难治性结直肠癌全身治疗的安全性、有效性和成本效益评估:一项系统回顾和模型研究。

IF 3.3 3区 经济学 Q1 ECONOMICS
Mingye Zhao, Yunlin Jiang, Taihang Shao, Wenxi Tang
{"title":"难治性结直肠癌全身治疗的安全性、有效性和成本效益评估:一项系统回顾和模型研究。","authors":"Mingye Zhao, Yunlin Jiang, Taihang Shao, Wenxi Tang","doi":"10.1186/s13561-025-00622-x","DOIUrl":null,"url":null,"abstract":"<p><strong>Objectives: </strong>To conduct pooled estimates and comparative evaluations of safety and efficacy, alongside cost-effectiveness and value-based pricing analyses, for systemic treatments recommended by the National Comprehensive Cancer Network in refractory colorectal cancer.</p><p><strong>Methods: </strong>A comprehensive search for related randomized controlled trials was conducted on PubMed, EMBASE, the Cochrane Library, and ClinicalTrials.gov. Safety was evaluated by aggregating treatment-related adverse events (TRAEs) and performing Bayesian network meta-analysis (NMA) for indirect comparisons. Pooled survival estimates of overall survival (OS) and progression-free survival (PFS) were conducted to assess treatment efficacy. For NMA of OS and PFS, time-variant fractional polynomial models were employed as the primary analysis, with Cox proportional hazards models used for result validation. Economic evaluations were performed using partitioned survival models from the US public sector perspective. Clinical parameters were sourced from meta-analyses; cost parameters included drug treatment, follow-up and administration, end-of-life care, and adverse event management expenses, which were obtained from the Federal Supply Schedule, public databases or published literature. Utility values were sourced from the CORRECT trial. Price simulations were also conducted. Robustness of results was confirmed by sensitivity and scenario analyses RESULTS: We included nine studies comprising 3,978 patients and incorporating six treatments recommended by NCCN, including best supportive care (BSC), regorafenib, regorafenib dose optimization (REDo), trifluridine/tipiracil (TAS-102), TAS-102 with bevacizumab (TAS-BEV), and fruquintinib. Targeted treatments increased serious TRAEs and grade 3 + TRAEs compared to BSC. However, no significant safety differences were found among the targeted therapies. Regarding efficacy, REDo led in median OS, while fruquintinib led in median PFS. NMA indicated that TAS-BEV had the greatest PFS and OS survival benefit, followed by fruquintinib and REDo. Cost-effectiveness analysis favored BSC as the least expensive and the most cost-effective profile. TAS-BEV had the greatest effectiveness, with TAS-102 being the most cost-effective among targeted therapies. For cost-effectiveness against BSC, the price reductions of TAS-102, fruquintinib, REDoS, regorafenib, and TAS-BEV were 39%, 24%, 14%, 8%, and 7%, respectively.</p><p><strong>Conclusions: </strong>Targeted therapies have comparable safety; TAS-BEV is highly effective, TAS-102 is the top cost-effective targeted therapy. Treatment choice should balance individual patient needs with safety, efficacy, and cost.</p>","PeriodicalId":46936,"journal":{"name":"Health Economics Review","volume":"15 1","pages":"33"},"PeriodicalIF":3.3000,"publicationDate":"2025-04-11","publicationTypes":"Journal Article","fieldsOfStudy":null,"isOpenAccess":false,"openAccessPdf":"https://www.ncbi.nlm.nih.gov/pmc/articles/PMC11987259/pdf/","citationCount":"0","resultStr":"{\"title\":\"Safety, efficacy, and cost-effectiveness evaluation of systemic treatments for refractory colorectal cancer: a systematic review and modeling study.\",\"authors\":\"Mingye Zhao, Yunlin Jiang, Taihang Shao, Wenxi Tang\",\"doi\":\"10.1186/s13561-025-00622-x\",\"DOIUrl\":null,\"url\":null,\"abstract\":\"<p><strong>Objectives: </strong>To conduct pooled estimates and comparative evaluations of safety and efficacy, alongside cost-effectiveness and value-based pricing analyses, for systemic treatments recommended by the National Comprehensive Cancer Network in refractory colorectal cancer.</p><p><strong>Methods: </strong>A comprehensive search for related randomized controlled trials was conducted on PubMed, EMBASE, the Cochrane Library, and ClinicalTrials.gov. Safety was evaluated by aggregating treatment-related adverse events (TRAEs) and performing Bayesian network meta-analysis (NMA) for indirect comparisons. Pooled survival estimates of overall survival (OS) and progression-free survival (PFS) were conducted to assess treatment efficacy. For NMA of OS and PFS, time-variant fractional polynomial models were employed as the primary analysis, with Cox proportional hazards models used for result validation. Economic evaluations were performed using partitioned survival models from the US public sector perspective. Clinical parameters were sourced from meta-analyses; cost parameters included drug treatment, follow-up and administration, end-of-life care, and adverse event management expenses, which were obtained from the Federal Supply Schedule, public databases or published literature. Utility values were sourced from the CORRECT trial. Price simulations were also conducted. Robustness of results was confirmed by sensitivity and scenario analyses RESULTS: We included nine studies comprising 3,978 patients and incorporating six treatments recommended by NCCN, including best supportive care (BSC), regorafenib, regorafenib dose optimization (REDo), trifluridine/tipiracil (TAS-102), TAS-102 with bevacizumab (TAS-BEV), and fruquintinib. Targeted treatments increased serious TRAEs and grade 3 + TRAEs compared to BSC. However, no significant safety differences were found among the targeted therapies. Regarding efficacy, REDo led in median OS, while fruquintinib led in median PFS. NMA indicated that TAS-BEV had the greatest PFS and OS survival benefit, followed by fruquintinib and REDo. Cost-effectiveness analysis favored BSC as the least expensive and the most cost-effective profile. TAS-BEV had the greatest effectiveness, with TAS-102 being the most cost-effective among targeted therapies. For cost-effectiveness against BSC, the price reductions of TAS-102, fruquintinib, REDoS, regorafenib, and TAS-BEV were 39%, 24%, 14%, 8%, and 7%, respectively.</p><p><strong>Conclusions: </strong>Targeted therapies have comparable safety; TAS-BEV is highly effective, TAS-102 is the top cost-effective targeted therapy. Treatment choice should balance individual patient needs with safety, efficacy, and cost.</p>\",\"PeriodicalId\":46936,\"journal\":{\"name\":\"Health Economics Review\",\"volume\":\"15 1\",\"pages\":\"33\"},\"PeriodicalIF\":3.3000,\"publicationDate\":\"2025-04-11\",\"publicationTypes\":\"Journal Article\",\"fieldsOfStudy\":null,\"isOpenAccess\":false,\"openAccessPdf\":\"https://www.ncbi.nlm.nih.gov/pmc/articles/PMC11987259/pdf/\",\"citationCount\":\"0\",\"resultStr\":null,\"platform\":\"Semanticscholar\",\"paperid\":null,\"PeriodicalName\":\"Health Economics Review\",\"FirstCategoryId\":\"96\",\"ListUrlMain\":\"https://doi.org/10.1186/s13561-025-00622-x\",\"RegionNum\":3,\"RegionCategory\":\"经济学\",\"ArticlePicture\":[],\"TitleCN\":null,\"AbstractTextCN\":null,\"PMCID\":null,\"EPubDate\":\"\",\"PubModel\":\"\",\"JCR\":\"Q1\",\"JCRName\":\"ECONOMICS\",\"Score\":null,\"Total\":0}","platform":"Semanticscholar","paperid":null,"PeriodicalName":"Health Economics Review","FirstCategoryId":"96","ListUrlMain":"https://doi.org/10.1186/s13561-025-00622-x","RegionNum":3,"RegionCategory":"经济学","ArticlePicture":[],"TitleCN":null,"AbstractTextCN":null,"PMCID":null,"EPubDate":"","PubModel":"","JCR":"Q1","JCRName":"ECONOMICS","Score":null,"Total":0}
引用次数: 0

摘要

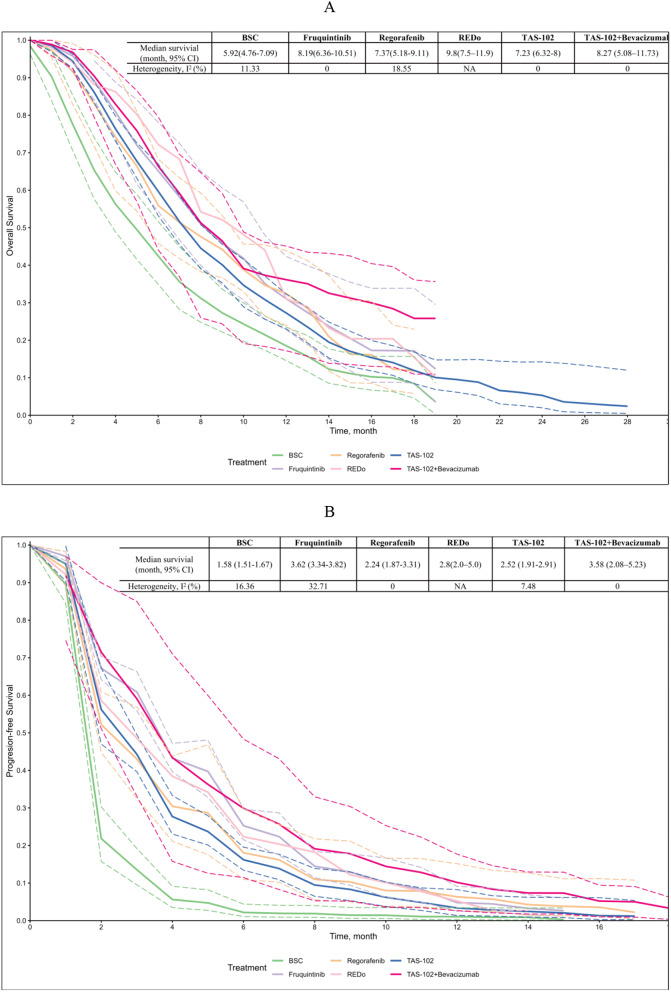
目的:对国家综合癌症网络推荐的治疗难治性结直肠癌的系统治疗进行安全性和有效性的汇总估计和比较评估,以及成本效益和基于价值的定价分析。方法:在PubMed、EMBASE、Cochrane图书馆和ClinicalTrials.gov上进行相关随机对照试验的综合检索。通过汇总治疗相关不良事件(TRAEs)和进行贝叶斯网络荟萃分析(NMA)进行间接比较来评估安全性。对总生存期(OS)和无进展生存期(PFS)进行合并生存评估,以评估治疗效果。对于OS和PFS的NMA,采用时变分数多项式模型作为主要分析,并采用Cox比例风险模型进行结果验证。从美国公共部门的角度出发,使用分区生存模型进行经济评估。临床参数来源于荟萃分析;成本参数包括药物治疗、随访和给药、临终关怀和不良事件管理费用,这些数据来自联邦供应表、公共数据库或已发表的文献。效用值来源于CORRECT试验。还进行了价格模拟。结果:我们纳入了9项研究,包括3,978名患者,纳入了NCCN推荐的6种治疗方法,包括最佳支持治疗(BSC)、瑞非尼、瑞非尼剂量优化(REDo)、三氟定/替吡拉西(TAS-102)、TAS-102联合贝伐单抗(TAS-BEV)和fruquininib。与BSC相比,靶向治疗增加了严重TRAEs和3 +级TRAEs。然而,两种靶向治疗的安全性没有显著差异。在疗效方面,REDo在中位OS中领先,而fruquininib在中位PFS中领先。NMA显示,TAS-BEV具有最大的PFS和OS生存获益,其次是fruquininib和REDo。成本效益分析认为平衡记分卡是最便宜和最具成本效益的。TAS-BEV的疗效最好,而TAS-102是靶向治疗中最具成本效益的。对于BSC的成本效益,TAS-102、fruquininib、REDoS、regorafenib和TAS-BEV的价格分别下降了39%、24%、14%、8%和7%。结论:靶向治疗具有相当的安全性;TAS-BEV疗效显著,TAS-102是性价比最高的靶向治疗药物。治疗选择应平衡个体患者的需求与安全性,有效性和成本。
本文章由计算机程序翻译,如有差异,请以英文原文为准。

Safety, efficacy, and cost-effectiveness evaluation of systemic treatments for refractory colorectal cancer: a systematic review and modeling study.

Safety, efficacy, and cost-effectiveness evaluation of systemic treatments for refractory colorectal cancer: a systematic review and modeling study.

Safety, efficacy, and cost-effectiveness evaluation of systemic treatments for refractory colorectal cancer: a systematic review and modeling study.

Safety, efficacy, and cost-effectiveness evaluation of systemic treatments for refractory colorectal cancer: a systematic review and modeling study.

Objectives: To conduct pooled estimates and comparative evaluations of safety and efficacy, alongside cost-effectiveness and value-based pricing analyses, for systemic treatments recommended by the National Comprehensive Cancer Network in refractory colorectal cancer.

Methods: A comprehensive search for related randomized controlled trials was conducted on PubMed, EMBASE, the Cochrane Library, and ClinicalTrials.gov. Safety was evaluated by aggregating treatment-related adverse events (TRAEs) and performing Bayesian network meta-analysis (NMA) for indirect comparisons. Pooled survival estimates of overall survival (OS) and progression-free survival (PFS) were conducted to assess treatment efficacy. For NMA of OS and PFS, time-variant fractional polynomial models were employed as the primary analysis, with Cox proportional hazards models used for result validation. Economic evaluations were performed using partitioned survival models from the US public sector perspective. Clinical parameters were sourced from meta-analyses; cost parameters included drug treatment, follow-up and administration, end-of-life care, and adverse event management expenses, which were obtained from the Federal Supply Schedule, public databases or published literature. Utility values were sourced from the CORRECT trial. Price simulations were also conducted. Robustness of results was confirmed by sensitivity and scenario analyses RESULTS: We included nine studies comprising 3,978 patients and incorporating six treatments recommended by NCCN, including best supportive care (BSC), regorafenib, regorafenib dose optimization (REDo), trifluridine/tipiracil (TAS-102), TAS-102 with bevacizumab (TAS-BEV), and fruquintinib. Targeted treatments increased serious TRAEs and grade 3 + TRAEs compared to BSC. However, no significant safety differences were found among the targeted therapies. Regarding efficacy, REDo led in median OS, while fruquintinib led in median PFS. NMA indicated that TAS-BEV had the greatest PFS and OS survival benefit, followed by fruquintinib and REDo. Cost-effectiveness analysis favored BSC as the least expensive and the most cost-effective profile. TAS-BEV had the greatest effectiveness, with TAS-102 being the most cost-effective among targeted therapies. For cost-effectiveness against BSC, the price reductions of TAS-102, fruquintinib, REDoS, regorafenib, and TAS-BEV were 39%, 24%, 14%, 8%, and 7%, respectively.

Conclusions: Targeted therapies have comparable safety; TAS-BEV is highly effective, TAS-102 is the top cost-effective targeted therapy. Treatment choice should balance individual patient needs with safety, efficacy, and cost.

求助全文
通过发布文献求助,成功后即可免费获取论文全文。 去求助
来源期刊
CiteScore
3.90
自引率
4.20%
发文量
59
审稿时长
13 weeks
期刊介绍: Health Economics Review is an international high-quality journal covering all fields of Health Economics. A broad range of theoretical contributions, empirical studies and analyses of health policy with a health economic focus will be considered for publication. Its scope includes macro- and microeconomics of health care financing, health insurance and reimbursement as well as health economic evaluation, health services research and health policy analysis. Further research topics are the individual and institutional aspects of health care management and the growing importance of health care in developing countries.
×
引用
GB/T 7714-2015
复制
MLA
复制
APA
复制
导出至
BibTeX EndNote RefMan NoteFirst NoteExpress
×
提示
您的信息不完整,为了账户安全,请先补充。
现在去补充
×
提示
您因"违规操作"
具体请查看互助需知
我知道了
×
提示
确定
请完成安全验证×
copy
已复制链接
快去分享给好友吧!
我知道了
右上角分享
点击右上角分享
0
联系我们:info@booksci.cn Book学术提供免费学术资源搜索服务,方便国内外学者检索中英文文献。致力于提供最便捷和优质的服务体验。 Copyright © 2023 布克学术 All rights reserved.
京ICP备2023020795号-1
ghs 京公网安备 11010802042870号
Book学术文献互助
Book学术文献互助群
群 号:604180095
Book学术官方微信