赌博障碍的执行功能:神经心理学证据的元分析。

IF 2.2 3区 心理学 Q2 PSYCHOLOGY, MULTIDISCIPLINARY
Journal of Gambling Studies Pub Date : 2025-06-01 Epub Date: 2025-04-10 DOI:10.1007/s10899-025-10383-1
Miguel Peixoto, Artemisa Dores, Maria Monteiro, António Marques, Fernando Barbosa
{"title":"赌博障碍的执行功能:神经心理学证据的元分析。","authors":"Miguel Peixoto, Artemisa Dores, Maria Monteiro, António Marques, Fernando Barbosa","doi":"10.1007/s10899-025-10383-1","DOIUrl":null,"url":null,"abstract":"<p><p>Gambling disorder (GD) is associated with deficits in various cognitive functions. Specifically for executive function (EF), previous findings are inconsistent, despite deficits being reported for shifting, inhibition, planning, and working memory domains. Although a worse performance in EF measures related to GD severity is often reported, there is a need to clarify current evidence. This study aims to systematically review and perform a meta-analysis to clarify the association between EF deficits and GD. The current study followed the preferred reporting items for systematic reviews and meta-analyses protocols. The meta-analysis used a random effects model and robust variance estimation to analyze the data, using Hedge's g to report effect sizes. A total of 21 studies were systematically reviewed, of which 17 were included for meta-analysis. Meta-analysis was performed for shifting, inhibition, planning, and verbal fluency. Due to a lower number of studies, working memory data was systematically reviewed, but no meta-analysis was performed. Significant effect sizes were found for shifting and inhibition, indicative of deficits in participants with GD. No significant deficits were found for the other EF domains. Working memory results revealed inconsistent evidence, even when divided into verbal and visuospatial modalities. There is enough evidence of deficits in shifting and inhibition in participants with GD. However, better sample characterization should be considered in future studies to better understand the sources of potential heterogeneity. Consideration of gambling severity as a continuous variable could allow for a more detailed analysis of EF alterations across the various degrees of GD.</p>","PeriodicalId":48155,"journal":{"name":"Journal of Gambling Studies","volume":" ","pages":"449-488"},"PeriodicalIF":2.2000,"publicationDate":"2025-06-01","publicationTypes":"Journal Article","fieldsOfStudy":null,"isOpenAccess":false,"openAccessPdf":"https://www.ncbi.nlm.nih.gov/pmc/articles/PMC12116736/pdf/","citationCount":"0","resultStr":"{\"title\":\"Executive Function in Gambling Disorder: A Meta-analysis on Neuropsychological Evidence.\",\"authors\":\"Miguel Peixoto, Artemisa Dores, Maria Monteiro, António Marques, Fernando Barbosa\",\"doi\":\"10.1007/s10899-025-10383-1\",\"DOIUrl\":null,\"url\":null,\"abstract\":\"<p><p>Gambling disorder (GD) is associated with deficits in various cognitive functions. Specifically for executive function (EF), previous findings are inconsistent, despite deficits being reported for shifting, inhibition, planning, and working memory domains. Although a worse performance in EF measures related to GD severity is often reported, there is a need to clarify current evidence. This study aims to systematically review and perform a meta-analysis to clarify the association between EF deficits and GD. The current study followed the preferred reporting items for systematic reviews and meta-analyses protocols. The meta-analysis used a random effects model and robust variance estimation to analyze the data, using Hedge's g to report effect sizes. A total of 21 studies were systematically reviewed, of which 17 were included for meta-analysis. Meta-analysis was performed for shifting, inhibition, planning, and verbal fluency. Due to a lower number of studies, working memory data was systematically reviewed, but no meta-analysis was performed. Significant effect sizes were found for shifting and inhibition, indicative of deficits in participants with GD. No significant deficits were found for the other EF domains. Working memory results revealed inconsistent evidence, even when divided into verbal and visuospatial modalities. There is enough evidence of deficits in shifting and inhibition in participants with GD. However, better sample characterization should be considered in future studies to better understand the sources of potential heterogeneity. Consideration of gambling severity as a continuous variable could allow for a more detailed analysis of EF alterations across the various degrees of GD.</p>\",\"PeriodicalId\":48155,\"journal\":{\"name\":\"Journal of Gambling Studies\",\"volume\":\" \",\"pages\":\"449-488\"},\"PeriodicalIF\":2.2000,\"publicationDate\":\"2025-06-01\",\"publicationTypes\":\"Journal Article\",\"fieldsOfStudy\":null,\"isOpenAccess\":false,\"openAccessPdf\":\"https://www.ncbi.nlm.nih.gov/pmc/articles/PMC12116736/pdf/\",\"citationCount\":\"0\",\"resultStr\":null,\"platform\":\"Semanticscholar\",\"paperid\":null,\"PeriodicalName\":\"Journal of Gambling Studies\",\"FirstCategoryId\":\"102\",\"ListUrlMain\":\"https://doi.org/10.1007/s10899-025-10383-1\",\"RegionNum\":3,\"RegionCategory\":\"心理学\",\"ArticlePicture\":[],\"TitleCN\":null,\"AbstractTextCN\":null,\"PMCID\":null,\"EPubDate\":\"2025/4/10 0:00:00\",\"PubModel\":\"Epub\",\"JCR\":\"Q2\",\"JCRName\":\"PSYCHOLOGY, MULTIDISCIPLINARY\",\"Score\":null,\"Total\":0}","platform":"Semanticscholar","paperid":null,"PeriodicalName":"Journal of Gambling Studies","FirstCategoryId":"102","ListUrlMain":"https://doi.org/10.1007/s10899-025-10383-1","RegionNum":3,"RegionCategory":"心理学","ArticlePicture":[],"TitleCN":null,"AbstractTextCN":null,"PMCID":null,"EPubDate":"2025/4/10 0:00:00","PubModel":"Epub","JCR":"Q2","JCRName":"PSYCHOLOGY, MULTIDISCIPLINARY","Score":null,"Total":0}
引用次数: 0

摘要

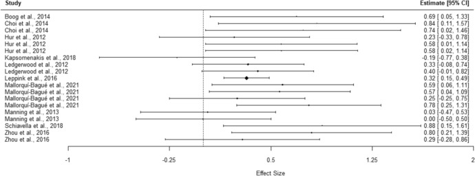
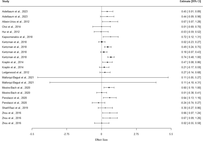
赌博障碍(GD)与多种认知功能缺陷有关。特别是在执行功能(EF)方面,尽管报道了转移、抑制、计划和工作记忆领域的缺陷,但先前的研究结果并不一致。虽然经常报道与GD严重程度相关的EF测量的较差表现,但需要澄清当前的证据。本研究旨在系统回顾并进行荟萃分析,以阐明EF赤字与GD之间的关系。目前的研究遵循了系统评价和荟萃分析方案的首选报告项目。荟萃分析使用随机效应模型和稳健方差估计来分析数据,使用Hedge's g来报告效应大小。系统回顾了21项研究,其中17项纳入meta分析。对转移、抑制、计划和语言流畅性进行meta分析。由于研究数量较少,对工作记忆数据进行了系统回顾,但没有进行meta分析。在转移和抑制方面发现了显著的效应值,表明GD参与者存在缺陷。其他EF结构域未发现明显缺陷。工作记忆的结果显示了不一致的证据,即使被分为语言和视觉空间模式。有足够的证据表明,GD参与者在转移和抑制方面存在缺陷。然而,在未来的研究中应该考虑更好的样本表征,以更好地了解潜在异质性的来源。将赌博严重程度作为一个连续变量考虑,可以更详细地分析不同GD程度的EF变化。
本文章由计算机程序翻译,如有差异,请以英文原文为准。

Executive Function in Gambling Disorder: A Meta-analysis on Neuropsychological Evidence.

Executive Function in Gambling Disorder: A Meta-analysis on Neuropsychological Evidence.

Executive Function in Gambling Disorder: A Meta-analysis on Neuropsychological Evidence.

Executive Function in Gambling Disorder: A Meta-analysis on Neuropsychological Evidence.

Gambling disorder (GD) is associated with deficits in various cognitive functions. Specifically for executive function (EF), previous findings are inconsistent, despite deficits being reported for shifting, inhibition, planning, and working memory domains. Although a worse performance in EF measures related to GD severity is often reported, there is a need to clarify current evidence. This study aims to systematically review and perform a meta-analysis to clarify the association between EF deficits and GD. The current study followed the preferred reporting items for systematic reviews and meta-analyses protocols. The meta-analysis used a random effects model and robust variance estimation to analyze the data, using Hedge's g to report effect sizes. A total of 21 studies were systematically reviewed, of which 17 were included for meta-analysis. Meta-analysis was performed for shifting, inhibition, planning, and verbal fluency. Due to a lower number of studies, working memory data was systematically reviewed, but no meta-analysis was performed. Significant effect sizes were found for shifting and inhibition, indicative of deficits in participants with GD. No significant deficits were found for the other EF domains. Working memory results revealed inconsistent evidence, even when divided into verbal and visuospatial modalities. There is enough evidence of deficits in shifting and inhibition in participants with GD. However, better sample characterization should be considered in future studies to better understand the sources of potential heterogeneity. Consideration of gambling severity as a continuous variable could allow for a more detailed analysis of EF alterations across the various degrees of GD.

求助全文
通过发布文献求助,成功后即可免费获取论文全文。 去求助
来源期刊
CiteScore
5.00
自引率
16.70%
发文量
72
期刊介绍: Journal of Gambling Studies is an interdisciplinary forum for the dissemination on the many aspects of gambling behavior, both controlled and pathological, as well as variety of problems attendant to, or resultant from, gambling behavior including alcoholism, suicide, crime, and a number of other mental health problems. Articles published in this journal are representative of a cross-section of disciplines including psychiatry, psychology, sociology, political science, criminology, and social work.
×
引用
GB/T 7714-2015
复制
MLA
复制
APA
复制
导出至
BibTeX EndNote RefMan NoteFirst NoteExpress
×
提示
您的信息不完整,为了账户安全,请先补充。
现在去补充
×
提示
您因"违规操作"
具体请查看互助需知
我知道了
×
提示
确定
请完成安全验证×
copy
已复制链接
快去分享给好友吧!
我知道了
右上角分享
点击右上角分享
0
联系我们:info@booksci.cn Book学术提供免费学术资源搜索服务,方便国内外学者检索中英文文献。致力于提供最便捷和优质的服务体验。 Copyright © 2023 布克学术 All rights reserved.
京ICP备2023020795号-1
ghs 京公网安备 11010802042870号
Book学术文献互助
Book学术文献互助群
群 号:604180095
Book学术官方微信