时间营养行为问卷(CNBQ)与11天基于事件的生态瞬时饮食评估日记的相对效度

IF 5.5 1区 医学 Q1 NUTRITION & DIETETICS
Kentaro Murakami, Nana Shinozaki, Tracy A McCaffrey, M Barbara E Livingstone, Shizuko Masayasu, Satoshi Sasaki
{"title":"时间营养行为问卷(CNBQ)与11天基于事件的生态瞬时饮食评估日记的相对效度","authors":"Kentaro Murakami, Nana Shinozaki, Tracy A McCaffrey, M Barbara E Livingstone, Shizuko Masayasu, Satoshi Sasaki","doi":"10.1186/s12966-025-01740-9","DOIUrl":null,"url":null,"abstract":"<p><strong>Background: </strong>A growing number of studies have investigated chrononutrition-related variables in relation to health outcomes. However, only a few questionnaires specifically designed for assessing chrononutrition-related parameters have been validated. We aimed to examine the relative validity of the Chrono-Nutrition Behavior Questionnaire (CNBQ) against 11-day event-based ecological momentary assessment (EMA) diaries of eating.</p><p><strong>Methods: </strong>Informed by previous research, we developed the CNBQ for the comprehensive assessment of chrononutrition-related parameters, including sleep variables, eating frequency, timing of eating, duration of eating occasions, duration of eating windows, and time interval between sleep and eating, for workdays and non-workdays separately. Between February and April 2023, a total of 1050 Japanese adults aged 20-69 years completed the online CNBQ and subsequently kept event-based EMA food diaries for 11 days, including 6.5 workdays and 4.5 non-workdays on average.</p><p><strong>Results: </strong>Mean differences between estimates derived from the CNBQ and the EMA food diaries were < 10% for most of the variables examined, both for workdays (27 of 33; 82%) and non-workdays (25 of 33; 76%), and for variables based on differences between workdays and non-workdays, such as eating jetlag (5 of 6; 83%). Spearman correlation coefficients between estimates based on the CNBQ and estimates based on the EMA food diaries were ≥ 0.50 for 26 variables (79%) on workdays and 22 variables (67%) on non-workdays (e.g., mid-sleep time; total eating frequency; timing of first eating occasion, last eating occasion, first meal, and last meal; duration of first meal and last meal; duration of eating window; eating midpoint; and time interval between wake time and first eating occasion and between last meal and sleep time), and 2 variables based on differences between workdays and non-workdays (e.g., eating jetlag base on breakfast timing). Bland-Altman analysis showed that the limits of agreement were wide and that the bias of overestimation by the CNBQ was proportional as mean estimates of the CNBQ and EMA food diaries increased.</p><p><strong>Conclusions: </strong>These findings suggest that the relative validity of the CNBQ justifies its use in estimating mean values and ranking individuals for the majority of chrononutrition-related parameters.</p>","PeriodicalId":50336,"journal":{"name":"International Journal of Behavioral Nutrition and Physical Activity","volume":"22 1","pages":"46"},"PeriodicalIF":5.5000,"publicationDate":"2025-04-25","publicationTypes":"Journal Article","fieldsOfStudy":null,"isOpenAccess":false,"openAccessPdf":"https://www.ncbi.nlm.nih.gov/pmc/articles/PMC12023641/pdf/","citationCount":"0","resultStr":"{\"title\":\"Relative validity of the Chrono-Nutrition Behavior Questionnaire (CNBQ) against 11-day event-based ecological momentary assessment diaries of eating.\",\"authors\":\"Kentaro Murakami, Nana Shinozaki, Tracy A McCaffrey, M Barbara E Livingstone, Shizuko Masayasu, Satoshi Sasaki\",\"doi\":\"10.1186/s12966-025-01740-9\",\"DOIUrl\":null,\"url\":null,\"abstract\":\"<p><strong>Background: </strong>A growing number of studies have investigated chrononutrition-related variables in relation to health outcomes. However, only a few questionnaires specifically designed for assessing chrononutrition-related parameters have been validated. We aimed to examine the relative validity of the Chrono-Nutrition Behavior Questionnaire (CNBQ) against 11-day event-based ecological momentary assessment (EMA) diaries of eating.</p><p><strong>Methods: </strong>Informed by previous research, we developed the CNBQ for the comprehensive assessment of chrononutrition-related parameters, including sleep variables, eating frequency, timing of eating, duration of eating occasions, duration of eating windows, and time interval between sleep and eating, for workdays and non-workdays separately. Between February and April 2023, a total of 1050 Japanese adults aged 20-69 years completed the online CNBQ and subsequently kept event-based EMA food diaries for 11 days, including 6.5 workdays and 4.5 non-workdays on average.</p><p><strong>Results: </strong>Mean differences between estimates derived from the CNBQ and the EMA food diaries were < 10% for most of the variables examined, both for workdays (27 of 33; 82%) and non-workdays (25 of 33; 76%), and for variables based on differences between workdays and non-workdays, such as eating jetlag (5 of 6; 83%). Spearman correlation coefficients between estimates based on the CNBQ and estimates based on the EMA food diaries were ≥ 0.50 for 26 variables (79%) on workdays and 22 variables (67%) on non-workdays (e.g., mid-sleep time; total eating frequency; timing of first eating occasion, last eating occasion, first meal, and last meal; duration of first meal and last meal; duration of eating window; eating midpoint; and time interval between wake time and first eating occasion and between last meal and sleep time), and 2 variables based on differences between workdays and non-workdays (e.g., eating jetlag base on breakfast timing). Bland-Altman analysis showed that the limits of agreement were wide and that the bias of overestimation by the CNBQ was proportional as mean estimates of the CNBQ and EMA food diaries increased.</p><p><strong>Conclusions: </strong>These findings suggest that the relative validity of the CNBQ justifies its use in estimating mean values and ranking individuals for the majority of chrononutrition-related parameters.</p>\",\"PeriodicalId\":50336,\"journal\":{\"name\":\"International Journal of Behavioral Nutrition and Physical Activity\",\"volume\":\"22 1\",\"pages\":\"46\"},\"PeriodicalIF\":5.5000,\"publicationDate\":\"2025-04-25\",\"publicationTypes\":\"Journal Article\",\"fieldsOfStudy\":null,\"isOpenAccess\":false,\"openAccessPdf\":\"https://www.ncbi.nlm.nih.gov/pmc/articles/PMC12023641/pdf/\",\"citationCount\":\"0\",\"resultStr\":null,\"platform\":\"Semanticscholar\",\"paperid\":null,\"PeriodicalName\":\"International Journal of Behavioral Nutrition and Physical Activity\",\"FirstCategoryId\":\"3\",\"ListUrlMain\":\"https://doi.org/10.1186/s12966-025-01740-9\",\"RegionNum\":1,\"RegionCategory\":\"医学\",\"ArticlePicture\":[],\"TitleCN\":null,\"AbstractTextCN\":null,\"PMCID\":null,\"EPubDate\":\"\",\"PubModel\":\"\",\"JCR\":\"Q1\",\"JCRName\":\"NUTRITION & DIETETICS\",\"Score\":null,\"Total\":0}","platform":"Semanticscholar","paperid":null,"PeriodicalName":"International Journal of Behavioral Nutrition and Physical Activity","FirstCategoryId":"3","ListUrlMain":"https://doi.org/10.1186/s12966-025-01740-9","RegionNum":1,"RegionCategory":"医学","ArticlePicture":[],"TitleCN":null,"AbstractTextCN":null,"PMCID":null,"EPubDate":"","PubModel":"","JCR":"Q1","JCRName":"NUTRITION & DIETETICS","Score":null,"Total":0}
引用次数: 0

摘要

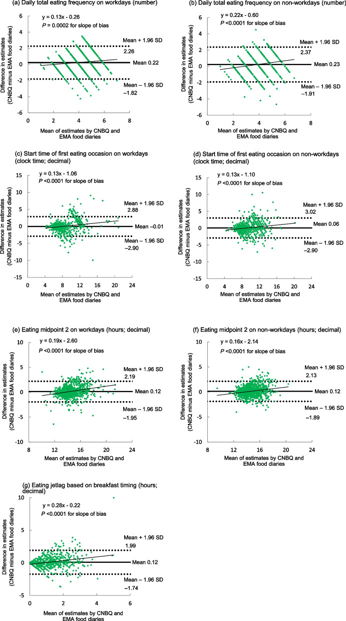
背景:越来越多的研究调查了与健康结果相关的时间营养相关变量。然而,只有少数专门设计用于评估时间营养相关参数的问卷得到了验证。我们的目的是检验时间营养行为问卷(CNBQ)与11天基于事件的生态瞬间评估(EMA)饮食日记的相对有效性。方法:在前人研究的基础上,我们开发了CNBQ,用于综合评估工作日和非工作日的时间营养相关参数,包括睡眠变量、进食频率、进食时间、进食场合持续时间、进食窗口持续时间和睡眠与进食间隔时间。在2023年2月至4月期间,共有1050名年龄在20-69岁之间的日本成年人完成了在线CNBQ,随后以事件为基础记录了11天的EMA食物日记,平均包括6.5个工作日和4.5个非工作日。结论:这些发现表明,CNBQ的相对有效性证明了其在估计大多数时间营养相关参数的平均值和对个体进行排名方面的使用是合理的。
本文章由计算机程序翻译,如有差异,请以英文原文为准。

Relative validity of the Chrono-Nutrition Behavior Questionnaire (CNBQ) against 11-day event-based ecological momentary assessment diaries of eating.

Relative validity of the Chrono-Nutrition Behavior Questionnaire (CNBQ) against 11-day event-based ecological momentary assessment diaries of eating.

Relative validity of the Chrono-Nutrition Behavior Questionnaire (CNBQ) against 11-day event-based ecological momentary assessment diaries of eating.

Relative validity of the Chrono-Nutrition Behavior Questionnaire (CNBQ) against 11-day event-based ecological momentary assessment diaries of eating.

Background: A growing number of studies have investigated chrononutrition-related variables in relation to health outcomes. However, only a few questionnaires specifically designed for assessing chrononutrition-related parameters have been validated. We aimed to examine the relative validity of the Chrono-Nutrition Behavior Questionnaire (CNBQ) against 11-day event-based ecological momentary assessment (EMA) diaries of eating.

Methods: Informed by previous research, we developed the CNBQ for the comprehensive assessment of chrononutrition-related parameters, including sleep variables, eating frequency, timing of eating, duration of eating occasions, duration of eating windows, and time interval between sleep and eating, for workdays and non-workdays separately. Between February and April 2023, a total of 1050 Japanese adults aged 20-69 years completed the online CNBQ and subsequently kept event-based EMA food diaries for 11 days, including 6.5 workdays and 4.5 non-workdays on average.

Results: Mean differences between estimates derived from the CNBQ and the EMA food diaries were < 10% for most of the variables examined, both for workdays (27 of 33; 82%) and non-workdays (25 of 33; 76%), and for variables based on differences between workdays and non-workdays, such as eating jetlag (5 of 6; 83%). Spearman correlation coefficients between estimates based on the CNBQ and estimates based on the EMA food diaries were ≥ 0.50 for 26 variables (79%) on workdays and 22 variables (67%) on non-workdays (e.g., mid-sleep time; total eating frequency; timing of first eating occasion, last eating occasion, first meal, and last meal; duration of first meal and last meal; duration of eating window; eating midpoint; and time interval between wake time and first eating occasion and between last meal and sleep time), and 2 variables based on differences between workdays and non-workdays (e.g., eating jetlag base on breakfast timing). Bland-Altman analysis showed that the limits of agreement were wide and that the bias of overestimation by the CNBQ was proportional as mean estimates of the CNBQ and EMA food diaries increased.

Conclusions: These findings suggest that the relative validity of the CNBQ justifies its use in estimating mean values and ranking individuals for the majority of chrononutrition-related parameters.

求助全文
通过发布文献求助,成功后即可免费获取论文全文。 去求助
来源期刊
CiteScore
13.80
自引率
3.40%
发文量
138
审稿时长
4-8 weeks
期刊介绍: International Journal of Behavioral Nutrition and Physical Activity (IJBNPA) is an open access, peer-reviewed journal offering high quality articles, rapid publication and wide diffusion in the public domain. IJBNPA is devoted to furthering the understanding of the behavioral aspects of diet and physical activity and is unique in its inclusion of multiple levels of analysis, including populations, groups and individuals and its inclusion of epidemiology, and behavioral, theoretical and measurement research areas.
×
引用
GB/T 7714-2015
复制
MLA
复制
APA
复制
导出至
BibTeX EndNote RefMan NoteFirst NoteExpress
×
提示
您的信息不完整,为了账户安全,请先补充。
现在去补充
×
提示
您因"违规操作"
具体请查看互助需知
我知道了
×
提示
确定
请完成安全验证×
copy
已复制链接
快去分享给好友吧!
我知道了
右上角分享
点击右上角分享
0
联系我们:info@booksci.cn Book学术提供免费学术资源搜索服务,方便国内外学者检索中英文文献。致力于提供最便捷和优质的服务体验。 Copyright © 2023 布克学术 All rights reserved.
京ICP备2023020795号-1
ghs 京公网安备 11010802042870号
Book学术文献互助
Book学术文献互助群
群 号:604180095
Book学术官方微信