证据表明,产前护理访问经验影响儿童的看法。

Kaylin E Hill, Abigail L Blum, Regan Carell, Kathryn L Humphreys
{"title":"证据表明,产前护理访问经验影响儿童的看法。","authors":"Kaylin E Hill, Abigail L Blum, Regan Carell, Kathryn L Humphreys","doi":"10.1038/s44271-025-00256-z","DOIUrl":null,"url":null,"abstract":"<p><p>Parents' descriptions of their baby prenatally are associated with later caregiving behavior and attachment. We present two studies to investigate the role of prenatal care visits in shaping prenatal perceptions. In Study 1, 320 pregnant people provided a description of their baby, and at a follow-up (n = 173) reported on their toddler's behavioral and emotional difficulties. Descriptors attributed to prenatal care visit experiences, versus other sources, had a more negative tone. More negative descriptions were prospectively associated with greater child difficulties. In Study 2, 161 people reported on the personality of a baby following an imagined prenatal care visit, in which participants were randomly assigned to conditions differing in statements made by the healthcare provider. Provider statements were associated with differences in perceptions of the fetus. Our findings provide evidence that prenatal care experiences influence perceptions of a child's personality prior to birth, with potential consequences for later child functioning.</p>","PeriodicalId":501698,"journal":{"name":"Communications Psychology","volume":"3 1","pages":"73"},"PeriodicalIF":0.0000,"publicationDate":"2025-05-05","publicationTypes":"Journal Article","fieldsOfStudy":null,"isOpenAccess":false,"openAccessPdf":"https://www.ncbi.nlm.nih.gov/pmc/articles/PMC12052586/pdf/","citationCount":"0","resultStr":"{\"title\":\"Evidence that prenatal care visit experiences influence perceptions of the child.\",\"authors\":\"Kaylin E Hill, Abigail L Blum, Regan Carell, Kathryn L Humphreys\",\"doi\":\"10.1038/s44271-025-00256-z\",\"DOIUrl\":null,\"url\":null,\"abstract\":\"<p><p>Parents' descriptions of their baby prenatally are associated with later caregiving behavior and attachment. We present two studies to investigate the role of prenatal care visits in shaping prenatal perceptions. In Study 1, 320 pregnant people provided a description of their baby, and at a follow-up (n = 173) reported on their toddler's behavioral and emotional difficulties. Descriptors attributed to prenatal care visit experiences, versus other sources, had a more negative tone. More negative descriptions were prospectively associated with greater child difficulties. In Study 2, 161 people reported on the personality of a baby following an imagined prenatal care visit, in which participants were randomly assigned to conditions differing in statements made by the healthcare provider. Provider statements were associated with differences in perceptions of the fetus. Our findings provide evidence that prenatal care experiences influence perceptions of a child's personality prior to birth, with potential consequences for later child functioning.</p>\",\"PeriodicalId\":501698,\"journal\":{\"name\":\"Communications Psychology\",\"volume\":\"3 1\",\"pages\":\"73\"},\"PeriodicalIF\":0.0000,\"publicationDate\":\"2025-05-05\",\"publicationTypes\":\"Journal Article\",\"fieldsOfStudy\":null,\"isOpenAccess\":false,\"openAccessPdf\":\"https://www.ncbi.nlm.nih.gov/pmc/articles/PMC12052586/pdf/\",\"citationCount\":\"0\",\"resultStr\":null,\"platform\":\"Semanticscholar\",\"paperid\":null,\"PeriodicalName\":\"Communications Psychology\",\"FirstCategoryId\":\"1085\",\"ListUrlMain\":\"https://doi.org/10.1038/s44271-025-00256-z\",\"RegionNum\":0,\"RegionCategory\":null,\"ArticlePicture\":[],\"TitleCN\":null,\"AbstractTextCN\":null,\"PMCID\":null,\"EPubDate\":\"\",\"PubModel\":\"\",\"JCR\":\"\",\"JCRName\":\"\",\"Score\":null,\"Total\":0}","platform":"Semanticscholar","paperid":null,"PeriodicalName":"Communications Psychology","FirstCategoryId":"1085","ListUrlMain":"https://doi.org/10.1038/s44271-025-00256-z","RegionNum":0,"RegionCategory":null,"ArticlePicture":[],"TitleCN":null,"AbstractTextCN":null,"PMCID":null,"EPubDate":"","PubModel":"","JCR":"","JCRName":"","Score":null,"Total":0}
引用次数: 0

摘要

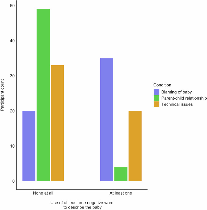
父母在产前对婴儿的描述与后来的照顾行为和依恋有关。我们提出两项研究,以调查产前护理访问在塑造产前观念的作用。在第1320项研究中,有320名孕妇描述了她们的孩子,并在后续调查中(n = 173)报告了她们孩子的行为和情感问题。与其他来源相比,归因于产前护理访问经历的描述符具有更负面的语气。更多的负面描述可能与更大的儿童困难有关。在研究2中,161人在想象的产前护理访问后报告了婴儿的性格,其中参与者被随机分配到医疗保健提供者所做陈述的不同条件下。提供者的陈述与胎儿感知的差异有关。我们的研究结果提供了证据,证明产前护理经历会影响孩子出生前对个性的看法,并对以后的儿童功能产生潜在影响。
本文章由计算机程序翻译,如有差异,请以英文原文为准。

Evidence that prenatal care visit experiences influence perceptions of the child.

Evidence that prenatal care visit experiences influence perceptions of the child.

Evidence that prenatal care visit experiences influence perceptions of the child.

Evidence that prenatal care visit experiences influence perceptions of the child.

Parents' descriptions of their baby prenatally are associated with later caregiving behavior and attachment. We present two studies to investigate the role of prenatal care visits in shaping prenatal perceptions. In Study 1, 320 pregnant people provided a description of their baby, and at a follow-up (n = 173) reported on their toddler's behavioral and emotional difficulties. Descriptors attributed to prenatal care visit experiences, versus other sources, had a more negative tone. More negative descriptions were prospectively associated with greater child difficulties. In Study 2, 161 people reported on the personality of a baby following an imagined prenatal care visit, in which participants were randomly assigned to conditions differing in statements made by the healthcare provider. Provider statements were associated with differences in perceptions of the fetus. Our findings provide evidence that prenatal care experiences influence perceptions of a child's personality prior to birth, with potential consequences for later child functioning.

求助全文
通过发布文献求助,成功后即可免费获取论文全文。 去求助
来源期刊
自引率
0.00%
发文量
0
×
引用
GB/T 7714-2015
复制
MLA
复制
APA
复制
导出至
BibTeX EndNote RefMan NoteFirst NoteExpress
×
提示
您的信息不完整,为了账户安全,请先补充。
现在去补充
×
提示
您因"违规操作"
具体请查看互助需知
我知道了
×
提示
确定
请完成安全验证×
copy
已复制链接
快去分享给好友吧!
我知道了
右上角分享
点击右上角分享
0
联系我们:info@booksci.cn Book学术提供免费学术资源搜索服务,方便国内外学者检索中英文文献。致力于提供最便捷和优质的服务体验。 Copyright © 2023 布克学术 All rights reserved.
京ICP备2023020795号-1
ghs 京公网安备 11010802042870号
Book学术文献互助
Book学术文献互助群
群 号:604180095
Book学术官方微信