眼动脱敏再处理治疗癌症复发恐惧:一项连续、随机的单例实验设计。

Q2 Psychology
Journal for Person-Oriented Research Pub Date : 2025-04-01 eCollection Date: 2025-01-01 DOI:10.17505/jpor.2025.27699
Pascalle A I Van der Wolf, Melanie P J Schellekens, Marije L van der Lee
{"title":"眼动脱敏再处理治疗癌症复发恐惧:一项连续、随机的单例实验设计。","authors":"Pascalle A I Van der Wolf, Melanie P J Schellekens, Marije L van der Lee","doi":"10.17505/jpor.2025.27699","DOIUrl":null,"url":null,"abstract":"<p><p>Fear of cancer recurrence (FCR) is defined as \"fear, worry, or concern relating to the possibility that cancer will come back or progress\". After cancer treatment, 20% of patients suffer from clinical fear of cancer recurrence (FCR), warranting specialized treatment. While intrusive catastrophic scenarios are clinical symptoms of FCR, they are rarely the key focus in current FCR treatments. Eye Movement Desensitization Reprocessing (EMDR) including the flash forward procedure explicitly addresses these intrusions. The present study explored whether EMDR is effective in treating clinical FCR. A sequentially replicated, randomized single-case experimental design was used among six cancer survivors with clinical levels of FCR. During an 84-day period, participants daily registered their FCR level. The Fear of Recurrence Inventory was administered at baseline, EMDR start, EMDR completion and study completion. The start of EMDR was randomized. All participants commented positively on the effect of EMDR during the semi-structured interviews: EMDR helped decrease intrusions and face death anxiety. Visual analysis of daily FCR were in line with these comments. Regression analysis showed a significant decrease of daily FCR in two participants, while the randomization test showed no effects. FCRI scores decreased below clinical levels in all participants, which was considered a reliable change in four participants. There was no drop-out. In light of these mixed findings, EMDR appears a promising treatment for FCR. Further research needs to establish its effectiveness and explore whether diminishing the emotional load of intrusions constitutes the working mechanism of EMDR in FCR.</p>","PeriodicalId":36744,"journal":{"name":"Journal for Person-Oriented Research","volume":"11 1","pages":"36-48"},"PeriodicalIF":0.0000,"publicationDate":"2025-04-01","publicationTypes":"Journal Article","fieldsOfStudy":null,"isOpenAccess":false,"openAccessPdf":"https://www.ncbi.nlm.nih.gov/pmc/articles/PMC11977781/pdf/","citationCount":"0","resultStr":"{\"title\":\"Treating Fear of Cancer Recurrence with Eye Movement Desensitization Reprocessing: A Sequential, Randomized Single-Case Experimental Design.\",\"authors\":\"Pascalle A I Van der Wolf, Melanie P J Schellekens, Marije L van der Lee\",\"doi\":\"10.17505/jpor.2025.27699\",\"DOIUrl\":null,\"url\":null,\"abstract\":\"<p><p>Fear of cancer recurrence (FCR) is defined as \\\"fear, worry, or concern relating to the possibility that cancer will come back or progress\\\". After cancer treatment, 20% of patients suffer from clinical fear of cancer recurrence (FCR), warranting specialized treatment. While intrusive catastrophic scenarios are clinical symptoms of FCR, they are rarely the key focus in current FCR treatments. Eye Movement Desensitization Reprocessing (EMDR) including the flash forward procedure explicitly addresses these intrusions. The present study explored whether EMDR is effective in treating clinical FCR. A sequentially replicated, randomized single-case experimental design was used among six cancer survivors with clinical levels of FCR. During an 84-day period, participants daily registered their FCR level. The Fear of Recurrence Inventory was administered at baseline, EMDR start, EMDR completion and study completion. The start of EMDR was randomized. All participants commented positively on the effect of EMDR during the semi-structured interviews: EMDR helped decrease intrusions and face death anxiety. Visual analysis of daily FCR were in line with these comments. Regression analysis showed a significant decrease of daily FCR in two participants, while the randomization test showed no effects. FCRI scores decreased below clinical levels in all participants, which was considered a reliable change in four participants. There was no drop-out. In light of these mixed findings, EMDR appears a promising treatment for FCR. Further research needs to establish its effectiveness and explore whether diminishing the emotional load of intrusions constitutes the working mechanism of EMDR in FCR.</p>\",\"PeriodicalId\":36744,\"journal\":{\"name\":\"Journal for Person-Oriented Research\",\"volume\":\"11 1\",\"pages\":\"36-48\"},\"PeriodicalIF\":0.0000,\"publicationDate\":\"2025-04-01\",\"publicationTypes\":\"Journal Article\",\"fieldsOfStudy\":null,\"isOpenAccess\":false,\"openAccessPdf\":\"https://www.ncbi.nlm.nih.gov/pmc/articles/PMC11977781/pdf/\",\"citationCount\":\"0\",\"resultStr\":null,\"platform\":\"Semanticscholar\",\"paperid\":null,\"PeriodicalName\":\"Journal for Person-Oriented Research\",\"FirstCategoryId\":\"1085\",\"ListUrlMain\":\"https://doi.org/10.17505/jpor.2025.27699\",\"RegionNum\":0,\"RegionCategory\":null,\"ArticlePicture\":[],\"TitleCN\":null,\"AbstractTextCN\":null,\"PMCID\":null,\"EPubDate\":\"2025/1/1 0:00:00\",\"PubModel\":\"eCollection\",\"JCR\":\"Q2\",\"JCRName\":\"Psychology\",\"Score\":null,\"Total\":0}","platform":"Semanticscholar","paperid":null,"PeriodicalName":"Journal for Person-Oriented Research","FirstCategoryId":"1085","ListUrlMain":"https://doi.org/10.17505/jpor.2025.27699","RegionNum":0,"RegionCategory":null,"ArticlePicture":[],"TitleCN":null,"AbstractTextCN":null,"PMCID":null,"EPubDate":"2025/1/1 0:00:00","PubModel":"eCollection","JCR":"Q2","JCRName":"Psychology","Score":null,"Total":0}
引用次数: 0

摘要

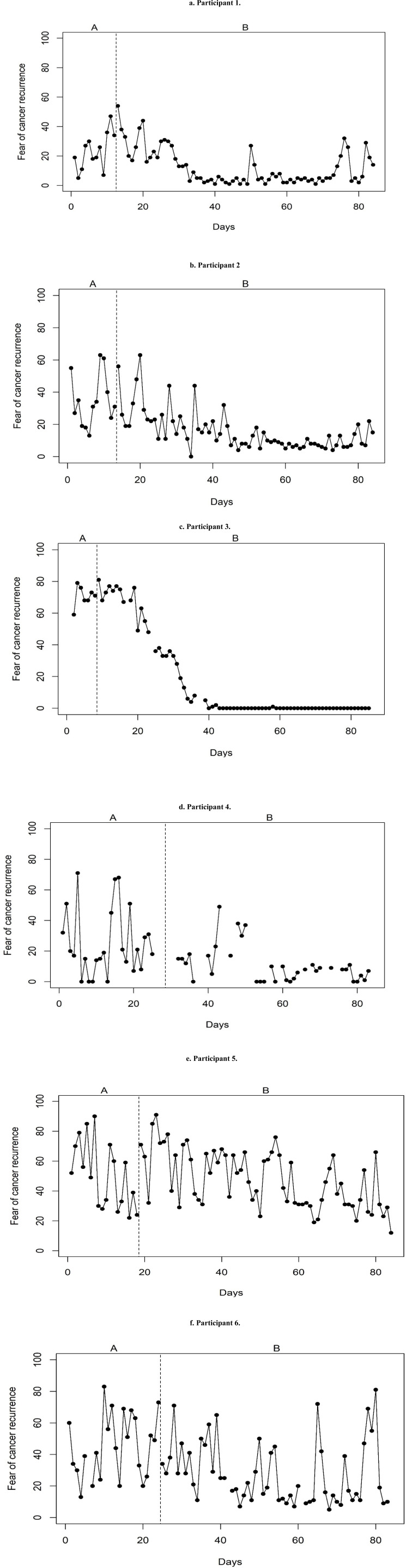
癌症复发恐惧(Fear of cancer recurrence,简称FCR)被定义为“对癌症复发或进展的可能性感到恐惧、担心或担心”。癌症治疗后,20%的患者有临床恐惧癌症复发(FCR),需要专门治疗。虽然侵入性灾难性情景是FCR的临床症状,但它们很少是当前FCR治疗的重点。眼动脱敏再处理(EMDR)包括闪进程序明确解决这些入侵。本研究探讨EMDR治疗临床FCR是否有效。在6名具有临床FCR水平的癌症幸存者中采用了顺序重复、随机的单例实验设计。在84天的时间里,参与者每天记录他们的FCR水平。在基线、EMDR开始、EMDR完成和研究结束时进行复发恐惧量表。EMDR的开始是随机的。在半结构化访谈中,所有参与者都积极评价EMDR的效果:EMDR有助于减少干扰和面对死亡焦虑。每日FCR的目视分析与这些评论一致。回归分析显示两名参与者的每日FCR显著降低,而随机化试验显示无影响。所有参与者的FCRI评分都低于临床水平,这在4名参与者中被认为是可靠的变化。没有人中途退出。鉴于这些混杂的发现,EMDR似乎是一种有希望的治疗FCR的方法。进一步的研究需要证实其有效性,并探讨减少干扰的情绪负荷是否构成EMDR在FCR中的工作机制。
本文章由计算机程序翻译,如有差异,请以英文原文为准。

Treating Fear of Cancer Recurrence with Eye Movement Desensitization Reprocessing: A Sequential, Randomized Single-Case Experimental Design.

Treating Fear of Cancer Recurrence with Eye Movement Desensitization Reprocessing: A Sequential, Randomized Single-Case Experimental Design.

Fear of cancer recurrence (FCR) is defined as "fear, worry, or concern relating to the possibility that cancer will come back or progress". After cancer treatment, 20% of patients suffer from clinical fear of cancer recurrence (FCR), warranting specialized treatment. While intrusive catastrophic scenarios are clinical symptoms of FCR, they are rarely the key focus in current FCR treatments. Eye Movement Desensitization Reprocessing (EMDR) including the flash forward procedure explicitly addresses these intrusions. The present study explored whether EMDR is effective in treating clinical FCR. A sequentially replicated, randomized single-case experimental design was used among six cancer survivors with clinical levels of FCR. During an 84-day period, participants daily registered their FCR level. The Fear of Recurrence Inventory was administered at baseline, EMDR start, EMDR completion and study completion. The start of EMDR was randomized. All participants commented positively on the effect of EMDR during the semi-structured interviews: EMDR helped decrease intrusions and face death anxiety. Visual analysis of daily FCR were in line with these comments. Regression analysis showed a significant decrease of daily FCR in two participants, while the randomization test showed no effects. FCRI scores decreased below clinical levels in all participants, which was considered a reliable change in four participants. There was no drop-out. In light of these mixed findings, EMDR appears a promising treatment for FCR. Further research needs to establish its effectiveness and explore whether diminishing the emotional load of intrusions constitutes the working mechanism of EMDR in FCR.

求助全文
通过发布文献求助,成功后即可免费获取论文全文。 去求助
来源期刊
Journal for Person-Oriented Research
Journal for Person-Oriented Research Psychology-Psychology (miscellaneous)
CiteScore
2.90
自引率
0.00%
发文量
9
审稿时长
23 weeks
×
引用
GB/T 7714-2015
复制
MLA
复制
APA
复制
导出至
BibTeX EndNote RefMan NoteFirst NoteExpress
×
提示
您的信息不完整,为了账户安全,请先补充。
现在去补充
×
提示
您因"违规操作"
具体请查看互助需知
我知道了
×
提示
确定
请完成安全验证×
copy
已复制链接
快去分享给好友吧!
我知道了
右上角分享
点击右上角分享
0
联系我们:info@booksci.cn Book学术提供免费学术资源搜索服务,方便国内外学者检索中英文文献。致力于提供最便捷和优质的服务体验。 Copyright © 2023 布克学术 All rights reserved.
京ICP备2023020795号-1
ghs 京公网安备 11010802042870号
Book学术文献互助
Book学术文献互助群
群 号:604180095
Book学术官方微信