经导管主动脉瓣植入术后未经治疗的中度二尖瓣反流的演变。

IF 2.4 4区 医学 Q1 MEDICINE, GENERAL & INTERNAL
Massimo Baudo, Serge Sicouri, Francesco Cabrucci, Yoshiyuki Yamashita, Dimitrios E Magouliotis, Sarah M Carnila, Sandra V Abramson, Katie M Hawthorne, Harish Jarrett, Roberto Rodriguez, Scott M Goldman, Paul M Coady, Eric M Gnall, William A Gray, Sandro Gelsomino, Basel Ramlawi
{"title":"经导管主动脉瓣植入术后未经治疗的中度二尖瓣反流的演变。","authors":"Massimo Baudo, Serge Sicouri, Francesco Cabrucci, Yoshiyuki Yamashita, Dimitrios E Magouliotis, Sarah M Carnila, Sandra V Abramson, Katie M Hawthorne, Harish Jarrett, Roberto Rodriguez, Scott M Goldman, Paul M Coady, Eric M Gnall, William A Gray, Sandro Gelsomino, Basel Ramlawi","doi":"10.3390/medicina61040686","DOIUrl":null,"url":null,"abstract":"<p><p><i>Background and Objectives</i>: Associated mitral regurgitation (MR) is frequently observed during transcatheter aortic valve implantation (TAVI). The progression of moderate MR remains undetermined, given uncertain clinical significance and natural history. This study aims to assess the evolution of moderate MR following TAVI. <i>Materials and Methods</i>: Between 2018 and 2023, 1476 patients underwent TAVI. We excluded those with previous aortic or mitral valve interventions, endocarditis, concomitant percutaneous coronary intervention, or emergent procedures. Patients with severe aortic or tricuspid regurgitation or significant mitral stenosis were excluded. Ultimately, only patients with moderate MR were included, resulting in a final population of 154 patients. <i>Results</i>: Mean age was 81.4 ± 7.8 years, 48.1% (74/154) were female, and 48.1% (74/154) were functional MR. There was one surgical conversion due to annular rupture. Thirty-day mortality was 1.9% (3/154). Postoperative echocardiography showed 38 (24.7%) patients with none/trace MR, 91 (59.1%) with mild MR, 22 (14.3%) with moderate MR, and 3 (1.9%) with severe MR. Finally, according to the echocardiographic follow-up [median follow-up 1.0 (IQR: 0.1-1.2) years], 20.1% (31/154) had no/trace MR, 39.6% (61/154) had mild MR, 35.7% (55/154) had moderate MR, and 4.5% (7/154) had severe MR. Overall, 67 (43.5%) patients had any MR grade progression, 62 (40.3%) had stable disease, and 25 (16.2%) had any MR grade reduction at the last follow-up from the operation. No difference in MR evolution was seen between functional and primary MR. <i>Conclusions</i>: Concomitant moderate MR during TAVI has a variable evolution over time. A more detailed characterization of patients with preoperative moderate MR undergoing TAVI is necessary to identify those with a disease progression risk.</p>","PeriodicalId":49830,"journal":{"name":"Medicina-Lithuania","volume":"61 4","pages":""},"PeriodicalIF":2.4000,"publicationDate":"2025-04-09","publicationTypes":"Journal Article","fieldsOfStudy":null,"isOpenAccess":false,"openAccessPdf":"https://www.ncbi.nlm.nih.gov/pmc/articles/PMC12028619/pdf/","citationCount":"0","resultStr":"{\"title\":\"Evolution of Untreated Moderate Mitral Regurgitation After Transcatheter Aortic Valve Implantation.\",\"authors\":\"Massimo Baudo, Serge Sicouri, Francesco Cabrucci, Yoshiyuki Yamashita, Dimitrios E Magouliotis, Sarah M Carnila, Sandra V Abramson, Katie M Hawthorne, Harish Jarrett, Roberto Rodriguez, Scott M Goldman, Paul M Coady, Eric M Gnall, William A Gray, Sandro Gelsomino, Basel Ramlawi\",\"doi\":\"10.3390/medicina61040686\",\"DOIUrl\":null,\"url\":null,\"abstract\":\"<p><p><i>Background and Objectives</i>: Associated mitral regurgitation (MR) is frequently observed during transcatheter aortic valve implantation (TAVI). The progression of moderate MR remains undetermined, given uncertain clinical significance and natural history. This study aims to assess the evolution of moderate MR following TAVI. <i>Materials and Methods</i>: Between 2018 and 2023, 1476 patients underwent TAVI. We excluded those with previous aortic or mitral valve interventions, endocarditis, concomitant percutaneous coronary intervention, or emergent procedures. Patients with severe aortic or tricuspid regurgitation or significant mitral stenosis were excluded. Ultimately, only patients with moderate MR were included, resulting in a final population of 154 patients. <i>Results</i>: Mean age was 81.4 ± 7.8 years, 48.1% (74/154) were female, and 48.1% (74/154) were functional MR. There was one surgical conversion due to annular rupture. Thirty-day mortality was 1.9% (3/154). Postoperative echocardiography showed 38 (24.7%) patients with none/trace MR, 91 (59.1%) with mild MR, 22 (14.3%) with moderate MR, and 3 (1.9%) with severe MR. Finally, according to the echocardiographic follow-up [median follow-up 1.0 (IQR: 0.1-1.2) years], 20.1% (31/154) had no/trace MR, 39.6% (61/154) had mild MR, 35.7% (55/154) had moderate MR, and 4.5% (7/154) had severe MR. Overall, 67 (43.5%) patients had any MR grade progression, 62 (40.3%) had stable disease, and 25 (16.2%) had any MR grade reduction at the last follow-up from the operation. No difference in MR evolution was seen between functional and primary MR. <i>Conclusions</i>: Concomitant moderate MR during TAVI has a variable evolution over time. A more detailed characterization of patients with preoperative moderate MR undergoing TAVI is necessary to identify those with a disease progression risk.</p>\",\"PeriodicalId\":49830,\"journal\":{\"name\":\"Medicina-Lithuania\",\"volume\":\"61 4\",\"pages\":\"\"},\"PeriodicalIF\":2.4000,\"publicationDate\":\"2025-04-09\",\"publicationTypes\":\"Journal Article\",\"fieldsOfStudy\":null,\"isOpenAccess\":false,\"openAccessPdf\":\"https://www.ncbi.nlm.nih.gov/pmc/articles/PMC12028619/pdf/\",\"citationCount\":\"0\",\"resultStr\":null,\"platform\":\"Semanticscholar\",\"paperid\":null,\"PeriodicalName\":\"Medicina-Lithuania\",\"FirstCategoryId\":\"3\",\"ListUrlMain\":\"https://doi.org/10.3390/medicina61040686\",\"RegionNum\":4,\"RegionCategory\":\"医学\",\"ArticlePicture\":[],\"TitleCN\":null,\"AbstractTextCN\":null,\"PMCID\":null,\"EPubDate\":\"\",\"PubModel\":\"\",\"JCR\":\"Q1\",\"JCRName\":\"MEDICINE, GENERAL & INTERNAL\",\"Score\":null,\"Total\":0}","platform":"Semanticscholar","paperid":null,"PeriodicalName":"Medicina-Lithuania","FirstCategoryId":"3","ListUrlMain":"https://doi.org/10.3390/medicina61040686","RegionNum":4,"RegionCategory":"医学","ArticlePicture":[],"TitleCN":null,"AbstractTextCN":null,"PMCID":null,"EPubDate":"","PubModel":"","JCR":"Q1","JCRName":"MEDICINE, GENERAL & INTERNAL","Score":null,"Total":0}
引用次数: 0

摘要

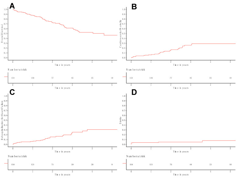
背景与目的:经导管主动脉瓣植入术(TAVI)中经常观察到相关的二尖瓣反流(MR)。鉴于不确定的临床意义和自然病史,中度MR的进展仍不确定。本研究旨在评估TAVI后中度MR的演变。材料和方法:2018年至2023年,1476例患者接受了TAVI。我们排除了既往有主动脉瓣或二尖瓣介入治疗、心内膜炎、合并经皮冠状动脉介入治疗或紧急手术的患者。排除有严重主动脉瓣或三尖瓣反流或明显二尖瓣狭窄的患者。最终,仅纳入中度MR患者,最终纳入154例患者。结果:平均年龄81.4±7.8岁,女性48.1%(74/154),功能性mr 48.1%(74/154)。30天死亡率为1.9%(3/154)。术后超声心动图显示无磁共振38例(24.7%),轻度磁共振91例(59.1%),中度磁共振22例(14.3%),重度磁共振3例(1.9%)。根据超声心动图随访[中位随访1.0 (IQR:其中,20.1%(31/154)患者无/迹MR, 39.6%(61/154)患者有轻度MR, 35.7%(55/154)患者有中度MR, 4.5%(7/154)患者有重度MR。总体而言,67例(43.5%)患者有MR等级进展,62例(40.3%)患者病情稳定,25例(16.2%)患者在手术后最后一次随访时MR等级有所下降。结论:TAVI期间伴随的中度MR随时间的变化而变化。对于术前接受TAVI的中度MR患者,有必要对其进行更详细的特征描述,以确定哪些患者有疾病进展风险。
本文章由计算机程序翻译,如有差异,请以英文原文为准。

Evolution of Untreated Moderate Mitral Regurgitation After Transcatheter Aortic Valve Implantation.

Evolution of Untreated Moderate Mitral Regurgitation After Transcatheter Aortic Valve Implantation.

Evolution of Untreated Moderate Mitral Regurgitation After Transcatheter Aortic Valve Implantation.

Evolution of Untreated Moderate Mitral Regurgitation After Transcatheter Aortic Valve Implantation.

Background and Objectives: Associated mitral regurgitation (MR) is frequently observed during transcatheter aortic valve implantation (TAVI). The progression of moderate MR remains undetermined, given uncertain clinical significance and natural history. This study aims to assess the evolution of moderate MR following TAVI. Materials and Methods: Between 2018 and 2023, 1476 patients underwent TAVI. We excluded those with previous aortic or mitral valve interventions, endocarditis, concomitant percutaneous coronary intervention, or emergent procedures. Patients with severe aortic or tricuspid regurgitation or significant mitral stenosis were excluded. Ultimately, only patients with moderate MR were included, resulting in a final population of 154 patients. Results: Mean age was 81.4 ± 7.8 years, 48.1% (74/154) were female, and 48.1% (74/154) were functional MR. There was one surgical conversion due to annular rupture. Thirty-day mortality was 1.9% (3/154). Postoperative echocardiography showed 38 (24.7%) patients with none/trace MR, 91 (59.1%) with mild MR, 22 (14.3%) with moderate MR, and 3 (1.9%) with severe MR. Finally, according to the echocardiographic follow-up [median follow-up 1.0 (IQR: 0.1-1.2) years], 20.1% (31/154) had no/trace MR, 39.6% (61/154) had mild MR, 35.7% (55/154) had moderate MR, and 4.5% (7/154) had severe MR. Overall, 67 (43.5%) patients had any MR grade progression, 62 (40.3%) had stable disease, and 25 (16.2%) had any MR grade reduction at the last follow-up from the operation. No difference in MR evolution was seen between functional and primary MR. Conclusions: Concomitant moderate MR during TAVI has a variable evolution over time. A more detailed characterization of patients with preoperative moderate MR undergoing TAVI is necessary to identify those with a disease progression risk.

求助全文
通过发布文献求助,成功后即可免费获取论文全文。 去求助
来源期刊
Medicina-Lithuania
Medicina-Lithuania 医学-医学:内科
CiteScore
3.30
自引率
3.80%
发文量
1578
审稿时长
25.04 days
期刊介绍: The journal’s main focus is on reviews as well as clinical and experimental investigations. The journal aims to advance knowledge related to problems in medicine in developing countries as well as developed economies, to disseminate research on global health, and to promote and foster prevention and treatment of diseases worldwide. MEDICINA publications cater to clinicians, diagnosticians and researchers, and serve as a forum to discuss the current status of health-related matters and their impact on a global and local scale.
×
引用
GB/T 7714-2015
复制
MLA
复制
APA
复制
导出至
BibTeX EndNote RefMan NoteFirst NoteExpress
×
提示
您的信息不完整,为了账户安全,请先补充。
现在去补充
×
提示
您因"违规操作"
具体请查看互助需知
我知道了
×
提示
确定
请完成安全验证×
copy
已复制链接
快去分享给好友吧!
我知道了
右上角分享
点击右上角分享
0
联系我们:info@booksci.cn Book学术提供免费学术资源搜索服务,方便国内外学者检索中英文文献。致力于提供最便捷和优质的服务体验。 Copyright © 2023 布克学术 All rights reserved.
京ICP备2023020795号-1
ghs 京公网安备 11010802042870号
Book学术文献互助
Book学术文献互助群
群 号:604180095
Book学术官方微信