耳科手术前的常规诊断——对德语国家耳鼻喉科的调查结果。德国版)。

IF 1.3 4区 医学 Q4 OTORHINOLARYNGOLOGY
Hno Pub Date : 2025-07-01 Epub Date: 2025-04-09 DOI:10.1007/s00106-025-01556-w
Joseph Morgenstern, Marcus Neudert, Thomas Zahnert, Susen Lailach
{"title":"耳科手术前的常规诊断——对德语国家耳鼻喉科的调查结果。德国版)。","authors":"Joseph Morgenstern, Marcus Neudert, Thomas Zahnert, Susen Lailach","doi":"10.1007/s00106-025-01556-w","DOIUrl":null,"url":null,"abstract":"<p><strong>Background: </strong>Diagnostic testing prior to ear surgery is an important part of the work of ear specialists in hospitals. To date, there is no national or international diagnostic standard. Rather, the test batteries used are dependent on hospitals' own doctrinal opinions.</p><p><strong>Objective: </strong>The aim of this study was to conduct a survey in German-speaking countries to determine the routine diagnostic methods used prior to various ear surgery procedures.</p><p><strong>Methods: </strong>An online questionnaire with 18 general questions on the hospital's equipment and availability of tests and 6 questions on specific ear operations was sent to the departmental directors.</p><p><strong>Results: </strong>Of the 180 hospitals contacted, 56 (31%) took part in the survey. For eight specific operations (rehabilitative ear surgery with and without cholesteatoma, hearing-improving surgery, stapesplasty, ear canal stenosis surgery, ear canal atresia surgery, implantation of active middle ear implants, and cochlear implant surgery), the test batteries most commonly used in German-speaking countries could be determined. It was found that the majority of clearly defined diagnostic batteries are implemented in the hospital's own diagnostic steps. In German-speaking countries, neurootological diagnostics are preferably carried out before treatment with hearing implants, but are of only minor importance for middle ear surgery in German-speaking hospitals.</p><p><strong>Conclusion: </strong>There is inhomogeneity regarding diagnostic pathways in ear surgery in German-speaking countries. The results of this survey provide a further basis for discussion concerning the development of a diagnostic standard, which is to be developed in corresponding guidelines and consensus papers.</p>","PeriodicalId":55052,"journal":{"name":"Hno","volume":" ","pages":"483-496"},"PeriodicalIF":1.3000,"publicationDate":"2025-07-01","publicationTypes":"Journal Article","fieldsOfStudy":null,"isOpenAccess":false,"openAccessPdf":"https://www.ncbi.nlm.nih.gov/pmc/articles/PMC12185610/pdf/","citationCount":"0","resultStr":"{\"title\":\"[Routine diagnostics prior to ear surgery-results of a survey among otorhinolaryngology departments in German-speaking countries. German version].\",\"authors\":\"Joseph Morgenstern, Marcus Neudert, Thomas Zahnert, Susen Lailach\",\"doi\":\"10.1007/s00106-025-01556-w\",\"DOIUrl\":null,\"url\":null,\"abstract\":\"<p><strong>Background: </strong>Diagnostic testing prior to ear surgery is an important part of the work of ear specialists in hospitals. To date, there is no national or international diagnostic standard. Rather, the test batteries used are dependent on hospitals' own doctrinal opinions.</p><p><strong>Objective: </strong>The aim of this study was to conduct a survey in German-speaking countries to determine the routine diagnostic methods used prior to various ear surgery procedures.</p><p><strong>Methods: </strong>An online questionnaire with 18 general questions on the hospital's equipment and availability of tests and 6 questions on specific ear operations was sent to the departmental directors.</p><p><strong>Results: </strong>Of the 180 hospitals contacted, 56 (31%) took part in the survey. For eight specific operations (rehabilitative ear surgery with and without cholesteatoma, hearing-improving surgery, stapesplasty, ear canal stenosis surgery, ear canal atresia surgery, implantation of active middle ear implants, and cochlear implant surgery), the test batteries most commonly used in German-speaking countries could be determined. It was found that the majority of clearly defined diagnostic batteries are implemented in the hospital's own diagnostic steps. In German-speaking countries, neurootological diagnostics are preferably carried out before treatment with hearing implants, but are of only minor importance for middle ear surgery in German-speaking hospitals.</p><p><strong>Conclusion: </strong>There is inhomogeneity regarding diagnostic pathways in ear surgery in German-speaking countries. The results of this survey provide a further basis for discussion concerning the development of a diagnostic standard, which is to be developed in corresponding guidelines and consensus papers.</p>\",\"PeriodicalId\":55052,\"journal\":{\"name\":\"Hno\",\"volume\":\" \",\"pages\":\"483-496\"},\"PeriodicalIF\":1.3000,\"publicationDate\":\"2025-07-01\",\"publicationTypes\":\"Journal Article\",\"fieldsOfStudy\":null,\"isOpenAccess\":false,\"openAccessPdf\":\"https://www.ncbi.nlm.nih.gov/pmc/articles/PMC12185610/pdf/\",\"citationCount\":\"0\",\"resultStr\":null,\"platform\":\"Semanticscholar\",\"paperid\":null,\"PeriodicalName\":\"Hno\",\"FirstCategoryId\":\"3\",\"ListUrlMain\":\"https://doi.org/10.1007/s00106-025-01556-w\",\"RegionNum\":4,\"RegionCategory\":\"医学\",\"ArticlePicture\":[],\"TitleCN\":null,\"AbstractTextCN\":null,\"PMCID\":null,\"EPubDate\":\"2025/4/9 0:00:00\",\"PubModel\":\"Epub\",\"JCR\":\"Q4\",\"JCRName\":\"OTORHINOLARYNGOLOGY\",\"Score\":null,\"Total\":0}","platform":"Semanticscholar","paperid":null,"PeriodicalName":"Hno","FirstCategoryId":"3","ListUrlMain":"https://doi.org/10.1007/s00106-025-01556-w","RegionNum":4,"RegionCategory":"医学","ArticlePicture":[],"TitleCN":null,"AbstractTextCN":null,"PMCID":null,"EPubDate":"2025/4/9 0:00:00","PubModel":"Epub","JCR":"Q4","JCRName":"OTORHINOLARYNGOLOGY","Score":null,"Total":0}
引用次数: 0

摘要

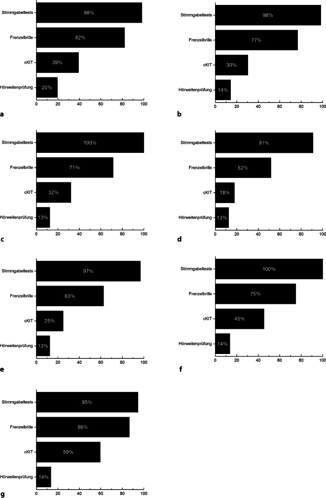
背景:耳科手术前的诊断测试是医院耳科专家工作的重要组成部分。迄今为止,尚无国家或国际诊断标准。相反,所使用的测试电池取决于医院自己的理论观点。目的:本研究的目的是在德语国家进行一项调查,以确定在各种耳科手术之前使用的常规诊断方法。方法:通过网络向科室主任发放问卷,问卷内容包括18个关于医院设备及检测可及性的一般性问题和6个关于耳科手术的具体问题。结果:在联系的180家医院中,有56家(31%)参与了调查。对于8种特定的手术(有和没有胆脂瘤的康复性耳部手术、听力改善手术、镫骨成形术、耳道狭窄手术、耳道闭锁手术、中耳植入术和人工耳蜗手术),可以确定德语国家最常用的测试电池。研究发现,大多数明确定义的诊断电池都是在医院自己的诊断步骤中实施的。在德语区国家,神经根学诊断最好在植入听力治疗前进行,但在德语区医院进行中耳手术时,神经根学诊断的重要性不大。结论:德语区耳科手术的诊断途径存在不均匀性。这项调查的结果为制定诊断标准的讨论提供了进一步的基础,该标准将在相应的指南和共识文件中制定。
本文章由计算机程序翻译,如有差异,请以英文原文为准。

[Routine diagnostics prior to ear surgery-results of a survey among otorhinolaryngology departments in German-speaking countries. German version].

[Routine diagnostics prior to ear surgery-results of a survey among otorhinolaryngology departments in German-speaking countries. German version].

[Routine diagnostics prior to ear surgery-results of a survey among otorhinolaryngology departments in German-speaking countries. German version].

[Routine diagnostics prior to ear surgery-results of a survey among otorhinolaryngology departments in German-speaking countries. German version].

Background: Diagnostic testing prior to ear surgery is an important part of the work of ear specialists in hospitals. To date, there is no national or international diagnostic standard. Rather, the test batteries used are dependent on hospitals' own doctrinal opinions.

Objective: The aim of this study was to conduct a survey in German-speaking countries to determine the routine diagnostic methods used prior to various ear surgery procedures.

Methods: An online questionnaire with 18 general questions on the hospital's equipment and availability of tests and 6 questions on specific ear operations was sent to the departmental directors.

Results: Of the 180 hospitals contacted, 56 (31%) took part in the survey. For eight specific operations (rehabilitative ear surgery with and without cholesteatoma, hearing-improving surgery, stapesplasty, ear canal stenosis surgery, ear canal atresia surgery, implantation of active middle ear implants, and cochlear implant surgery), the test batteries most commonly used in German-speaking countries could be determined. It was found that the majority of clearly defined diagnostic batteries are implemented in the hospital's own diagnostic steps. In German-speaking countries, neurootological diagnostics are preferably carried out before treatment with hearing implants, but are of only minor importance for middle ear surgery in German-speaking hospitals.

Conclusion: There is inhomogeneity regarding diagnostic pathways in ear surgery in German-speaking countries. The results of this survey provide a further basis for discussion concerning the development of a diagnostic standard, which is to be developed in corresponding guidelines and consensus papers.

求助全文
通过发布文献求助,成功后即可免费获取论文全文。 去求助
来源期刊
Hno
Hno 医学-耳鼻喉科学
CiteScore
1.50
自引率
33.30%
发文量
116
审稿时长
4-8 weeks
期刊介绍: HNO is an internationally recognized journal and addresses all ENT specialists in practices and clinics dealing with all aspects of ENT medicine, e.g. prevention, diagnostic methods, complication management, modern therapy strategies and surgical procedures. Review articles provide an overview on selected topics and offer the reader a summary of current findings from all fields of ENT medicine. Freely submitted original papers allow the presentation of important clinical studies and serve the scientific exchange. Case reports feature interesting cases and aim at optimizing diagnostic and therapeutic strategies. Review articles under the rubric ''Continuing Medical Education'' present verified results of scientific research and their integration into daily practice.
×
引用
GB/T 7714-2015
复制
MLA
复制
APA
复制
导出至
BibTeX EndNote RefMan NoteFirst NoteExpress
×
提示
您的信息不完整,为了账户安全,请先补充。
现在去补充
×
提示
您因"违规操作"
具体请查看互助需知
我知道了
×
提示
确定
请完成安全验证×
copy
已复制链接
快去分享给好友吧!
我知道了
右上角分享
点击右上角分享
0
联系我们:info@booksci.cn Book学术提供免费学术资源搜索服务,方便国内外学者检索中英文文献。致力于提供最便捷和优质的服务体验。 Copyright © 2023 布克学术 All rights reserved.
京ICP备2023020795号-1
ghs 京公网安备 11010802042870号
Book学术文献互助
Book学术文献互助群
群 号:604180095
Book学术官方微信