磁共振血管造影联合血清缺血修饰白蛋白对短暂性脑缺血发作后继发性脑梗死的预测价值。

IF 2.2 4区 医学 Q2 HEMATOLOGY
Lige Liu, Qiuyue Yan, Jingyi Ai, Rudong Jiao, Meng Li
{"title":"磁共振血管造影联合血清缺血修饰白蛋白对短暂性脑缺血发作后继发性脑梗死的预测价值。","authors":"Lige Liu, Qiuyue Yan, Jingyi Ai, Rudong Jiao, Meng Li","doi":"10.1186/s12959-025-00717-9","DOIUrl":null,"url":null,"abstract":"<p><strong>Objective: </strong>This study investigated the diagnostic value of magnetic resonance angiography (MRA) combined with serum ischaemia-modifier albumin (IMA) testing in predicting secondary cerebral infarction (CI) following transient ischemic attack (TIA).</p><p><strong>Methods: </strong>All TIA patients underwent MRA and IMA level assessments, along with ABCD<sup>2</sup> scoring (a TIA risk stratification tool). Patients were categorized into secondary CI and non-CI groups based on the occurrence of CI within a 90-day follow-up period. Vessel stenosis, serum IMA levels, the predictive value of MRA and IMA levels for secondary CI after TIA, and the independent factors associated with secondary CI in TIA patients were analyzed.</p><p><strong>Results: </strong>The high-risk and intermediate-risk groups showed a higher proportion of moderate-severe vessel stenosis and elevated IMA levels compared to the low-risk group, with IMA levels significantly higher in the high-risk group than in the intermediate-risk group (P < 0.05). The secondary CI group exhibited a greater proportion of moderate-severe vessel stenosis and higher IMA levels compared to non-CI group (P < 0.05). The combined predictive model using MRA and IMA demonstrated a significantly higher area under the curve (AUC = 0.908) compared to MRA alone (AUC = 0.798; z = 3.083, P = 0.002), but only slightly higher than IMA alone (AUC = 0.875; z = 1.226, P = 0.220). Independent factors associated with secondary CI included advanced age, moderate-severe vessel stenosis, ABCD<sup>2</sup> scores, and elevated IMA levels (OR > 1, P < 0.05).</p><p><strong>Conclusion: </strong>Changes in MRA and IMA levels were correlated with disease severity in TIA patients. MAR combined with serum IMA demonstrated high predictive efficacy for secondary CI after TIA, making it a valuable tool for CI risk assessment. Independent factors associated with secondary CI included advanced age, moderate-severe vessel stenosis, intermediate-high-risk ABCD<sup>2</sup> scores, and elevated IMA levels.</p>","PeriodicalId":22982,"journal":{"name":"Thrombosis Journal","volume":"23 1","pages":"40"},"PeriodicalIF":2.2000,"publicationDate":"2025-04-28","publicationTypes":"Journal Article","fieldsOfStudy":null,"isOpenAccess":false,"openAccessPdf":"https://www.ncbi.nlm.nih.gov/pmc/articles/PMC12036210/pdf/","citationCount":"0","resultStr":"{\"title\":\"Predictive value of magnetic resonance angiography combined with serum ischemia-modified albumin for secondary cerebral infarction after transient ischemic attack.\",\"authors\":\"Lige Liu, Qiuyue Yan, Jingyi Ai, Rudong Jiao, Meng Li\",\"doi\":\"10.1186/s12959-025-00717-9\",\"DOIUrl\":null,\"url\":null,\"abstract\":\"<p><strong>Objective: </strong>This study investigated the diagnostic value of magnetic resonance angiography (MRA) combined with serum ischaemia-modifier albumin (IMA) testing in predicting secondary cerebral infarction (CI) following transient ischemic attack (TIA).</p><p><strong>Methods: </strong>All TIA patients underwent MRA and IMA level assessments, along with ABCD<sup>2</sup> scoring (a TIA risk stratification tool). Patients were categorized into secondary CI and non-CI groups based on the occurrence of CI within a 90-day follow-up period. Vessel stenosis, serum IMA levels, the predictive value of MRA and IMA levels for secondary CI after TIA, and the independent factors associated with secondary CI in TIA patients were analyzed.</p><p><strong>Results: </strong>The high-risk and intermediate-risk groups showed a higher proportion of moderate-severe vessel stenosis and elevated IMA levels compared to the low-risk group, with IMA levels significantly higher in the high-risk group than in the intermediate-risk group (P < 0.05). The secondary CI group exhibited a greater proportion of moderate-severe vessel stenosis and higher IMA levels compared to non-CI group (P < 0.05). The combined predictive model using MRA and IMA demonstrated a significantly higher area under the curve (AUC = 0.908) compared to MRA alone (AUC = 0.798; z = 3.083, P = 0.002), but only slightly higher than IMA alone (AUC = 0.875; z = 1.226, P = 0.220). Independent factors associated with secondary CI included advanced age, moderate-severe vessel stenosis, ABCD<sup>2</sup> scores, and elevated IMA levels (OR > 1, P < 0.05).</p><p><strong>Conclusion: </strong>Changes in MRA and IMA levels were correlated with disease severity in TIA patients. MAR combined with serum IMA demonstrated high predictive efficacy for secondary CI after TIA, making it a valuable tool for CI risk assessment. Independent factors associated with secondary CI included advanced age, moderate-severe vessel stenosis, intermediate-high-risk ABCD<sup>2</sup> scores, and elevated IMA levels.</p>\",\"PeriodicalId\":22982,\"journal\":{\"name\":\"Thrombosis Journal\",\"volume\":\"23 1\",\"pages\":\"40\"},\"PeriodicalIF\":2.2000,\"publicationDate\":\"2025-04-28\",\"publicationTypes\":\"Journal Article\",\"fieldsOfStudy\":null,\"isOpenAccess\":false,\"openAccessPdf\":\"https://www.ncbi.nlm.nih.gov/pmc/articles/PMC12036210/pdf/\",\"citationCount\":\"0\",\"resultStr\":null,\"platform\":\"Semanticscholar\",\"paperid\":null,\"PeriodicalName\":\"Thrombosis Journal\",\"FirstCategoryId\":\"3\",\"ListUrlMain\":\"https://doi.org/10.1186/s12959-025-00717-9\",\"RegionNum\":4,\"RegionCategory\":\"医学\",\"ArticlePicture\":[],\"TitleCN\":null,\"AbstractTextCN\":null,\"PMCID\":null,\"EPubDate\":\"\",\"PubModel\":\"\",\"JCR\":\"Q2\",\"JCRName\":\"HEMATOLOGY\",\"Score\":null,\"Total\":0}","platform":"Semanticscholar","paperid":null,"PeriodicalName":"Thrombosis Journal","FirstCategoryId":"3","ListUrlMain":"https://doi.org/10.1186/s12959-025-00717-9","RegionNum":4,"RegionCategory":"医学","ArticlePicture":[],"TitleCN":null,"AbstractTextCN":null,"PMCID":null,"EPubDate":"","PubModel":"","JCR":"Q2","JCRName":"HEMATOLOGY","Score":null,"Total":0}
引用次数: 0

摘要

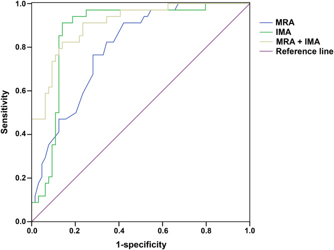
目的:探讨磁共振血管造影(MRA)联合血清缺血修饰白蛋白(IMA)检测对短暂性脑缺血发作(TIA)后继发性脑梗死(CI)的诊断价值。方法:所有TIA患者接受MRA和IMA水平评估,以及ABCD2评分(TIA风险分层工具)。根据90天随访期间CI的发生情况将患者分为继发性CI组和非CI组。分析TIA患者血管狭窄、血清IMA水平、MRA和IMA水平对TIA后继发性CI的预测价值,以及与TIA患者继发性CI相关的独立因素。结果:与低危组相比,高危组和中危组出现中重度血管狭窄和IMA水平升高的比例更高,且高危组IMA水平显著高于中危组(P 2评分),IMA水平升高(OR 1, P)。结论:TIA患者MRA和IMA水平的变化与病情严重程度相关。MAR联合血清IMA对TIA后继发性CI具有较高的预测效果,是评估CI风险的重要工具。与继发性CI相关的独立因素包括高龄、中重度血管狭窄、中高危ABCD2评分和IMA水平升高。
本文章由计算机程序翻译,如有差异,请以英文原文为准。

Predictive value of magnetic resonance angiography combined with serum ischemia-modified albumin for secondary cerebral infarction after transient ischemic attack.

Predictive value of magnetic resonance angiography combined with serum ischemia-modified albumin for secondary cerebral infarction after transient ischemic attack.

Objective: This study investigated the diagnostic value of magnetic resonance angiography (MRA) combined with serum ischaemia-modifier albumin (IMA) testing in predicting secondary cerebral infarction (CI) following transient ischemic attack (TIA).

Methods: All TIA patients underwent MRA and IMA level assessments, along with ABCD2 scoring (a TIA risk stratification tool). Patients were categorized into secondary CI and non-CI groups based on the occurrence of CI within a 90-day follow-up period. Vessel stenosis, serum IMA levels, the predictive value of MRA and IMA levels for secondary CI after TIA, and the independent factors associated with secondary CI in TIA patients were analyzed.

Results: The high-risk and intermediate-risk groups showed a higher proportion of moderate-severe vessel stenosis and elevated IMA levels compared to the low-risk group, with IMA levels significantly higher in the high-risk group than in the intermediate-risk group (P < 0.05). The secondary CI group exhibited a greater proportion of moderate-severe vessel stenosis and higher IMA levels compared to non-CI group (P < 0.05). The combined predictive model using MRA and IMA demonstrated a significantly higher area under the curve (AUC = 0.908) compared to MRA alone (AUC = 0.798; z = 3.083, P = 0.002), but only slightly higher than IMA alone (AUC = 0.875; z = 1.226, P = 0.220). Independent factors associated with secondary CI included advanced age, moderate-severe vessel stenosis, ABCD2 scores, and elevated IMA levels (OR > 1, P < 0.05).

Conclusion: Changes in MRA and IMA levels were correlated with disease severity in TIA patients. MAR combined with serum IMA demonstrated high predictive efficacy for secondary CI after TIA, making it a valuable tool for CI risk assessment. Independent factors associated with secondary CI included advanced age, moderate-severe vessel stenosis, intermediate-high-risk ABCD2 scores, and elevated IMA levels.

求助全文
通过发布文献求助,成功后即可免费获取论文全文。 去求助
来源期刊
Thrombosis Journal
Thrombosis Journal Medicine-Hematology
CiteScore
3.80
自引率
3.20%
发文量
69
审稿时长
16 weeks
期刊介绍: Thrombosis Journal is an open-access journal that publishes original articles on aspects of clinical and basic research, new methodology, case reports and reviews in the areas of thrombosis. Topics of particular interest include the diagnosis of arterial and venous thrombosis, new antithrombotic treatments, new developments in the understanding, diagnosis and treatments of atherosclerotic vessel disease, relations between haemostasis and vascular disease, hypertension, diabetes, immunology and obesity.
×
引用
GB/T 7714-2015
复制
MLA
复制
APA
复制
导出至
BibTeX EndNote RefMan NoteFirst NoteExpress
×
提示
您的信息不完整,为了账户安全,请先补充。
现在去补充
×
提示
您因"违规操作"
具体请查看互助需知
我知道了
×
提示
确定
请完成安全验证×
copy
已复制链接
快去分享给好友吧!
我知道了
右上角分享
点击右上角分享
0
联系我们:info@booksci.cn Book学术提供免费学术资源搜索服务,方便国内外学者检索中英文文献。致力于提供最便捷和优质的服务体验。 Copyright © 2023 布克学术 All rights reserved.
京ICP备2023020795号-1
ghs 京公网安备 11010802042870号
Book学术文献互助
Book学术文献互助群
群 号:604180095
Book学术官方微信