口腔潜在恶性疾病和口腔癌的口腔微生物组概况-诊断观点。

Q3 Medicine
Priya N Deo, Revati S Deshmukh, Akshay H Gaike, Anu Christopher, Mohak Gujare, Mitali Inamdar
{"title":"口腔潜在恶性疾病和口腔癌的口腔微生物组概况-诊断观点。","authors":"Priya N Deo, Revati S Deshmukh, Akshay H Gaike, Anu Christopher, Mohak Gujare, Mitali Inamdar","doi":"10.4103/jomfp.jomfp_140_24","DOIUrl":null,"url":null,"abstract":"<p><strong>Background: </strong>Dysregulation of the oral microbiome has been correlated with many diseases, but oral microbiome in the etiopathogenesis of oral cancer remains a grey area and needs to be explored. It is imperative to understand the oral microbiome profiles so as to know the variations in the composition from normal to pre-cancer to cancer.</p><p><strong>Aim: </strong>To profile the oral microbiome of normal, oral potentially malignant disorders (leukoplakia - Leu, oral submucous fibrosis - OSMF) and oral squamous cell carcinoma (OSCC) by Next-Generation Sequencing of the 16S ribosomal rRNA gene.</p><p><strong>Material and methods: </strong>This is an observational cross-sectional study. A total of 50 subjects were selected for this study, which included the the normal, Leukoplakia, OSMF, and OSCC groups. Bacterial genomic DNA was extracted, and 16S rRNA gene sequencing of the V4 region was carried out using the Illumina MiSeq system. Bio-informatics data analysis was carried out using the DADA2 pipeline and phyloseq R package, and the <i>t</i>-test was used for statistical analysis.</p><p><strong>Results and conclusion: </strong>Variations in the composition of the oral microbiome were identified across all study groups, and significant differences were noted in certain microbial taxa across normal, pre-cancer, and cancer. Certain bacterial taxa were detected only in OSCC. An increase in relative abundance of Gram-negative bacteria as well as an increasing trend in the abundance of periodontal taxa was observed in OSCC. This study generated a baseline data which may provide a guideline for future functional and integrative oral microbiome studies. Variations in oral microbiome composition may be used as biomarkers and provide signatures during the progression from normal to pre-cancer to cancer.</p>","PeriodicalId":38846,"journal":{"name":"Journal of Oral and Maxillofacial Pathology","volume":"29 1","pages":"87-97"},"PeriodicalIF":0.0000,"publicationDate":"2025-01-01","publicationTypes":"Journal Article","fieldsOfStudy":null,"isOpenAccess":false,"openAccessPdf":"https://www.ncbi.nlm.nih.gov/pmc/articles/PMC12002586/pdf/","citationCount":"0","resultStr":"{\"title\":\"Oral microbiome profiles in oral potentially malignant disorders and oral cancer - A diagnostic perspective.\",\"authors\":\"Priya N Deo, Revati S Deshmukh, Akshay H Gaike, Anu Christopher, Mohak Gujare, Mitali Inamdar\",\"doi\":\"10.4103/jomfp.jomfp_140_24\",\"DOIUrl\":null,\"url\":null,\"abstract\":\"<p><strong>Background: </strong>Dysregulation of the oral microbiome has been correlated with many diseases, but oral microbiome in the etiopathogenesis of oral cancer remains a grey area and needs to be explored. It is imperative to understand the oral microbiome profiles so as to know the variations in the composition from normal to pre-cancer to cancer.</p><p><strong>Aim: </strong>To profile the oral microbiome of normal, oral potentially malignant disorders (leukoplakia - Leu, oral submucous fibrosis - OSMF) and oral squamous cell carcinoma (OSCC) by Next-Generation Sequencing of the 16S ribosomal rRNA gene.</p><p><strong>Material and methods: </strong>This is an observational cross-sectional study. A total of 50 subjects were selected for this study, which included the the normal, Leukoplakia, OSMF, and OSCC groups. Bacterial genomic DNA was extracted, and 16S rRNA gene sequencing of the V4 region was carried out using the Illumina MiSeq system. Bio-informatics data analysis was carried out using the DADA2 pipeline and phyloseq R package, and the <i>t</i>-test was used for statistical analysis.</p><p><strong>Results and conclusion: </strong>Variations in the composition of the oral microbiome were identified across all study groups, and significant differences were noted in certain microbial taxa across normal, pre-cancer, and cancer. Certain bacterial taxa were detected only in OSCC. An increase in relative abundance of Gram-negative bacteria as well as an increasing trend in the abundance of periodontal taxa was observed in OSCC. This study generated a baseline data which may provide a guideline for future functional and integrative oral microbiome studies. Variations in oral microbiome composition may be used as biomarkers and provide signatures during the progression from normal to pre-cancer to cancer.</p>\",\"PeriodicalId\":38846,\"journal\":{\"name\":\"Journal of Oral and Maxillofacial Pathology\",\"volume\":\"29 1\",\"pages\":\"87-97\"},\"PeriodicalIF\":0.0000,\"publicationDate\":\"2025-01-01\",\"publicationTypes\":\"Journal Article\",\"fieldsOfStudy\":null,\"isOpenAccess\":false,\"openAccessPdf\":\"https://www.ncbi.nlm.nih.gov/pmc/articles/PMC12002586/pdf/\",\"citationCount\":\"0\",\"resultStr\":null,\"platform\":\"Semanticscholar\",\"paperid\":null,\"PeriodicalName\":\"Journal of Oral and Maxillofacial Pathology\",\"FirstCategoryId\":\"1085\",\"ListUrlMain\":\"https://doi.org/10.4103/jomfp.jomfp_140_24\",\"RegionNum\":0,\"RegionCategory\":null,\"ArticlePicture\":[],\"TitleCN\":null,\"AbstractTextCN\":null,\"PMCID\":null,\"EPubDate\":\"2025/3/28 0:00:00\",\"PubModel\":\"Epub\",\"JCR\":\"Q3\",\"JCRName\":\"Medicine\",\"Score\":null,\"Total\":0}","platform":"Semanticscholar","paperid":null,"PeriodicalName":"Journal of Oral and Maxillofacial Pathology","FirstCategoryId":"1085","ListUrlMain":"https://doi.org/10.4103/jomfp.jomfp_140_24","RegionNum":0,"RegionCategory":null,"ArticlePicture":[],"TitleCN":null,"AbstractTextCN":null,"PMCID":null,"EPubDate":"2025/3/28 0:00:00","PubModel":"Epub","JCR":"Q3","JCRName":"Medicine","Score":null,"Total":0}
引用次数: 0

摘要

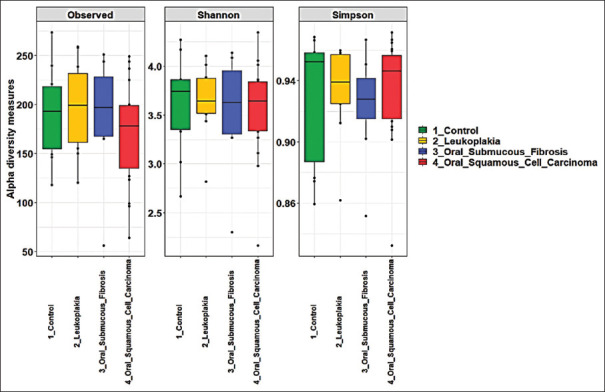
背景:口腔微生物群失调与多种疾病相关,但口腔微生物群在口腔癌发病机制中的作用仍是一个灰色地带,有待进一步探索。了解口腔微生物组谱是了解从正常到癌前再到癌症的组成变化的必要条件。目的:通过16S核糖体rRNA基因的新一代测序分析口腔正常、口腔潜在恶性疾病(白斑、口腔黏膜下纤维化)和口腔鳞状细胞癌(OSCC)的口腔微生物群。材料和方法:这是一项观察性横断面研究。本研究共选择50名受试者,包括正常组、白斑组、OSMF组和OSCC组。提取细菌基因组DNA,利用Illumina MiSeq系统进行V4区16S rRNA基因测序。采用DADA2管道和phyloseq R包进行生物信息学数据分析,采用t检验进行统计分析。结果和结论:在所有研究组中都发现了口腔微生物组组成的变化,并且在正常、癌前和癌前的某些微生物分类群中发现了显著差异。某些细菌分类群仅在OSCC中检测到。在OSCC中观察到革兰氏阴性菌的相对丰度增加以及牙周分类群丰度增加的趋势。本研究提供了一个基线数据,可能为未来功能性和综合性口腔微生物组研究提供指导。口腔微生物组组成的变化可以用作生物标志物,并在从正常到癌前再到癌症的进展过程中提供特征。
本文章由计算机程序翻译,如有差异,请以英文原文为准。

Oral microbiome profiles in oral potentially malignant disorders and oral cancer - A diagnostic perspective.

Oral microbiome profiles in oral potentially malignant disorders and oral cancer - A diagnostic perspective.

Oral microbiome profiles in oral potentially malignant disorders and oral cancer - A diagnostic perspective.

Oral microbiome profiles in oral potentially malignant disorders and oral cancer - A diagnostic perspective.

Background: Dysregulation of the oral microbiome has been correlated with many diseases, but oral microbiome in the etiopathogenesis of oral cancer remains a grey area and needs to be explored. It is imperative to understand the oral microbiome profiles so as to know the variations in the composition from normal to pre-cancer to cancer.

Aim: To profile the oral microbiome of normal, oral potentially malignant disorders (leukoplakia - Leu, oral submucous fibrosis - OSMF) and oral squamous cell carcinoma (OSCC) by Next-Generation Sequencing of the 16S ribosomal rRNA gene.

Material and methods: This is an observational cross-sectional study. A total of 50 subjects were selected for this study, which included the the normal, Leukoplakia, OSMF, and OSCC groups. Bacterial genomic DNA was extracted, and 16S rRNA gene sequencing of the V4 region was carried out using the Illumina MiSeq system. Bio-informatics data analysis was carried out using the DADA2 pipeline and phyloseq R package, and the t-test was used for statistical analysis.

Results and conclusion: Variations in the composition of the oral microbiome were identified across all study groups, and significant differences were noted in certain microbial taxa across normal, pre-cancer, and cancer. Certain bacterial taxa were detected only in OSCC. An increase in relative abundance of Gram-negative bacteria as well as an increasing trend in the abundance of periodontal taxa was observed in OSCC. This study generated a baseline data which may provide a guideline for future functional and integrative oral microbiome studies. Variations in oral microbiome composition may be used as biomarkers and provide signatures during the progression from normal to pre-cancer to cancer.

求助全文
通过发布文献求助,成功后即可免费获取论文全文。 去求助
来源期刊
Journal of Oral and Maxillofacial Pathology
Journal of Oral and Maxillofacial Pathology Medicine-Otorhinolaryngology
CiteScore
1.40
自引率
0.00%
发文量
115
期刊介绍: The journal of Oral and Maxillofacial Pathology [ISSN:print-(0973-029X, online-1998-393X)] is a tri-annual journal published on behalf of “The Indian Association of Oral and Maxillofacial Pathologists” (IAOMP). The publication of JOMFP was started in the year 1993. The journal publishes papers on a wide spectrum of topics associated with the scope of Oral and Maxillofacial Pathology, also, ensuring scientific merit and quality. It is a comprehensive reading material for the professionals who want to upgrade their diagnostic skills in Oral Diseases; allows exposure to newer topics and methods of research in the Oral-facial Tissues and Pathology. New features allow an open minded thinking and approach to various pathologies. It also encourages authors to showcase quality work done by them and to compile relevant cases which are diagnostically challenging. The Journal takes pride in maintaining the quality of articles and photomicrographs.
×
引用
GB/T 7714-2015
复制
MLA
复制
APA
复制
导出至
BibTeX EndNote RefMan NoteFirst NoteExpress
×
提示
您的信息不完整,为了账户安全,请先补充。
现在去补充
×
提示
您因"违规操作"
具体请查看互助需知
我知道了
×
提示
确定
请完成安全验证×
copy
已复制链接
快去分享给好友吧!
我知道了
右上角分享
点击右上角分享
0
联系我们:info@booksci.cn Book学术提供免费学术资源搜索服务,方便国内外学者检索中英文文献。致力于提供最便捷和优质的服务体验。 Copyright © 2023 布克学术 All rights reserved.
京ICP备2023020795号-1
ghs 京公网安备 11010802042870号
Book学术文献互助
Book学术文献互助群
群 号:604180095
Book学术官方微信