亚甲基四氢叶酸还原酶多态性对精神分裂症前高危精神病临床特征的影响

IF 1.8 4区 医学 Q3 PSYCHIATRY
Psychiatry Investigation Pub Date : 2025-04-01 Epub Date: 2025-04-11 DOI:10.30773/pi.2024.0379
Lin Wan, Xueqing Han
{"title":"亚甲基四氢叶酸还原酶多态性对精神分裂症前高危精神病临床特征的影响","authors":"Lin Wan, Xueqing Han","doi":"10.30773/pi.2024.0379","DOIUrl":null,"url":null,"abstract":"<p><strong>Objective: </strong>High-risk psychosis before schizophrenia includes individuals at clinical high risk (CHR) and genetic high risk (GHR). Methylenetetrahydrofolate Reductase (MTHFR) gene variants have been identified as risk factors for schizophrenia onset and symptom severity, though the effects of these polymorphisms in high-risk individuals remain unexplored. This study investigated the impact of MTHFR polymorphisms on clinical features of high-risk psychosis. We hypothesized that MTHFR variants may influence the progression of high-risk psychosis before schizophrenia.</p><p><strong>Methods: </strong>A total of 163 individuals were enrolled, comprising 76 healthy controls, 31 GHR, and 56 CHR. MTHFR polymorphisms (C677T, A1298C, and G1793A) were detected. The MATRICS Consensus Cognitive Battery was administered to assess cognitive ability. Additional recorded clinical features included sex, age, family history, cognitive scores, and the Structured Interview for Psychosis Risk Syndromes (SIPS) scores.</p><p><strong>Results: </strong>Higher MTHFR polymorphism levels were observed in high-risk individuals at the C677T site (p=0.006) and in multi-site variant analysis (p=0.012) compared to controls. Stratified by sex, both males and females showed similar increases in MTHFR polymorphism. Cognitive ability scores decreased in the high-risk group with an increase in MTHFR variant allele amounts. In the CHR group, SIPS scores non-significantly increased with the number of variant alleles.</p><p><strong>Conclusion: </strong>Increased MTHFR polymorphism was associated with the risk progression of schizophrenia, being more pronounced in males than in females. Higher amounts of hypofunctional MTHFR variants tended to decrease the cognitive ability in both high-risk and healthy subjects, while higher risk levels are observed in CHR subjects.</p>","PeriodicalId":21164,"journal":{"name":"Psychiatry Investigation","volume":"22 4","pages":"442-450"},"PeriodicalIF":1.8000,"publicationDate":"2025-04-01","publicationTypes":"Journal Article","fieldsOfStudy":null,"isOpenAccess":false,"openAccessPdf":"https://www.ncbi.nlm.nih.gov/pmc/articles/PMC12022784/pdf/","citationCount":"0","resultStr":"{\"title\":\"Effects of Methylenetetrahydrofolate Reductase Polymorphism on Clinical Features of High-Risk Psychosis Before Schizophrenia.\",\"authors\":\"Lin Wan, Xueqing Han\",\"doi\":\"10.30773/pi.2024.0379\",\"DOIUrl\":null,\"url\":null,\"abstract\":\"<p><strong>Objective: </strong>High-risk psychosis before schizophrenia includes individuals at clinical high risk (CHR) and genetic high risk (GHR). Methylenetetrahydrofolate Reductase (MTHFR) gene variants have been identified as risk factors for schizophrenia onset and symptom severity, though the effects of these polymorphisms in high-risk individuals remain unexplored. This study investigated the impact of MTHFR polymorphisms on clinical features of high-risk psychosis. We hypothesized that MTHFR variants may influence the progression of high-risk psychosis before schizophrenia.</p><p><strong>Methods: </strong>A total of 163 individuals were enrolled, comprising 76 healthy controls, 31 GHR, and 56 CHR. MTHFR polymorphisms (C677T, A1298C, and G1793A) were detected. The MATRICS Consensus Cognitive Battery was administered to assess cognitive ability. Additional recorded clinical features included sex, age, family history, cognitive scores, and the Structured Interview for Psychosis Risk Syndromes (SIPS) scores.</p><p><strong>Results: </strong>Higher MTHFR polymorphism levels were observed in high-risk individuals at the C677T site (p=0.006) and in multi-site variant analysis (p=0.012) compared to controls. Stratified by sex, both males and females showed similar increases in MTHFR polymorphism. Cognitive ability scores decreased in the high-risk group with an increase in MTHFR variant allele amounts. In the CHR group, SIPS scores non-significantly increased with the number of variant alleles.</p><p><strong>Conclusion: </strong>Increased MTHFR polymorphism was associated with the risk progression of schizophrenia, being more pronounced in males than in females. Higher amounts of hypofunctional MTHFR variants tended to decrease the cognitive ability in both high-risk and healthy subjects, while higher risk levels are observed in CHR subjects.</p>\",\"PeriodicalId\":21164,\"journal\":{\"name\":\"Psychiatry Investigation\",\"volume\":\"22 4\",\"pages\":\"442-450\"},\"PeriodicalIF\":1.8000,\"publicationDate\":\"2025-04-01\",\"publicationTypes\":\"Journal Article\",\"fieldsOfStudy\":null,\"isOpenAccess\":false,\"openAccessPdf\":\"https://www.ncbi.nlm.nih.gov/pmc/articles/PMC12022784/pdf/\",\"citationCount\":\"0\",\"resultStr\":null,\"platform\":\"Semanticscholar\",\"paperid\":null,\"PeriodicalName\":\"Psychiatry Investigation\",\"FirstCategoryId\":\"3\",\"ListUrlMain\":\"https://doi.org/10.30773/pi.2024.0379\",\"RegionNum\":4,\"RegionCategory\":\"医学\",\"ArticlePicture\":[],\"TitleCN\":null,\"AbstractTextCN\":null,\"PMCID\":null,\"EPubDate\":\"2025/4/11 0:00:00\",\"PubModel\":\"Epub\",\"JCR\":\"Q3\",\"JCRName\":\"PSYCHIATRY\",\"Score\":null,\"Total\":0}","platform":"Semanticscholar","paperid":null,"PeriodicalName":"Psychiatry Investigation","FirstCategoryId":"3","ListUrlMain":"https://doi.org/10.30773/pi.2024.0379","RegionNum":4,"RegionCategory":"医学","ArticlePicture":[],"TitleCN":null,"AbstractTextCN":null,"PMCID":null,"EPubDate":"2025/4/11 0:00:00","PubModel":"Epub","JCR":"Q3","JCRName":"PSYCHIATRY","Score":null,"Total":0}
引用次数: 0

摘要

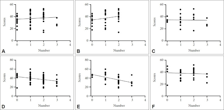
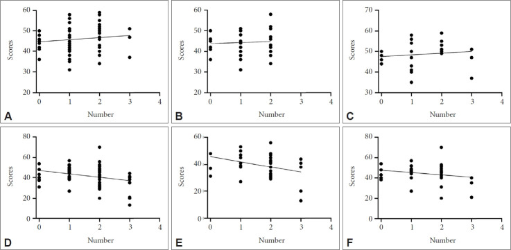
目的:精神分裂症前高危精神病包括临床高危人群(CHR)和遗传高危人群(GHR)。亚甲基四氢叶酸还原酶(MTHFR)基因变异已被确定为精神分裂症发病和症状严重程度的危险因素,尽管这些多态性在高危人群中的影响仍未被探索。本研究探讨了MTHFR多态性对高危精神病临床特征的影响。我们假设MTHFR变异可能影响精神分裂症前高危精神病的进展。方法:共纳入163人,其中健康对照76人,GHR组31人,CHR组56人。检测到MTHFR多态性(C677T、A1298C和G1793A)。使用matrix共识认知电池来评估认知能力。其他记录的临床特征包括性别、年龄、家族史、认知评分和精神病风险综合征结构化访谈(SIPS)评分。结果:与对照组相比,高危人群在C677T位点(p=0.006)和多位点变异分析中(p=0.012)的MTHFR多态性水平较高。按性别分层,男性和女性均表现出相似的MTHFR多态性增加。随着MTHFR变异等位基因数量的增加,高危组的认知能力得分下降。在CHR组中,SIPS评分随变异等位基因数量的增加而无显著增加。结论:MTHFR多态性增加与精神分裂症的风险进展相关,在男性中比在女性中更为明显。高数量的功能低下MTHFR变异倾向于降低高风险和健康受试者的认知能力,而在CHR受试者中观察到更高的风险水平。
本文章由计算机程序翻译,如有差异,请以英文原文为准。

Effects of Methylenetetrahydrofolate Reductase Polymorphism on Clinical Features of High-Risk Psychosis Before Schizophrenia.

Effects of Methylenetetrahydrofolate Reductase Polymorphism on Clinical Features of High-Risk Psychosis Before Schizophrenia.

Effects of Methylenetetrahydrofolate Reductase Polymorphism on Clinical Features of High-Risk Psychosis Before Schizophrenia.

Effects of Methylenetetrahydrofolate Reductase Polymorphism on Clinical Features of High-Risk Psychosis Before Schizophrenia.

Objective: High-risk psychosis before schizophrenia includes individuals at clinical high risk (CHR) and genetic high risk (GHR). Methylenetetrahydrofolate Reductase (MTHFR) gene variants have been identified as risk factors for schizophrenia onset and symptom severity, though the effects of these polymorphisms in high-risk individuals remain unexplored. This study investigated the impact of MTHFR polymorphisms on clinical features of high-risk psychosis. We hypothesized that MTHFR variants may influence the progression of high-risk psychosis before schizophrenia.

Methods: A total of 163 individuals were enrolled, comprising 76 healthy controls, 31 GHR, and 56 CHR. MTHFR polymorphisms (C677T, A1298C, and G1793A) were detected. The MATRICS Consensus Cognitive Battery was administered to assess cognitive ability. Additional recorded clinical features included sex, age, family history, cognitive scores, and the Structured Interview for Psychosis Risk Syndromes (SIPS) scores.

Results: Higher MTHFR polymorphism levels were observed in high-risk individuals at the C677T site (p=0.006) and in multi-site variant analysis (p=0.012) compared to controls. Stratified by sex, both males and females showed similar increases in MTHFR polymorphism. Cognitive ability scores decreased in the high-risk group with an increase in MTHFR variant allele amounts. In the CHR group, SIPS scores non-significantly increased with the number of variant alleles.

Conclusion: Increased MTHFR polymorphism was associated with the risk progression of schizophrenia, being more pronounced in males than in females. Higher amounts of hypofunctional MTHFR variants tended to decrease the cognitive ability in both high-risk and healthy subjects, while higher risk levels are observed in CHR subjects.

求助全文
通过发布文献求助,成功后即可免费获取论文全文。 去求助
来源期刊
CiteScore
4.10
自引率
3.70%
发文量
105
审稿时长
6-12 weeks
期刊介绍: The Psychiatry Investigation is published on the 25th day of every month in English by the Korean Neuropsychiatric Association (KNPA). The Journal covers the whole range of psychiatry and neuroscience. Both basic and clinical contributions are encouraged from all disciplines and research areas relevant to the pathophysiology and management of neuropsychiatric disorders and symptoms, as well as researches related to cross cultural psychiatry and ethnic issues in psychiatry. The Journal publishes editorials, review articles, original articles, brief reports, viewpoints and correspondences. All research articles are peer reviewed. Contributions are accepted for publication on the condition that their substance has not been published or submitted for publication elsewhere. Authors submitting papers to the Journal (serially or otherwise) with a common theme or using data derived from the same sample (or a subset thereof) must send details of all relevant previous publications and simultaneous submissions. The Journal is not responsible for statements made by contributors. Material in the Journal does not necessarily reflect the views of the Editor or of the KNPA. Manuscripts accepted for publication are copy-edited to improve readability and to ensure conformity with house style.
×
引用
GB/T 7714-2015
复制
MLA
复制
APA
复制
导出至
BibTeX EndNote RefMan NoteFirst NoteExpress
×
提示
您的信息不完整,为了账户安全,请先补充。
现在去补充
×
提示
您因"违规操作"
具体请查看互助需知
我知道了
×
提示
确定
请完成安全验证×
copy
已复制链接
快去分享给好友吧!
我知道了
右上角分享
点击右上角分享
0
联系我们:info@booksci.cn Book学术提供免费学术资源搜索服务,方便国内外学者检索中英文文献。致力于提供最便捷和优质的服务体验。 Copyright © 2023 布克学术 All rights reserved.
京ICP备2023020795号-1
ghs 京公网安备 11010802042870号
Book学术文献互助
Book学术文献互助群
群 号:604180095
Book学术官方微信