紫杉醇包被球囊治疗有症状的股浅长动脉疾病的安全性和有效性。

IF 2.8 Q2 PERIPHERAL VASCULAR DISEASE
Vascular Health and Risk Management Pub Date : 2025-04-10 eCollection Date: 2025-01-01 DOI:10.2147/VHRM.S510121
Paolo Sbarzaglia, Mattia Galli, Elena Tenti, Diego Sangiorgi, Maria Letizia Lunetto, Paolo Russo, Armando Liso, Vincenzo Pernice, Antonio Micari, Fausto Castriota
{"title":"紫杉醇包被球囊治疗有症状的股浅长动脉疾病的安全性和有效性。","authors":"Paolo Sbarzaglia, Mattia Galli, Elena Tenti, Diego Sangiorgi, Maria Letizia Lunetto, Paolo Russo, Armando Liso, Vincenzo Pernice, Antonio Micari, Fausto Castriota","doi":"10.2147/VHRM.S510121","DOIUrl":null,"url":null,"abstract":"<p><strong>Background: </strong>The clinical performance of drug-coated balloons (DCBs) for the treatment of femoro-popliteal lesions may depend on the specific device used. There is limited evidence on the clinical safety and efficacy of the paclitaxel-coated device Stellarex<sup>®</sup> for the treatment of long (>180 mm) femoro-popliteal lesions.</p><p><strong>Methods: </strong>This is a single arm, prospective, open label, observational study including symptomatic patients with long femoro-popliteal lesions undergoing endovascular revascularization with Stellarex<sup>®</sup> DCB. The primary endpoints were the safety and efficacy of the DCB over time. Secondary endpoints were represented by functional outcomes.</p><p><strong>Results: </strong>Ninety-five patients (median age 72, lesion length 250 mm) were included. At 6 months after the procedure, 61% of patients were asymptomatic as defined by the Rutherford classification, decreasing over time (57% at 12 months, 56% at 24 months, 44% at 36 months). Walking Impairment Questionnaire showed a remarkable improvement at 6 months, with a decreasing trend over time. When single components were analysed, better performances were observed for distance and climbing scores throughout the study period, while speed returned to baseline levels after 24 months. EQ5D Questionnaire showed a statistically significant improvement throughout the study period (with a decreasing trend over time, as seen for Rutherford classification and Walking Impairment Questionnaire). During the 36-months follow-up, 9% of patients died, with previous limb amputation being an independent predictor of mortality (HR = 7.4, p = 0.013). One-year primary patency was 76.5%, with no significant difference compared to the reference rate of 80% (p = 0.810). Primary patency defined as PSVR ≤2.4 (peak systolic velocity ratio) was maintained over time (median survival time free from PSVR >2.4 was not assessable as it exceeded the 36 months of follow-up).</p><p><strong>Conclusion: </strong>In our sample, Stellarex showed to be safe and effective and it was associated with an event rate comparable to other devices reported in literature.</p>","PeriodicalId":23597,"journal":{"name":"Vascular Health and Risk Management","volume":"21 ","pages":"239-250"},"PeriodicalIF":2.8000,"publicationDate":"2025-04-10","publicationTypes":"Journal Article","fieldsOfStudy":null,"isOpenAccess":false,"openAccessPdf":"https://www.ncbi.nlm.nih.gov/pmc/articles/PMC11995917/pdf/","citationCount":"0","resultStr":"{\"title\":\"Safety and Efficacy of a Paclitaxel-Coated Balloon for the Treatment of Symptomatic Patients with Long Superficial Femoral Artery Disease.\",\"authors\":\"Paolo Sbarzaglia, Mattia Galli, Elena Tenti, Diego Sangiorgi, Maria Letizia Lunetto, Paolo Russo, Armando Liso, Vincenzo Pernice, Antonio Micari, Fausto Castriota\",\"doi\":\"10.2147/VHRM.S510121\",\"DOIUrl\":null,\"url\":null,\"abstract\":\"<p><strong>Background: </strong>The clinical performance of drug-coated balloons (DCBs) for the treatment of femoro-popliteal lesions may depend on the specific device used. There is limited evidence on the clinical safety and efficacy of the paclitaxel-coated device Stellarex<sup>®</sup> for the treatment of long (>180 mm) femoro-popliteal lesions.</p><p><strong>Methods: </strong>This is a single arm, prospective, open label, observational study including symptomatic patients with long femoro-popliteal lesions undergoing endovascular revascularization with Stellarex<sup>®</sup> DCB. The primary endpoints were the safety and efficacy of the DCB over time. Secondary endpoints were represented by functional outcomes.</p><p><strong>Results: </strong>Ninety-five patients (median age 72, lesion length 250 mm) were included. At 6 months after the procedure, 61% of patients were asymptomatic as defined by the Rutherford classification, decreasing over time (57% at 12 months, 56% at 24 months, 44% at 36 months). Walking Impairment Questionnaire showed a remarkable improvement at 6 months, with a decreasing trend over time. When single components were analysed, better performances were observed for distance and climbing scores throughout the study period, while speed returned to baseline levels after 24 months. EQ5D Questionnaire showed a statistically significant improvement throughout the study period (with a decreasing trend over time, as seen for Rutherford classification and Walking Impairment Questionnaire). During the 36-months follow-up, 9% of patients died, with previous limb amputation being an independent predictor of mortality (HR = 7.4, p = 0.013). One-year primary patency was 76.5%, with no significant difference compared to the reference rate of 80% (p = 0.810). Primary patency defined as PSVR ≤2.4 (peak systolic velocity ratio) was maintained over time (median survival time free from PSVR >2.4 was not assessable as it exceeded the 36 months of follow-up).</p><p><strong>Conclusion: </strong>In our sample, Stellarex showed to be safe and effective and it was associated with an event rate comparable to other devices reported in literature.</p>\",\"PeriodicalId\":23597,\"journal\":{\"name\":\"Vascular Health and Risk Management\",\"volume\":\"21 \",\"pages\":\"239-250\"},\"PeriodicalIF\":2.8000,\"publicationDate\":\"2025-04-10\",\"publicationTypes\":\"Journal Article\",\"fieldsOfStudy\":null,\"isOpenAccess\":false,\"openAccessPdf\":\"https://www.ncbi.nlm.nih.gov/pmc/articles/PMC11995917/pdf/\",\"citationCount\":\"0\",\"resultStr\":null,\"platform\":\"Semanticscholar\",\"paperid\":null,\"PeriodicalName\":\"Vascular Health and Risk Management\",\"FirstCategoryId\":\"1085\",\"ListUrlMain\":\"https://doi.org/10.2147/VHRM.S510121\",\"RegionNum\":0,\"RegionCategory\":null,\"ArticlePicture\":[],\"TitleCN\":null,\"AbstractTextCN\":null,\"PMCID\":null,\"EPubDate\":\"2025/1/1 0:00:00\",\"PubModel\":\"eCollection\",\"JCR\":\"Q2\",\"JCRName\":\"PERIPHERAL VASCULAR DISEASE\",\"Score\":null,\"Total\":0}","platform":"Semanticscholar","paperid":null,"PeriodicalName":"Vascular Health and Risk Management","FirstCategoryId":"1085","ListUrlMain":"https://doi.org/10.2147/VHRM.S510121","RegionNum":0,"RegionCategory":null,"ArticlePicture":[],"TitleCN":null,"AbstractTextCN":null,"PMCID":null,"EPubDate":"2025/1/1 0:00:00","PubModel":"eCollection","JCR":"Q2","JCRName":"PERIPHERAL VASCULAR DISEASE","Score":null,"Total":0}
引用次数: 0

摘要

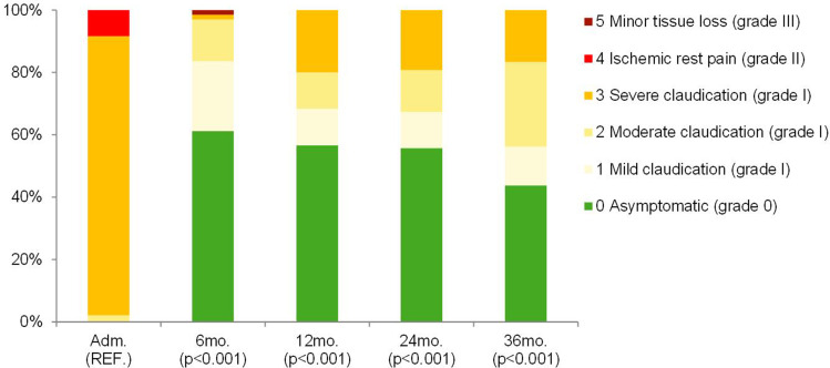
背景:药物包被球囊(DCBs)治疗股腘窝病变的临床表现可能取决于所使用的特定设备。紫杉醇涂层装置Stellarex®用于治疗长(bb0 ~ 180mm)股腘窝病变的临床安全性和有效性证据有限。方法:这是一项单臂、前瞻性、开放标签、观察性研究,包括接受Stellarex®DCB血管内重建术的有症状的股骨-腘窝长病变患者。主要终点是DCB随时间的安全性和有效性。次要终点用功能结局表示。结果:纳入95例患者(中位年龄72岁,病变长度250 mm)。在手术后6个月,61%的患者根据卢瑟福分类定义为无症状,随着时间的推移而减少(12个月为57%,24个月为56%,36个月为44%)。行走障碍问卷在6个月时显示显著改善,随着时间的推移有下降趋势。当分析单个成分时,在整个研究期间,观察到距离和攀登分数的表现更好,而速度在24个月后恢复到基线水平。EQ5D问卷在整个研究期间有统计学意义的改善(随着时间的推移有下降趋势,如卢瑟福分类和步行障碍问卷)。在36个月的随访期间,9%的患者死亡,先前截肢是死亡率的独立预测因子(HR = 7.4, p = 0.013)。1年原发性通畅率为76.5%,与参考率80%比较无统计学差异(p = 0.810)。原发性通畅定义为PSVR≤2.4(峰值收缩速度比)随时间维持(无PSVR >2.4的中位生存时间无法评估,因为超过了36个月的随访)。结论:在我们的样本中,Stellarex显示出安全有效,其事件发生率与文献中报道的其他设备相当。
本文章由计算机程序翻译,如有差异,请以英文原文为准。

Safety and Efficacy of a Paclitaxel-Coated Balloon for the Treatment of Symptomatic Patients with Long Superficial Femoral Artery Disease.

Safety and Efficacy of a Paclitaxel-Coated Balloon for the Treatment of Symptomatic Patients with Long Superficial Femoral Artery Disease.

Safety and Efficacy of a Paclitaxel-Coated Balloon for the Treatment of Symptomatic Patients with Long Superficial Femoral Artery Disease.

Safety and Efficacy of a Paclitaxel-Coated Balloon for the Treatment of Symptomatic Patients with Long Superficial Femoral Artery Disease.

Background: The clinical performance of drug-coated balloons (DCBs) for the treatment of femoro-popliteal lesions may depend on the specific device used. There is limited evidence on the clinical safety and efficacy of the paclitaxel-coated device Stellarex® for the treatment of long (>180 mm) femoro-popliteal lesions.

Methods: This is a single arm, prospective, open label, observational study including symptomatic patients with long femoro-popliteal lesions undergoing endovascular revascularization with Stellarex® DCB. The primary endpoints were the safety and efficacy of the DCB over time. Secondary endpoints were represented by functional outcomes.

Results: Ninety-five patients (median age 72, lesion length 250 mm) were included. At 6 months after the procedure, 61% of patients were asymptomatic as defined by the Rutherford classification, decreasing over time (57% at 12 months, 56% at 24 months, 44% at 36 months). Walking Impairment Questionnaire showed a remarkable improvement at 6 months, with a decreasing trend over time. When single components were analysed, better performances were observed for distance and climbing scores throughout the study period, while speed returned to baseline levels after 24 months. EQ5D Questionnaire showed a statistically significant improvement throughout the study period (with a decreasing trend over time, as seen for Rutherford classification and Walking Impairment Questionnaire). During the 36-months follow-up, 9% of patients died, with previous limb amputation being an independent predictor of mortality (HR = 7.4, p = 0.013). One-year primary patency was 76.5%, with no significant difference compared to the reference rate of 80% (p = 0.810). Primary patency defined as PSVR ≤2.4 (peak systolic velocity ratio) was maintained over time (median survival time free from PSVR >2.4 was not assessable as it exceeded the 36 months of follow-up).

Conclusion: In our sample, Stellarex showed to be safe and effective and it was associated with an event rate comparable to other devices reported in literature.

求助全文
通过发布文献求助,成功后即可免费获取论文全文。 去求助
来源期刊
Vascular Health and Risk Management
Vascular Health and Risk Management PERIPHERAL VASCULAR DISEASE-
CiteScore
4.20
自引率
3.40%
发文量
109
审稿时长
16 weeks
期刊介绍: An international, peer-reviewed journal of therapeutics and risk management, focusing on concise rapid reporting of clinical studies on the processes involved in the maintenance of vascular health; the monitoring, prevention, and treatment of vascular disease and its sequelae; and the involvement of metabolic disorders, particularly diabetes. In addition, the journal will also seek to define drug usage in terms of ultimate uptake and acceptance by the patient and healthcare professional.
×
引用
GB/T 7714-2015
复制
MLA
复制
APA
复制
导出至
BibTeX EndNote RefMan NoteFirst NoteExpress
×
提示
您的信息不完整,为了账户安全,请先补充。
现在去补充
×
提示
您因"违规操作"
具体请查看互助需知
我知道了
×
提示
确定
请完成安全验证×
copy
已复制链接
快去分享给好友吧!
我知道了
右上角分享
点击右上角分享
0
联系我们:info@booksci.cn Book学术提供免费学术资源搜索服务,方便国内外学者检索中英文文献。致力于提供最便捷和优质的服务体验。 Copyright © 2023 布克学术 All rights reserved.
京ICP备2023020795号-1
ghs 京公网安备 11010802042870号
Book学术文献互助
Book学术文献互助群
群 号:604180095
Book学术官方微信