绿原酸对草甘膦致Wistar大鼠器官和血液毒性的保护作用。

IF 1.6 4区 医学 Q3 PUBLIC, ENVIRONMENTAL & OCCUPATIONAL HEALTH
Ruhi Türkmen, Yavuz Osman Birdane, Orkun Atik, Hasan Huseyin Demirel, Durmus Fatih Baser
{"title":"绿原酸对草甘膦致Wistar大鼠器官和血液毒性的保护作用。","authors":"Ruhi Türkmen, Yavuz Osman Birdane, Orkun Atik, Hasan Huseyin Demirel, Durmus Fatih Baser","doi":"10.2478/aiht-2025-76-3955","DOIUrl":null,"url":null,"abstract":"<p><p>Glyphosate, a widely used herbicide against broadleaf weeds and grasses, has been associated with various harmful effects. Our study examines the efficacy of chlorogenic acid (CGA) in alleviating the toxicity of a glyphosate-based herbicide (GBH) in 42 Wistar rats across six groups of seven animals receiving either no treatment (control), CGA alone (50 mg/kg), GBH alone (800 mg/kg), or their combinations varying three CGA doses (12.5, 25, or 50 mg/kg) (CGA12.5+GBH, CGA25+GBH, and CGA50+GBH, respectively) by oral gavage over 49 days in a row. At the end of the experiment, samples of blood, brain, heart, liver, and kidney tissues were collected and analysed for oxidative stress indicators (MDA, GSH, SOD, CAT), oxidative DNA damage (8-OHdG), liver and kidney function markers (AST, ALT, ALP, urea, and creatinine) as well as for histopathological changes. As expected, GBH increased AST ALT, ALP, urea, creatinine, 8-OHdG, and MDA levels, and lowered GSH levels and SOD and CAT activities, leaving histopathological changes in the brain, heart, liver, and kidney tissues. CGA dose-dependently improved biochemical and oxidative stress parameters and reversed histopathological changes in GBH-treated albino rats. Our findings consistently confirm the potential of CGA as a promising natural agent against the adverse health effects associated with exposure to glyphosate. Future research should focus on long-term glyphosate exposure and CGA treatment using molecular methods and on the signalling pathways associated with oxidative stress.</p>","PeriodicalId":55462,"journal":{"name":"Arhiv Za Higijenu Rada I Toksikologiju-Archives of Industrial Hygiene and Toxicology","volume":"76 1","pages":"44-52"},"PeriodicalIF":1.6000,"publicationDate":"2025-03-31","publicationTypes":"Journal Article","fieldsOfStudy":null,"isOpenAccess":false,"openAccessPdf":"https://www.ncbi.nlm.nih.gov/pmc/articles/PMC11994238/pdf/","citationCount":"0","resultStr":"{\"title\":\"Protective effects of chlorogenic acid against glyphosate-induced organ and blood toxicity in Wistar rats.\",\"authors\":\"Ruhi Türkmen, Yavuz Osman Birdane, Orkun Atik, Hasan Huseyin Demirel, Durmus Fatih Baser\",\"doi\":\"10.2478/aiht-2025-76-3955\",\"DOIUrl\":null,\"url\":null,\"abstract\":\"<p><p>Glyphosate, a widely used herbicide against broadleaf weeds and grasses, has been associated with various harmful effects. Our study examines the efficacy of chlorogenic acid (CGA) in alleviating the toxicity of a glyphosate-based herbicide (GBH) in 42 Wistar rats across six groups of seven animals receiving either no treatment (control), CGA alone (50 mg/kg), GBH alone (800 mg/kg), or their combinations varying three CGA doses (12.5, 25, or 50 mg/kg) (CGA12.5+GBH, CGA25+GBH, and CGA50+GBH, respectively) by oral gavage over 49 days in a row. At the end of the experiment, samples of blood, brain, heart, liver, and kidney tissues were collected and analysed for oxidative stress indicators (MDA, GSH, SOD, CAT), oxidative DNA damage (8-OHdG), liver and kidney function markers (AST, ALT, ALP, urea, and creatinine) as well as for histopathological changes. As expected, GBH increased AST ALT, ALP, urea, creatinine, 8-OHdG, and MDA levels, and lowered GSH levels and SOD and CAT activities, leaving histopathological changes in the brain, heart, liver, and kidney tissues. CGA dose-dependently improved biochemical and oxidative stress parameters and reversed histopathological changes in GBH-treated albino rats. Our findings consistently confirm the potential of CGA as a promising natural agent against the adverse health effects associated with exposure to glyphosate. Future research should focus on long-term glyphosate exposure and CGA treatment using molecular methods and on the signalling pathways associated with oxidative stress.</p>\",\"PeriodicalId\":55462,\"journal\":{\"name\":\"Arhiv Za Higijenu Rada I Toksikologiju-Archives of Industrial Hygiene and Toxicology\",\"volume\":\"76 1\",\"pages\":\"44-52\"},\"PeriodicalIF\":1.6000,\"publicationDate\":\"2025-03-31\",\"publicationTypes\":\"Journal Article\",\"fieldsOfStudy\":null,\"isOpenAccess\":false,\"openAccessPdf\":\"https://www.ncbi.nlm.nih.gov/pmc/articles/PMC11994238/pdf/\",\"citationCount\":\"0\",\"resultStr\":null,\"platform\":\"Semanticscholar\",\"paperid\":null,\"PeriodicalName\":\"Arhiv Za Higijenu Rada I Toksikologiju-Archives of Industrial Hygiene and Toxicology\",\"FirstCategoryId\":\"3\",\"ListUrlMain\":\"https://doi.org/10.2478/aiht-2025-76-3955\",\"RegionNum\":4,\"RegionCategory\":\"医学\",\"ArticlePicture\":[],\"TitleCN\":null,\"AbstractTextCN\":null,\"PMCID\":null,\"EPubDate\":\"2025/3/1 0:00:00\",\"PubModel\":\"eCollection\",\"JCR\":\"Q3\",\"JCRName\":\"PUBLIC, ENVIRONMENTAL & OCCUPATIONAL HEALTH\",\"Score\":null,\"Total\":0}","platform":"Semanticscholar","paperid":null,"PeriodicalName":"Arhiv Za Higijenu Rada I Toksikologiju-Archives of Industrial Hygiene and Toxicology","FirstCategoryId":"3","ListUrlMain":"https://doi.org/10.2478/aiht-2025-76-3955","RegionNum":4,"RegionCategory":"医学","ArticlePicture":[],"TitleCN":null,"AbstractTextCN":null,"PMCID":null,"EPubDate":"2025/3/1 0:00:00","PubModel":"eCollection","JCR":"Q3","JCRName":"PUBLIC, ENVIRONMENTAL & OCCUPATIONAL HEALTH","Score":null,"Total":0}
引用次数: 0

摘要

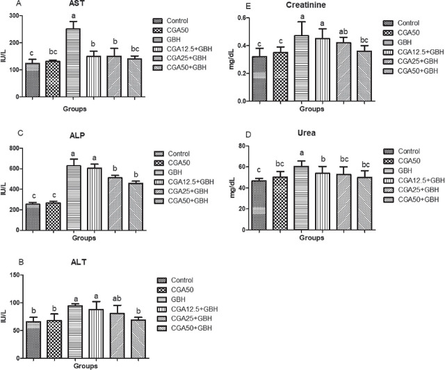
草甘膦是一种广泛应用于阔叶杂草和禾草的除草剂,具有多种有害影响。我们的研究考察了绿原酸(CGA)对42只Wistar大鼠减轻草甘膦除草剂(GBH)毒性的功效,这些大鼠分为6组,每组7只,分别接受不处理(对照)、单独使用CGA (50 mg/kg)、单独使用GBH (800 mg/kg)或不同剂量的CGA组合(12.5、25或50 mg/kg)(分别为CGA12.5+GBH、CGA25+GBH和CGA50+GBH),连续灌胃49天。实验结束时,采集大鼠血液、脑、心、肝、肾组织样本,分析氧化应激指标(MDA、GSH、SOD、CAT)、氧化DNA损伤(8-OHdG)、肝肾功能标志物(AST、ALT、ALP、尿素、肌酐)及组织病理学变化。正如预期的那样,GBH增加了AST、ALT、ALP、尿素、肌酐、8-OHdG和MDA水平,降低了GSH水平和SOD和CAT活性,在脑、心、肝和肾组织中留下了组织病理学改变。CGA剂量依赖性地改善gbh处理的白化大鼠的生化和氧化应激参数,逆转组织病理学变化。我们的研究结果一致地证实了CGA作为一种有前途的天然制剂的潜力,可以对抗与暴露于草甘膦相关的不良健康影响。未来的研究应侧重于长期草甘膦暴露和CGA的分子治疗方法,以及与氧化应激相关的信号通路。
本文章由计算机程序翻译,如有差异,请以英文原文为准。

Protective effects of chlorogenic acid against glyphosate-induced organ and blood toxicity in Wistar rats.

Protective effects of chlorogenic acid against glyphosate-induced organ and blood toxicity in Wistar rats.

Protective effects of chlorogenic acid against glyphosate-induced organ and blood toxicity in Wistar rats.

Protective effects of chlorogenic acid against glyphosate-induced organ and blood toxicity in Wistar rats.

Glyphosate, a widely used herbicide against broadleaf weeds and grasses, has been associated with various harmful effects. Our study examines the efficacy of chlorogenic acid (CGA) in alleviating the toxicity of a glyphosate-based herbicide (GBH) in 42 Wistar rats across six groups of seven animals receiving either no treatment (control), CGA alone (50 mg/kg), GBH alone (800 mg/kg), or their combinations varying three CGA doses (12.5, 25, or 50 mg/kg) (CGA12.5+GBH, CGA25+GBH, and CGA50+GBH, respectively) by oral gavage over 49 days in a row. At the end of the experiment, samples of blood, brain, heart, liver, and kidney tissues were collected and analysed for oxidative stress indicators (MDA, GSH, SOD, CAT), oxidative DNA damage (8-OHdG), liver and kidney function markers (AST, ALT, ALP, urea, and creatinine) as well as for histopathological changes. As expected, GBH increased AST ALT, ALP, urea, creatinine, 8-OHdG, and MDA levels, and lowered GSH levels and SOD and CAT activities, leaving histopathological changes in the brain, heart, liver, and kidney tissues. CGA dose-dependently improved biochemical and oxidative stress parameters and reversed histopathological changes in GBH-treated albino rats. Our findings consistently confirm the potential of CGA as a promising natural agent against the adverse health effects associated with exposure to glyphosate. Future research should focus on long-term glyphosate exposure and CGA treatment using molecular methods and on the signalling pathways associated with oxidative stress.

求助全文
通过发布文献求助,成功后即可免费获取论文全文。 去求助
来源期刊
Arhiv Za Higijenu Rada I Toksikologiju-Archives of Industrial Hygiene and Toxicology
Arhiv Za Higijenu Rada I Toksikologiju-Archives of Industrial Hygiene and Toxicology PUBLIC, ENVIRONMENTAL & OCCUPATIONAL HEALTH-TOXICOLOGY
CiteScore
3.50
自引率
4.80%
发文量
26
审稿时长
6-12 weeks
期刊介绍: Archives of Industrial Hygiene and Toxicology (abbr. Arh Hig Rada Toksikol) is a peer-reviewed biomedical scientific quarterly that publishes contributions relevant to all aspects of environmental and occupational health and toxicology.
×
引用
GB/T 7714-2015
复制
MLA
复制
APA
复制
导出至
BibTeX EndNote RefMan NoteFirst NoteExpress
×
提示
您的信息不完整,为了账户安全,请先补充。
现在去补充
×
提示
您因"违规操作"
具体请查看互助需知
我知道了
×
提示
确定
请完成安全验证×
copy
已复制链接
快去分享给好友吧!
我知道了
右上角分享
点击右上角分享
0
联系我们:info@booksci.cn Book学术提供免费学术资源搜索服务,方便国内外学者检索中英文文献。致力于提供最便捷和优质的服务体验。 Copyright © 2023 布克学术 All rights reserved.
京ICP备2023020795号-1
ghs 京公网安备 11010802042870号
Book学术文献互助
Book学术文献互助群
群 号:604180095
Book学术官方微信