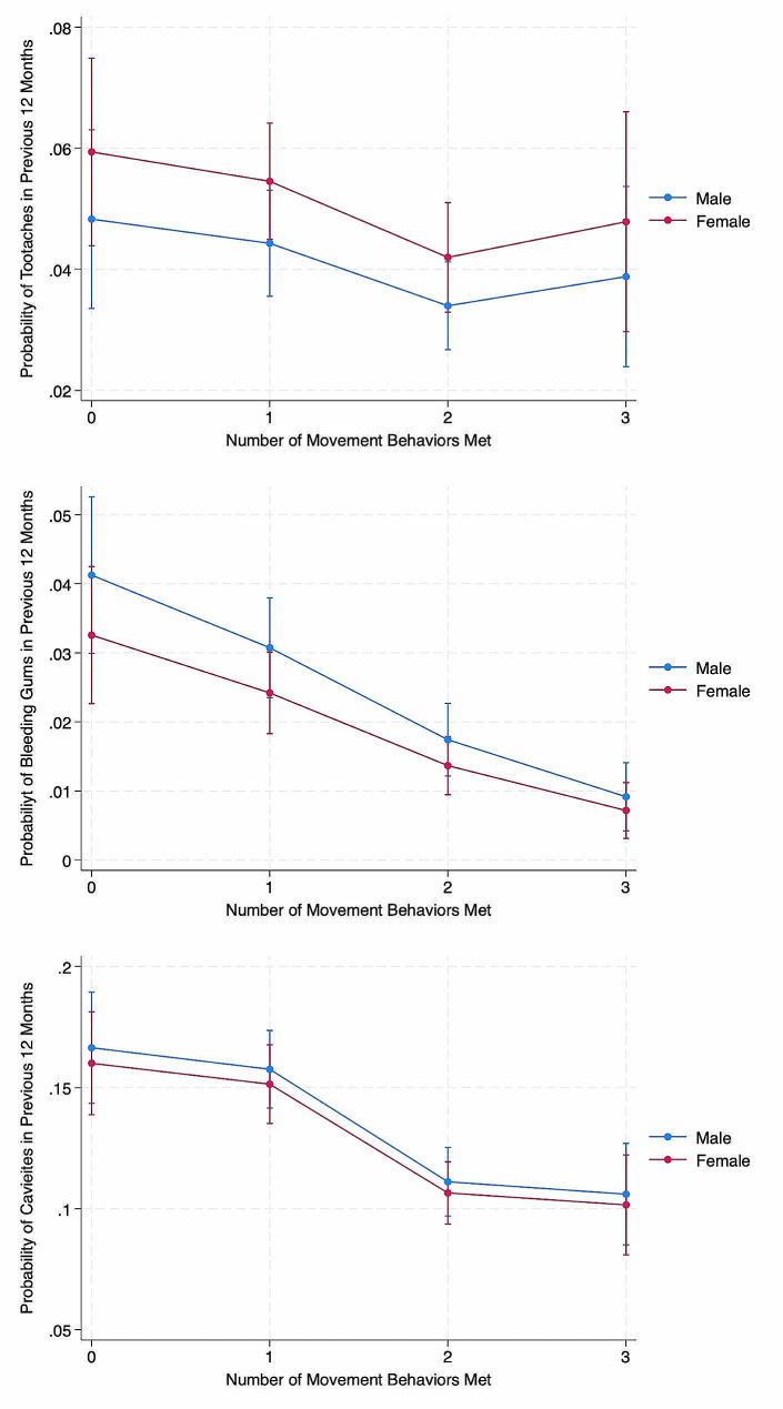
{"title":"儿童和青少年活动、久坐和睡眠行为与口腔健康指标的关联:一项横断面分析","authors":"Ryan D Burns, Hayley Almes, You Fu","doi":"10.1186/s44167-024-00057-5","DOIUrl":null,"url":null,"abstract":"<p><strong>Background: </strong>The purpose of this study was to examine the associations of physical activity (PA), recreational screen time, and sleep with indicators of poor oral health in youth.</p><p><strong>Methods: </strong>Participants were children and adolescents whose parents completed the 2022 National Survey of Children's Health (N = 34,342; 49% female; Mean age = 11.9 +/- 3.5 years). The dependent variables were three binary response items that indicated the presence of toothaches, bleeding gums, and cavities within the previous 12 months. Independent variables were three items indicating the weekly frequency of 60 min of PA, hours of recreational screen time, and hours of weeknight sleep. Relationships between variables were examined using double-selection logistic regression with demographic, dietary, oral hygiene, and dental service covariates selected using the plug-in method of the least absolute shrinkage and selection operator.</p><p><strong>Results: </strong>Compared to zero days of PA, 4-6 days of PA per week was associated with 30% lower odds of bleeding gums (p = 0.021). Compared to less than 1 h of recreational screen time, 2 h or more hours of recreational screen time were associated with a 1.26 to 1.62 times higher odds of cavities (p < 0.01). Compared to 5 h or less of sleep, 7 to 10 h of sleep was associated with 47-61% lower odds of bleeding gums and 31-47% lower odds of cavities (p < 0.01). Secondary analyses indicated that at least 2 of the movement behavior recommendations had to have been adhered to for positive associations with indicators of oral health to be observed. For toothaches, bleeding gums, and cavities, meeting 2 or 3 recommendations was associated with lower odds of poor oral health; whereas adhering to only one recommendation was not.</p><p><strong>Conclusion: </strong>Children with higher PA and sleep durations had improved oral health indicators and children with longer periods of screen time exposure had poorer oral health indicators. Our findings recommend adhering to multiple movement behavior recommendations to achieve improvements in oral health indicators.</p>","PeriodicalId":73581,"journal":{"name":"Journal of activity, sedentary and sleep behaviors","volume":"3 1","pages":"18"},"PeriodicalIF":0.0000,"publicationDate":"2024-07-29","publicationTypes":"Journal Article","fieldsOfStudy":null,"isOpenAccess":false,"openAccessPdf":"https://www.ncbi.nlm.nih.gov/pmc/articles/PMC11960395/pdf/","citationCount":"0","resultStr":"{\"title\":\"Associations of activity, sedentary and sleep behaviors with oral health indictors in children and adolescents: a cross-sectional analysis.\",\"authors\":\"Ryan D Burns, Hayley Almes, You Fu\",\"doi\":\"10.1186/s44167-024-00057-5\",\"DOIUrl\":null,\"url\":null,\"abstract\":\"<p><strong>Background: </strong>The purpose of this study was to examine the associations of physical activity (PA), recreational screen time, and sleep with indicators of poor oral health in youth.</p><p><strong>Methods: </strong>Participants were children and adolescents whose parents completed the 2022 National Survey of Children's Health (N = 34,342; 49% female; Mean age = 11.9 +/- 3.5 years). The dependent variables were three binary response items that indicated the presence of toothaches, bleeding gums, and cavities within the previous 12 months. Independent variables were three items indicating the weekly frequency of 60 min of PA, hours of recreational screen time, and hours of weeknight sleep. Relationships between variables were examined using double-selection logistic regression with demographic, dietary, oral hygiene, and dental service covariates selected using the plug-in method of the least absolute shrinkage and selection operator.</p><p><strong>Results: </strong>Compared to zero days of PA, 4-6 days of PA per week was associated with 30% lower odds of bleeding gums (p = 0.021). Compared to less than 1 h of recreational screen time, 2 h or more hours of recreational screen time were associated with a 1.26 to 1.62 times higher odds of cavities (p < 0.01). Compared to 5 h or less of sleep, 7 to 10 h of sleep was associated with 47-61% lower odds of bleeding gums and 31-47% lower odds of cavities (p < 0.01). Secondary analyses indicated that at least 2 of the movement behavior recommendations had to have been adhered to for positive associations with indicators of oral health to be observed. For toothaches, bleeding gums, and cavities, meeting 2 or 3 recommendations was associated with lower odds of poor oral health; whereas adhering to only one recommendation was not.</p><p><strong>Conclusion: </strong>Children with higher PA and sleep durations had improved oral health indicators and children with longer periods of screen time exposure had poorer oral health indicators. Our findings recommend adhering to multiple movement behavior recommendations to achieve improvements in oral health indicators.</p>\",\"PeriodicalId\":73581,\"journal\":{\"name\":\"Journal of activity, sedentary and sleep behaviors\",\"volume\":\"3 1\",\"pages\":\"18\"},\"PeriodicalIF\":0.0000,\"publicationDate\":\"2024-07-29\",\"publicationTypes\":\"Journal Article\",\"fieldsOfStudy\":null,\"isOpenAccess\":false,\"openAccessPdf\":\"https://www.ncbi.nlm.nih.gov/pmc/articles/PMC11960395/pdf/\",\"citationCount\":\"0\",\"resultStr\":null,\"platform\":\"Semanticscholar\",\"paperid\":null,\"PeriodicalName\":\"Journal of activity, sedentary and sleep behaviors\",\"FirstCategoryId\":\"1085\",\"ListUrlMain\":\"https://doi.org/10.1186/s44167-024-00057-5\",\"RegionNum\":0,\"RegionCategory\":null,\"ArticlePicture\":[],\"TitleCN\":null,\"AbstractTextCN\":null,\"PMCID\":null,\"EPubDate\":\"\",\"PubModel\":\"\",\"JCR\":\"\",\"JCRName\":\"\",\"Score\":null,\"Total\":0}","platform":"Semanticscholar","paperid":null,"PeriodicalName":"Journal of activity, sedentary and sleep behaviors","FirstCategoryId":"1085","ListUrlMain":"https://doi.org/10.1186/s44167-024-00057-5","RegionNum":0,"RegionCategory":null,"ArticlePicture":[],"TitleCN":null,"AbstractTextCN":null,"PMCID":null,"EPubDate":"","PubModel":"","JCR":"","JCRName":"","Score":null,"Total":0}
引用次数: 0

摘要

背景:本研究的目的是研究体育活动(PA)、娱乐屏幕时间和睡眠与青少年口腔健康状况不佳的指标之间的关系。方法:参与者为父母完成2022年全国儿童健康调查的儿童和青少年(N = 34,342;49%的女性;平均年龄= 11.9±3.5岁)。因变量是三个二元反应项目,表明在过去12个月内是否存在牙痛、牙龈出血和蛀牙。自变量有三个项目,分别是每周看电视60分钟的频率、娱乐屏幕时间的小时数和工作日晚上的睡眠时间。变量之间的关系采用双选择逻辑回归检验,人口统计、饮食、口腔卫生和牙科服务协变量采用最小绝对收缩和选择算子的插件方法选择。结果:与0天PA相比,每周4-6天PA与牙龈出血几率降低30%相关(p = 0.021)。与少于1小时的娱乐屏幕时间相比,2小时或更长时间的娱乐屏幕时间与蛀牙的几率高出1.26至1.62倍(p)。结论:PA和睡眠时间较长的儿童口腔健康指标改善,而屏幕时间较长的儿童口腔健康指标较差。我们的研究结果建议坚持多种运动行为建议,以实现口腔健康指标的改善。
本文章由计算机程序翻译,如有差异,请以英文原文为准。

Associations of activity, sedentary and sleep behaviors with oral health indictors in children and adolescents: a cross-sectional analysis.

Associations of activity, sedentary and sleep behaviors with oral health indictors in children and adolescents: a cross-sectional analysis.

Background: The purpose of this study was to examine the associations of physical activity (PA), recreational screen time, and sleep with indicators of poor oral health in youth.

Methods: Participants were children and adolescents whose parents completed the 2022 National Survey of Children's Health (N = 34,342; 49% female; Mean age = 11.9 +/- 3.5 years). The dependent variables were three binary response items that indicated the presence of toothaches, bleeding gums, and cavities within the previous 12 months. Independent variables were three items indicating the weekly frequency of 60 min of PA, hours of recreational screen time, and hours of weeknight sleep. Relationships between variables were examined using double-selection logistic regression with demographic, dietary, oral hygiene, and dental service covariates selected using the plug-in method of the least absolute shrinkage and selection operator.

Results: Compared to zero days of PA, 4-6 days of PA per week was associated with 30% lower odds of bleeding gums (p = 0.021). Compared to less than 1 h of recreational screen time, 2 h or more hours of recreational screen time were associated with a 1.26 to 1.62 times higher odds of cavities (p < 0.01). Compared to 5 h or less of sleep, 7 to 10 h of sleep was associated with 47-61% lower odds of bleeding gums and 31-47% lower odds of cavities (p < 0.01). Secondary analyses indicated that at least 2 of the movement behavior recommendations had to have been adhered to for positive associations with indicators of oral health to be observed. For toothaches, bleeding gums, and cavities, meeting 2 or 3 recommendations was associated with lower odds of poor oral health; whereas adhering to only one recommendation was not.

Conclusion: Children with higher PA and sleep durations had improved oral health indicators and children with longer periods of screen time exposure had poorer oral health indicators. Our findings recommend adhering to multiple movement behavior recommendations to achieve improvements in oral health indicators.

求助全文
通过发布文献求助,成功后即可免费获取论文全文。 去求助
来源期刊
自引率
0.00%
发文量
0
×
引用
GB/T 7714-2015
复制
MLA
复制
APA
复制
导出至
BibTeX EndNote RefMan NoteFirst NoteExpress
×
提示
您的信息不完整,为了账户安全,请先补充。
现在去补充
×
提示
您因"违规操作"
具体请查看互助需知
我知道了
×
提示
确定
请完成安全验证×
copy
已复制链接
快去分享给好友吧!
我知道了
右上角分享
点击右上角分享
0
联系我们:info@booksci.cn Book学术提供免费学术资源搜索服务,方便国内外学者检索中英文文献。致力于提供最便捷和优质的服务体验。 Copyright © 2023 布克学术 All rights reserved.
京ICP备2023020795号-1
ghs 京公网安备 11010802042870号
Book学术文献互助
Book学术文献互助群
群 号:604180095
Book学术官方微信