膀胱癌复发热点突变监测循环肿瘤DNA。

Shigehiro Tsukahara, Masaki Shiota, Takashi Matsumoto, Dai Takamatsu, Shohei Nagakawa, Nozomi Noda, Shinya Matsumoto, Mikako Yagi, Takeshi Uchiumi, Yuya Kunisaki, Dongchon Kang, Masatoshi Eto
{"title":"膀胱癌复发热点突变监测循环肿瘤DNA。","authors":"Shigehiro Tsukahara, Masaki Shiota, Takashi Matsumoto, Dai Takamatsu, Shohei Nagakawa, Nozomi Noda, Shinya Matsumoto, Mikako Yagi, Takeshi Uchiumi, Yuya Kunisaki, Dongchon Kang, Masatoshi Eto","doi":"10.1038/s44276-025-00143-4","DOIUrl":null,"url":null,"abstract":"<p><strong>Background: </strong>Liquid biopsy can evaluate minimally residual disease. Hotspot mutations are also common in non-coding regions among the MIBC patients. We evaluated the status of MIBC with hotspot mutations with cfDNA.</p><p><strong>Methods: </strong>Tumor and blood from MIBC patients were collected prospectively. We evaluate the VAF of mutations (TERT, PLEKHS1, ADGRG6 and WDR74) with digital PCR in tumor and cfDNA as somatic mutation. We originally designed and validated primers and probes. VAF of cfDNA and clinical imaging were matched. This study was approved by the Institutional Review Board (#2022-157).</p><p><strong>Result: </strong>37 MIBC patients were enrolled and 28 (76%) patients had any hotspot. Among the 21 patients of follow-up cohort, cfDNA predicted recurrence 58 days earlier than the diagnosis by CT scan. Furthermore, the detection of ctDNA at the first visit after radical cystectomy was associated with recurrence free survival (P = 0.0043) and overall survival (P = 0.017). The patient who received neoadjuvant chemotherapy (NAC) and diagnosed as ypT0 belonged to the nonrecurrence group with negative ctDNA.</p><p><strong>Conclusion: </strong>Hotspot mutation is promising biomarker to predict earlier recurrence than CT-scan. Multiple detection of mutations in cfDNA contributes to reliable recurrence prediction.</p>","PeriodicalId":519964,"journal":{"name":"BJC reports","volume":"3 1","pages":"26"},"PeriodicalIF":0.0000,"publicationDate":"2025-04-24","publicationTypes":"Journal Article","fieldsOfStudy":null,"isOpenAccess":false,"openAccessPdf":"https://www.ncbi.nlm.nih.gov/pmc/articles/PMC12022302/pdf/","citationCount":"0","resultStr":"{\"title\":\"Monitoring circulating tumor DNA by recurrent hotspot mutations in bladder cancer.\",\"authors\":\"Shigehiro Tsukahara, Masaki Shiota, Takashi Matsumoto, Dai Takamatsu, Shohei Nagakawa, Nozomi Noda, Shinya Matsumoto, Mikako Yagi, Takeshi Uchiumi, Yuya Kunisaki, Dongchon Kang, Masatoshi Eto\",\"doi\":\"10.1038/s44276-025-00143-4\",\"DOIUrl\":null,\"url\":null,\"abstract\":\"<p><strong>Background: </strong>Liquid biopsy can evaluate minimally residual disease. Hotspot mutations are also common in non-coding regions among the MIBC patients. We evaluated the status of MIBC with hotspot mutations with cfDNA.</p><p><strong>Methods: </strong>Tumor and blood from MIBC patients were collected prospectively. We evaluate the VAF of mutations (TERT, PLEKHS1, ADGRG6 and WDR74) with digital PCR in tumor and cfDNA as somatic mutation. We originally designed and validated primers and probes. VAF of cfDNA and clinical imaging were matched. This study was approved by the Institutional Review Board (#2022-157).</p><p><strong>Result: </strong>37 MIBC patients were enrolled and 28 (76%) patients had any hotspot. Among the 21 patients of follow-up cohort, cfDNA predicted recurrence 58 days earlier than the diagnosis by CT scan. Furthermore, the detection of ctDNA at the first visit after radical cystectomy was associated with recurrence free survival (P = 0.0043) and overall survival (P = 0.017). The patient who received neoadjuvant chemotherapy (NAC) and diagnosed as ypT0 belonged to the nonrecurrence group with negative ctDNA.</p><p><strong>Conclusion: </strong>Hotspot mutation is promising biomarker to predict earlier recurrence than CT-scan. Multiple detection of mutations in cfDNA contributes to reliable recurrence prediction.</p>\",\"PeriodicalId\":519964,\"journal\":{\"name\":\"BJC reports\",\"volume\":\"3 1\",\"pages\":\"26\"},\"PeriodicalIF\":0.0000,\"publicationDate\":\"2025-04-24\",\"publicationTypes\":\"Journal Article\",\"fieldsOfStudy\":null,\"isOpenAccess\":false,\"openAccessPdf\":\"https://www.ncbi.nlm.nih.gov/pmc/articles/PMC12022302/pdf/\",\"citationCount\":\"0\",\"resultStr\":null,\"platform\":\"Semanticscholar\",\"paperid\":null,\"PeriodicalName\":\"BJC reports\",\"FirstCategoryId\":\"1085\",\"ListUrlMain\":\"https://doi.org/10.1038/s44276-025-00143-4\",\"RegionNum\":0,\"RegionCategory\":null,\"ArticlePicture\":[],\"TitleCN\":null,\"AbstractTextCN\":null,\"PMCID\":null,\"EPubDate\":\"\",\"PubModel\":\"\",\"JCR\":\"\",\"JCRName\":\"\",\"Score\":null,\"Total\":0}","platform":"Semanticscholar","paperid":null,"PeriodicalName":"BJC reports","FirstCategoryId":"1085","ListUrlMain":"https://doi.org/10.1038/s44276-025-00143-4","RegionNum":0,"RegionCategory":null,"ArticlePicture":[],"TitleCN":null,"AbstractTextCN":null,"PMCID":null,"EPubDate":"","PubModel":"","JCR":"","JCRName":"","Score":null,"Total":0}
引用次数: 0

摘要

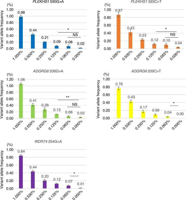
背景:液体活检可以评估最小残留病变。热点突变在MIBC患者的非编码区也很常见。我们用cfDNA评估带有热点突变的MIBC的状态。方法:前瞻性采集MIBC患者的肿瘤和血液。我们用数字PCR方法评估了肿瘤突变TERT、PLEKHS1、ADGRG6和WDR74的VAF, cfDNA作为体细胞突变。我们最初设计并验证了引物和探针。cfDNA的VAF与临床影像相符。该研究获得了机构审查委员会(#2022-157)的批准。结果:37例MIBC患者入组,28例(76%)有热点。在随访队列的21例患者中,cfDNA预测复发的时间比CT扫描诊断的时间早58天。此外,根治性膀胱切除术后首次就诊时的ctDNA检测与无复发生存率(P = 0.0043)和总生存率(P = 0.017)相关。接受新辅助化疗(NAC)并诊断为ypT0的患者属于ctDNA阴性的不复发组。结论:热点突变是较ct更早预测复发的生物标志物。多次检测cfDNA突变有助于可靠的复发预测。
本文章由计算机程序翻译,如有差异,请以英文原文为准。

Monitoring circulating tumor DNA by recurrent hotspot mutations in bladder cancer.

Monitoring circulating tumor DNA by recurrent hotspot mutations in bladder cancer.

Monitoring circulating tumor DNA by recurrent hotspot mutations in bladder cancer.

Monitoring circulating tumor DNA by recurrent hotspot mutations in bladder cancer.

Background: Liquid biopsy can evaluate minimally residual disease. Hotspot mutations are also common in non-coding regions among the MIBC patients. We evaluated the status of MIBC with hotspot mutations with cfDNA.

Methods: Tumor and blood from MIBC patients were collected prospectively. We evaluate the VAF of mutations (TERT, PLEKHS1, ADGRG6 and WDR74) with digital PCR in tumor and cfDNA as somatic mutation. We originally designed and validated primers and probes. VAF of cfDNA and clinical imaging were matched. This study was approved by the Institutional Review Board (#2022-157).

Result: 37 MIBC patients were enrolled and 28 (76%) patients had any hotspot. Among the 21 patients of follow-up cohort, cfDNA predicted recurrence 58 days earlier than the diagnosis by CT scan. Furthermore, the detection of ctDNA at the first visit after radical cystectomy was associated with recurrence free survival (P = 0.0043) and overall survival (P = 0.017). The patient who received neoadjuvant chemotherapy (NAC) and diagnosed as ypT0 belonged to the nonrecurrence group with negative ctDNA.

Conclusion: Hotspot mutation is promising biomarker to predict earlier recurrence than CT-scan. Multiple detection of mutations in cfDNA contributes to reliable recurrence prediction.

求助全文
通过发布文献求助,成功后即可免费获取论文全文。 去求助
来源期刊
自引率
0.00%
发文量
0
×
引用
GB/T 7714-2015
复制
MLA
复制
APA
复制
导出至
BibTeX EndNote RefMan NoteFirst NoteExpress
×
提示
您的信息不完整,为了账户安全,请先补充。
现在去补充
×
提示
您因"违规操作"
具体请查看互助需知
我知道了
×
提示
确定
请完成安全验证×
copy
已复制链接
快去分享给好友吧!
我知道了
右上角分享
点击右上角分享
0
联系我们:info@booksci.cn Book学术提供免费学术资源搜索服务,方便国内外学者检索中英文文献。致力于提供最便捷和优质的服务体验。 Copyright © 2023 布克学术 All rights reserved.
京ICP备2023020795号-1
ghs 京公网安备 11010802042870号
Book学术文献互助
Book学术文献互助群
群 号:604180095
Book学术官方微信