非洲糖尿病患者肾病患病率:系统回顾和荟萃分析

IF 2.2
Frontiers in clinical diabetes and healthcare Pub Date : 2025-04-25 eCollection Date: 2025-01-01 DOI:10.3389/fcdhc.2025.1551088
Grace I Adebayo-Gege, Peter Ifeoluwa Adegbola, Lawrence Dayo Adedayo, Adegboyega Moses Oyefabi, Ifeoluwa Temitayo Oyeyemi, Odeniran Olubukola, Adewale Adegboyega Oke, Oluchukwu Perpetual Okeke, Olunike Rebecca Abodunrin, Folahanmi Tomiwa Akinsolu, Olajide Odunayo Sobande
{"title":"非洲糖尿病患者肾病患病率:系统回顾和荟萃分析","authors":"Grace I Adebayo-Gege, Peter Ifeoluwa Adegbola, Lawrence Dayo Adedayo, Adegboyega Moses Oyefabi, Ifeoluwa Temitayo Oyeyemi, Odeniran Olubukola, Adewale Adegboyega Oke, Oluchukwu Perpetual Okeke, Olunike Rebecca Abodunrin, Folahanmi Tomiwa Akinsolu, Olajide Odunayo Sobande","doi":"10.3389/fcdhc.2025.1551088","DOIUrl":null,"url":null,"abstract":"<p><strong>Background: </strong>Diabetic nephropathy (DN) is one of the most frequent microvascular consequences of diabetes, accounting for a significant portion of morbidity and mortality in diabetic patients in Africa. This study aims to report on the prevalence of nephropathy among patients with diabetes mellitus patients in Africa and the risk factors.</p><p><strong>Methods: </strong>This systematic review was reported using Preferred Reporting Items for Systematic Reviews and Meta-Analyses (PRISMA) standards, and the protocol was pre-registered in PROSPERO with the registration number CRD42024587467. The search was conducted across databases such as PubMed, Google Scholar, CINAHL and Scopus to retrieve studies published between January 2000 and August 2024. All statistical analyses were conducted using R software (version 4.4.2). The pooled prevalence of nephropathy in patients with diabetes was calculated with a 95% confidence interval (CI).</p><p><strong>Results: </strong>Thirty-four (34) articles met the inclusion criteria. Only 28 studies were incorporated into the meta-analysis to determine the pooled prevalence of nephropathy among diabetes patients. The findings indicated a pooled prevalence of 21% (95%, CI: 16-28) of nephropathy among diabetes patients. Among type 1 and type 2 diabetes patients, the pooled prevalence of nephropathy is 46% (95%, CI: 18-77, I² = 98%) and 20% (95% CI: 14-27, I² = 98%), respectively. Weighted prevalence of 47%, 31%, 33% and 11% were reported in North Africa, Central Africa, South Africa and West Africa respectively. The result also showed that diabetes patients with hypertension are more than three times at risk of developing nephropathy compared to those without hypertension OR:3.46 (95% CI: 2.61-4.59).</p><p><strong>Conclusion: </strong>The current study showed the prevalence of nephropathy with a significant association with hypertension among diabetic mellitus patients. Higher prevalence in North Africa is likely due to Western cultural impacts on dietary consumption.</p><p><strong>Systematic review registration: </strong>https://www.crd.york.ac.uk/prospero/, identifier CRD42024587467.</p>","PeriodicalId":73075,"journal":{"name":"Frontiers in clinical diabetes and healthcare","volume":"6 ","pages":"1551088"},"PeriodicalIF":2.2000,"publicationDate":"2025-04-25","publicationTypes":"Journal Article","fieldsOfStudy":null,"isOpenAccess":false,"openAccessPdf":"https://www.ncbi.nlm.nih.gov/pmc/articles/PMC12061956/pdf/","citationCount":"0","resultStr":"{\"title\":\"Prevalence of nephropathy among patients with diabetes mellitus in Africa: a systematic review and meta-analysis.\",\"authors\":\"Grace I Adebayo-Gege, Peter Ifeoluwa Adegbola, Lawrence Dayo Adedayo, Adegboyega Moses Oyefabi, Ifeoluwa Temitayo Oyeyemi, Odeniran Olubukola, Adewale Adegboyega Oke, Oluchukwu Perpetual Okeke, Olunike Rebecca Abodunrin, Folahanmi Tomiwa Akinsolu, Olajide Odunayo Sobande\",\"doi\":\"10.3389/fcdhc.2025.1551088\",\"DOIUrl\":null,\"url\":null,\"abstract\":\"<p><strong>Background: </strong>Diabetic nephropathy (DN) is one of the most frequent microvascular consequences of diabetes, accounting for a significant portion of morbidity and mortality in diabetic patients in Africa. This study aims to report on the prevalence of nephropathy among patients with diabetes mellitus patients in Africa and the risk factors.</p><p><strong>Methods: </strong>This systematic review was reported using Preferred Reporting Items for Systematic Reviews and Meta-Analyses (PRISMA) standards, and the protocol was pre-registered in PROSPERO with the registration number CRD42024587467. The search was conducted across databases such as PubMed, Google Scholar, CINAHL and Scopus to retrieve studies published between January 2000 and August 2024. All statistical analyses were conducted using R software (version 4.4.2). The pooled prevalence of nephropathy in patients with diabetes was calculated with a 95% confidence interval (CI).</p><p><strong>Results: </strong>Thirty-four (34) articles met the inclusion criteria. Only 28 studies were incorporated into the meta-analysis to determine the pooled prevalence of nephropathy among diabetes patients. The findings indicated a pooled prevalence of 21% (95%, CI: 16-28) of nephropathy among diabetes patients. Among type 1 and type 2 diabetes patients, the pooled prevalence of nephropathy is 46% (95%, CI: 18-77, I² = 98%) and 20% (95% CI: 14-27, I² = 98%), respectively. Weighted prevalence of 47%, 31%, 33% and 11% were reported in North Africa, Central Africa, South Africa and West Africa respectively. The result also showed that diabetes patients with hypertension are more than three times at risk of developing nephropathy compared to those without hypertension OR:3.46 (95% CI: 2.61-4.59).</p><p><strong>Conclusion: </strong>The current study showed the prevalence of nephropathy with a significant association with hypertension among diabetic mellitus patients. Higher prevalence in North Africa is likely due to Western cultural impacts on dietary consumption.</p><p><strong>Systematic review registration: </strong>https://www.crd.york.ac.uk/prospero/, identifier CRD42024587467.</p>\",\"PeriodicalId\":73075,\"journal\":{\"name\":\"Frontiers in clinical diabetes and healthcare\",\"volume\":\"6 \",\"pages\":\"1551088\"},\"PeriodicalIF\":2.2000,\"publicationDate\":\"2025-04-25\",\"publicationTypes\":\"Journal Article\",\"fieldsOfStudy\":null,\"isOpenAccess\":false,\"openAccessPdf\":\"https://www.ncbi.nlm.nih.gov/pmc/articles/PMC12061956/pdf/\",\"citationCount\":\"0\",\"resultStr\":null,\"platform\":\"Semanticscholar\",\"paperid\":null,\"PeriodicalName\":\"Frontiers in clinical diabetes and healthcare\",\"FirstCategoryId\":\"1085\",\"ListUrlMain\":\"https://doi.org/10.3389/fcdhc.2025.1551088\",\"RegionNum\":0,\"RegionCategory\":null,\"ArticlePicture\":[],\"TitleCN\":null,\"AbstractTextCN\":null,\"PMCID\":null,\"EPubDate\":\"2025/1/1 0:00:00\",\"PubModel\":\"eCollection\",\"JCR\":\"\",\"JCRName\":\"\",\"Score\":null,\"Total\":0}","platform":"Semanticscholar","paperid":null,"PeriodicalName":"Frontiers in clinical diabetes and healthcare","FirstCategoryId":"1085","ListUrlMain":"https://doi.org/10.3389/fcdhc.2025.1551088","RegionNum":0,"RegionCategory":null,"ArticlePicture":[],"TitleCN":null,"AbstractTextCN":null,"PMCID":null,"EPubDate":"2025/1/1 0:00:00","PubModel":"eCollection","JCR":"","JCRName":"","Score":null,"Total":0}
引用次数: 0

摘要

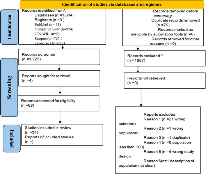
背景:糖尿病肾病(DN)是糖尿病最常见的微血管后果之一,占非洲糖尿病患者发病率和死亡率的很大一部分。本研究旨在报道非洲糖尿病患者肾病患病率及危险因素。方法:本系统评价采用系统评价和荟萃分析首选报告项目(PRISMA)标准进行报告,该方案在PROSPERO预注册,注册号为CRD42024587467。检索是在PubMed、b谷歌Scholar、CINAHL和Scopus等数据库中进行的,检索2000年1月至2024年8月之间发表的研究。所有统计分析均使用R软件(4.4.2版)进行。以95%可信区间(CI)计算糖尿病患者肾病的总患病率。结果:34篇文章符合纳入标准。只有28项研究被纳入荟萃分析,以确定糖尿病患者肾病的总患病率。研究结果表明,糖尿病患者中肾病的总患病率为21% (95%,CI: 16-28)。在1型和2型糖尿病患者中,肾病的总患病率分别为46% (95%,CI: 18-77, I²= 98%)和20% (95% CI: 14-27, I²= 98%)。北非、中非、南非和西非的加权患病率分别为47%、31%、33%和11%。结果还显示,合并高血压的糖尿病患者发生肾病的风险是没有高血压的糖尿病患者的3倍多OR:3.46 (95% CI: 2.61-4.59)。结论:当前研究显示糖尿病患者肾病患病率与高血压有显著相关性。北非较高的患病率可能是由于西方文化对饮食消费的影响。系统综述注册:https://www.crd.york.ac.uk/prospero/,标识符CRD42024587467。
本文章由计算机程序翻译,如有差异,请以英文原文为准。

Prevalence of nephropathy among patients with diabetes mellitus in Africa: a systematic review and meta-analysis.

Prevalence of nephropathy among patients with diabetes mellitus in Africa: a systematic review and meta-analysis.

Prevalence of nephropathy among patients with diabetes mellitus in Africa: a systematic review and meta-analysis.

Prevalence of nephropathy among patients with diabetes mellitus in Africa: a systematic review and meta-analysis.

Background: Diabetic nephropathy (DN) is one of the most frequent microvascular consequences of diabetes, accounting for a significant portion of morbidity and mortality in diabetic patients in Africa. This study aims to report on the prevalence of nephropathy among patients with diabetes mellitus patients in Africa and the risk factors.

Methods: This systematic review was reported using Preferred Reporting Items for Systematic Reviews and Meta-Analyses (PRISMA) standards, and the protocol was pre-registered in PROSPERO with the registration number CRD42024587467. The search was conducted across databases such as PubMed, Google Scholar, CINAHL and Scopus to retrieve studies published between January 2000 and August 2024. All statistical analyses were conducted using R software (version 4.4.2). The pooled prevalence of nephropathy in patients with diabetes was calculated with a 95% confidence interval (CI).

Results: Thirty-four (34) articles met the inclusion criteria. Only 28 studies were incorporated into the meta-analysis to determine the pooled prevalence of nephropathy among diabetes patients. The findings indicated a pooled prevalence of 21% (95%, CI: 16-28) of nephropathy among diabetes patients. Among type 1 and type 2 diabetes patients, the pooled prevalence of nephropathy is 46% (95%, CI: 18-77, I² = 98%) and 20% (95% CI: 14-27, I² = 98%), respectively. Weighted prevalence of 47%, 31%, 33% and 11% were reported in North Africa, Central Africa, South Africa and West Africa respectively. The result also showed that diabetes patients with hypertension are more than three times at risk of developing nephropathy compared to those without hypertension OR:3.46 (95% CI: 2.61-4.59).

Conclusion: The current study showed the prevalence of nephropathy with a significant association with hypertension among diabetic mellitus patients. Higher prevalence in North Africa is likely due to Western cultural impacts on dietary consumption.

Systematic review registration: https://www.crd.york.ac.uk/prospero/, identifier CRD42024587467.

求助全文
通过发布文献求助,成功后即可免费获取论文全文。 去求助
来源期刊
CiteScore
1.00
自引率
0.00%
发文量
0
×
引用
GB/T 7714-2015
复制
MLA
复制
APA
复制
导出至
BibTeX EndNote RefMan NoteFirst NoteExpress
×
提示
您的信息不完整,为了账户安全,请先补充。
现在去补充
×
提示
您因"违规操作"
具体请查看互助需知
我知道了
×
提示
确定
请完成安全验证×
copy
已复制链接
快去分享给好友吧!
我知道了
右上角分享
点击右上角分享
0
联系我们:info@booksci.cn Book学术提供免费学术资源搜索服务,方便国内外学者检索中英文文献。致力于提供最便捷和优质的服务体验。 Copyright © 2023 布克学术 All rights reserved.
京ICP备2023020795号-1
ghs 京公网安备 11010802042870号
Book学术文献互助
Book学术文献互助群
群 号:604180095
Book学术官方微信