运动处方变量降低老年人跌倒风险的有效性:一项荟萃分析。

IF 3.5 1区 医学 Q2 GERIATRICS & GERONTOLOGY
Tian-Rui Zhu, Hong-Qi Xu, Jin-Peng Wei, He-Long Quan, Xue-Jiao Han, Tian-Xiang Li, Ji-Peng Shi
{"title":"运动处方变量降低老年人跌倒风险的有效性:一项荟萃分析。","authors":"Tian-Rui Zhu, Hong-Qi Xu, Jin-Peng Wei, He-Long Quan, Xue-Jiao Han, Tian-Xiang Li, Ji-Peng Shi","doi":"10.1186/s11556-025-00374-x","DOIUrl":null,"url":null,"abstract":"<p><strong>Objective: </strong>This meta-analysis explored the relationship between various exercise prescription variables and their effects on fall risk reduction in older adults, enabling the selection of targeted and evidence-based intervention prescription variables tailored to individual risk-assessment results.</p><p><strong>Method: </strong>Databases including PubMed, Embase, Web of Science, and the Cochrane Library were systematically searched for randomized controlled trials that investigated the impact of exercise intervention on fall prevention. Study quality was assessed using the Cochrane risk-of-bias tool. Meta-analyses, subgroup analyses, sensitivity analyses, and assessments of publication bias were performed using Stata 16.0.</p><p><strong>Results: </strong>A total of 43 articles comprising 51 studies and involving 2,743 participants were included. The results indicated significant improvements in fall risk assessment indices due to Mind-body Exercise (MBE), Multi-component Physical Activity (MCPA), and Muscle-strengthening Activity(MSA). Subgroup analyses revealed differential optimal type, cycle (week), frequency (day/week), and session time (minutes) across assessment tools, such as the unipedal stance test with eyes open (MCPA, < 8, 3, 45 ≤ Time < 60), functional reach (MCPA, < 8, < 3, ≥ 60), the \"get-up and go\" test (MSA, ≥ 24, < 3, 30 ≤ Time < 45), Berg balance scale (MBE, 8 ≤ Time < 12, 3, 30 ≤ Time < 45), Five stands sit-to-stand (MCPA, ≥ 24, > 3, 30 ≤ Time < 45), the 30-s chair-stand test (MSA, 12 ≤ Time, < 3, 45 ≤ Time < 60), short physical performance battery (MCPA, 12 ≤ Time < 24, < 3, ≥ 60), and Falls Efficacy Scale-International (MBE, 8 ≤ Time < 12, < 3, 45 ≤ Time < 60).</p><p><strong>Conclusion: </strong>The findings suggest that prescription variables combining MCPA and MBE, ≥ 8-week programs, and ≥ 30-min sessions, effectively reduce fall risk through concurrent enhancement of balance, strength, and self-efficacy; their integration into community-based protocols with individualized resistance-balance combinations optimizes functional outcomes in older adults.</p>","PeriodicalId":50477,"journal":{"name":"European Review of Aging and Physical Activity","volume":"22 1","pages":"7"},"PeriodicalIF":3.5000,"publicationDate":"2025-05-13","publicationTypes":"Journal Article","fieldsOfStudy":null,"isOpenAccess":false,"openAccessPdf":"https://www.ncbi.nlm.nih.gov/pmc/articles/PMC12070723/pdf/","citationCount":"0","resultStr":"{\"title\":\"Effectiveness of exercise prescription variables to reduce fall risk among older adults: a meta-analysis.\",\"authors\":\"Tian-Rui Zhu, Hong-Qi Xu, Jin-Peng Wei, He-Long Quan, Xue-Jiao Han, Tian-Xiang Li, Ji-Peng Shi\",\"doi\":\"10.1186/s11556-025-00374-x\",\"DOIUrl\":null,\"url\":null,\"abstract\":\"<p><strong>Objective: </strong>This meta-analysis explored the relationship between various exercise prescription variables and their effects on fall risk reduction in older adults, enabling the selection of targeted and evidence-based intervention prescription variables tailored to individual risk-assessment results.</p><p><strong>Method: </strong>Databases including PubMed, Embase, Web of Science, and the Cochrane Library were systematically searched for randomized controlled trials that investigated the impact of exercise intervention on fall prevention. Study quality was assessed using the Cochrane risk-of-bias tool. Meta-analyses, subgroup analyses, sensitivity analyses, and assessments of publication bias were performed using Stata 16.0.</p><p><strong>Results: </strong>A total of 43 articles comprising 51 studies and involving 2,743 participants were included. The results indicated significant improvements in fall risk assessment indices due to Mind-body Exercise (MBE), Multi-component Physical Activity (MCPA), and Muscle-strengthening Activity(MSA). Subgroup analyses revealed differential optimal type, cycle (week), frequency (day/week), and session time (minutes) across assessment tools, such as the unipedal stance test with eyes open (MCPA, < 8, 3, 45 ≤ Time < 60), functional reach (MCPA, < 8, < 3, ≥ 60), the \\\"get-up and go\\\" test (MSA, ≥ 24, < 3, 30 ≤ Time < 45), Berg balance scale (MBE, 8 ≤ Time < 12, 3, 30 ≤ Time < 45), Five stands sit-to-stand (MCPA, ≥ 24, > 3, 30 ≤ Time < 45), the 30-s chair-stand test (MSA, 12 ≤ Time, < 3, 45 ≤ Time < 60), short physical performance battery (MCPA, 12 ≤ Time < 24, < 3, ≥ 60), and Falls Efficacy Scale-International (MBE, 8 ≤ Time < 12, < 3, 45 ≤ Time < 60).</p><p><strong>Conclusion: </strong>The findings suggest that prescription variables combining MCPA and MBE, ≥ 8-week programs, and ≥ 30-min sessions, effectively reduce fall risk through concurrent enhancement of balance, strength, and self-efficacy; their integration into community-based protocols with individualized resistance-balance combinations optimizes functional outcomes in older adults.</p>\",\"PeriodicalId\":50477,\"journal\":{\"name\":\"European Review of Aging and Physical Activity\",\"volume\":\"22 1\",\"pages\":\"7\"},\"PeriodicalIF\":3.5000,\"publicationDate\":\"2025-05-13\",\"publicationTypes\":\"Journal Article\",\"fieldsOfStudy\":null,\"isOpenAccess\":false,\"openAccessPdf\":\"https://www.ncbi.nlm.nih.gov/pmc/articles/PMC12070723/pdf/\",\"citationCount\":\"0\",\"resultStr\":null,\"platform\":\"Semanticscholar\",\"paperid\":null,\"PeriodicalName\":\"European Review of Aging and Physical Activity\",\"FirstCategoryId\":\"3\",\"ListUrlMain\":\"https://doi.org/10.1186/s11556-025-00374-x\",\"RegionNum\":1,\"RegionCategory\":\"医学\",\"ArticlePicture\":[],\"TitleCN\":null,\"AbstractTextCN\":null,\"PMCID\":null,\"EPubDate\":\"\",\"PubModel\":\"\",\"JCR\":\"Q2\",\"JCRName\":\"GERIATRICS & GERONTOLOGY\",\"Score\":null,\"Total\":0}","platform":"Semanticscholar","paperid":null,"PeriodicalName":"European Review of Aging and Physical Activity","FirstCategoryId":"3","ListUrlMain":"https://doi.org/10.1186/s11556-025-00374-x","RegionNum":1,"RegionCategory":"医学","ArticlePicture":[],"TitleCN":null,"AbstractTextCN":null,"PMCID":null,"EPubDate":"","PubModel":"","JCR":"Q2","JCRName":"GERIATRICS & GERONTOLOGY","Score":null,"Total":0}
引用次数: 0

摘要

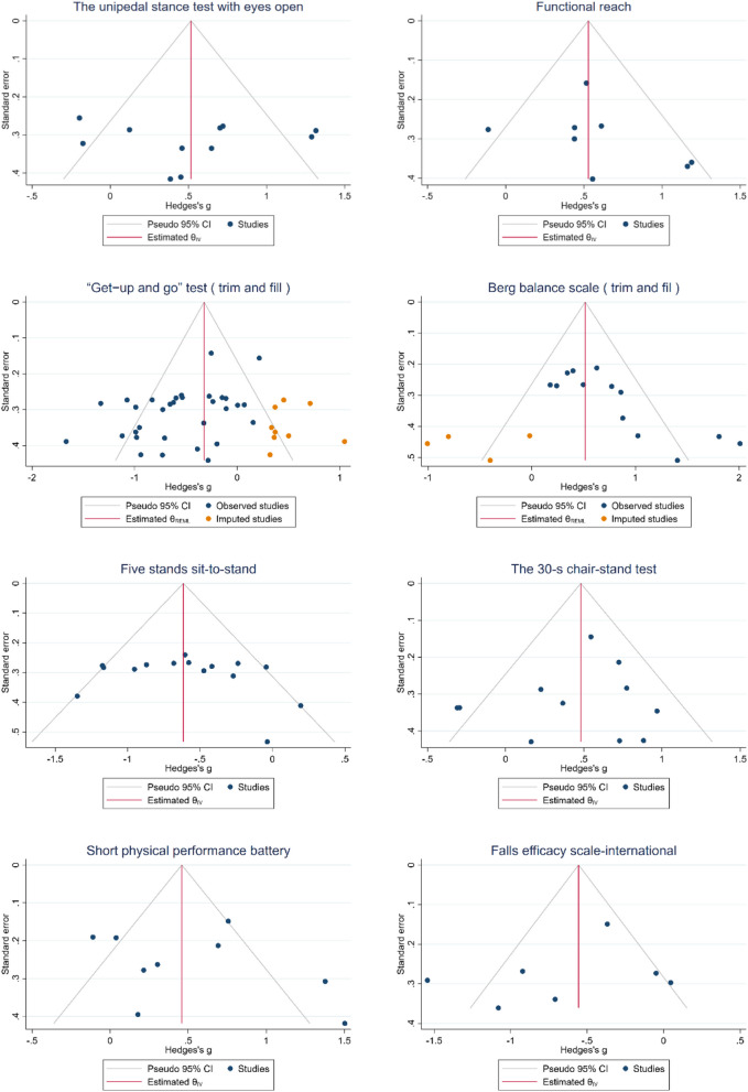
目的:本荟萃分析探讨了各种运动处方变量及其对老年人跌倒风险降低的影响之间的关系,从而能够根据个人风险评估结果选择有针对性和循证的干预处方变量。方法:系统检索PubMed、Embase、Web of Science和Cochrane Library等数据库,检索调查运动干预对预防跌倒影响的随机对照试验。使用Cochrane风险偏倚工具评估研究质量。使用Stata 16.0进行meta分析、亚组分析、敏感性分析和发表偏倚评估。结果:共纳入43篇文章,包括51项研究,涉及2,743名受试者。结果显示,身心运动(MBE)、多组分体力活动(MCPA)和肌肉强化活动(MSA)对跌倒风险评估指标有显著改善。亚组分析揭示了不同评估工具的最佳类型、周期(周)、频率(天/周)和会话时间(分钟)的差异,如睁眼单脚站立测试(MCPA, 3,30≤time)。结论:结合MCPA和MBE的处方变量、≥8周的项目和≥30分钟的项目,通过同时增强平衡、力量和自我效能感,有效降低跌倒风险;将它们整合到基于社区的方案中,并结合个体化的阻力-平衡组合,可优化老年人的功能结局。
本文章由计算机程序翻译,如有差异,请以英文原文为准。

Effectiveness of exercise prescription variables to reduce fall risk among older adults: a meta-analysis.

Effectiveness of exercise prescription variables to reduce fall risk among older adults: a meta-analysis.

Effectiveness of exercise prescription variables to reduce fall risk among older adults: a meta-analysis.

Effectiveness of exercise prescription variables to reduce fall risk among older adults: a meta-analysis.

Objective: This meta-analysis explored the relationship between various exercise prescription variables and their effects on fall risk reduction in older adults, enabling the selection of targeted and evidence-based intervention prescription variables tailored to individual risk-assessment results.

Method: Databases including PubMed, Embase, Web of Science, and the Cochrane Library were systematically searched for randomized controlled trials that investigated the impact of exercise intervention on fall prevention. Study quality was assessed using the Cochrane risk-of-bias tool. Meta-analyses, subgroup analyses, sensitivity analyses, and assessments of publication bias were performed using Stata 16.0.

Results: A total of 43 articles comprising 51 studies and involving 2,743 participants were included. The results indicated significant improvements in fall risk assessment indices due to Mind-body Exercise (MBE), Multi-component Physical Activity (MCPA), and Muscle-strengthening Activity(MSA). Subgroup analyses revealed differential optimal type, cycle (week), frequency (day/week), and session time (minutes) across assessment tools, such as the unipedal stance test with eyes open (MCPA, < 8, 3, 45 ≤ Time < 60), functional reach (MCPA, < 8, < 3, ≥ 60), the "get-up and go" test (MSA, ≥ 24, < 3, 30 ≤ Time < 45), Berg balance scale (MBE, 8 ≤ Time < 12, 3, 30 ≤ Time < 45), Five stands sit-to-stand (MCPA, ≥ 24, > 3, 30 ≤ Time < 45), the 30-s chair-stand test (MSA, 12 ≤ Time, < 3, 45 ≤ Time < 60), short physical performance battery (MCPA, 12 ≤ Time < 24, < 3, ≥ 60), and Falls Efficacy Scale-International (MBE, 8 ≤ Time < 12, < 3, 45 ≤ Time < 60).

Conclusion: The findings suggest that prescription variables combining MCPA and MBE, ≥ 8-week programs, and ≥ 30-min sessions, effectively reduce fall risk through concurrent enhancement of balance, strength, and self-efficacy; their integration into community-based protocols with individualized resistance-balance combinations optimizes functional outcomes in older adults.

求助全文
通过发布文献求助,成功后即可免费获取论文全文。 去求助
来源期刊
CiteScore
8.60
自引率
1.60%
发文量
29
审稿时长
>12 weeks
期刊介绍: European Review of Aging and Physical Activity (EURAPA) disseminates research on the biomedical and behavioural aspects of physical activity and aging. The main issues addressed by EURAPA are the impact of physical activity or exercise on cognitive, physical, and psycho-social functioning of older people, physical activity patterns in advanced age, and the relationship between physical activity and health.
×
引用
GB/T 7714-2015
复制
MLA
复制
APA
复制
导出至
BibTeX EndNote RefMan NoteFirst NoteExpress
×
提示
您的信息不完整,为了账户安全,请先补充。
现在去补充
×
提示
您因"违规操作"
具体请查看互助需知
我知道了
×
提示
确定
请完成安全验证×
copy
已复制链接
快去分享给好友吧!
我知道了
右上角分享
点击右上角分享
0
联系我们:info@booksci.cn Book学术提供免费学术资源搜索服务,方便国内外学者检索中英文文献。致力于提供最便捷和优质的服务体验。 Copyright © 2023 布克学术 All rights reserved.
京ICP备2023020795号-1
ghs 京公网安备 11010802042870号
Book学术文献互助
Book学术文献互助群
群 号:604180095
Book学术官方微信