青少年和业余橄榄球联盟球员运动相关脑震荡(轻度创伤性脑损伤)后的脑血流动力学评估。

IF 5.9 2区 医学 Q1 SPORT SCIENCES
Ben Jones, Mohammadreza Jamalifard, Sally Waterworth, Mike Rogerson, Javier Andreu-Perez, Jay Perrett, Edward Hope, Jason Moran, Tom Adams, Jyotpal Singh, Patrick Neary, Chris E Cooper
{"title":"青少年和业余橄榄球联盟球员运动相关脑震荡(轻度创伤性脑损伤)后的脑血流动力学评估。","authors":"Ben Jones, Mohammadreza Jamalifard, Sally Waterworth, Mike Rogerson, Javier Andreu-Perez, Jay Perrett, Edward Hope, Jason Moran, Tom Adams, Jyotpal Singh, Patrick Neary, Chris E Cooper","doi":"10.1186/s40798-025-00849-2","DOIUrl":null,"url":null,"abstract":"<p><strong>Background: </strong>Using functional near-infrared spectroscopy (fNIRS) as an objective diagnostic tool, we aimed to (1) compare fNIRS measurements in adult and youth male rugby players against controls over a playing season, and 2) document the fNIRS changes that occur in concussed rugby players during the England Rugby Football Union Graduated Return-To-Play programme (GRTP). Sixty-seven participants (rugby = 41 (26 adults: 27.5 ± 4.4 years; 15 youth: 16.5 ± 0.6 years; control = 26 (11 adult: 30.5 ± 5.2 years; 15 youth: 16.9 ± 0.4 years) completed fNIRS assessments at pre, mid and end-season. Eight players (five youth, three adult) sustained concussions, and completed fNIRS and the Graded Symptom Checklist from the Sport Concussion Assessment Tool version 5 (SCAT5) assessment throughout the GRTP period. Mixed linear models were utilised to assess the effect of group and time on fNIRS measures of oxyhaemoglobin (∆O<sub>2</sub>Hb) and deoxyhaemoglobin (∆HHb) during performance tasks. Typical Error (TE) i.e., normal biological fluctuation and measurement error, was calculated to identify 'cut-off' thresholds for identifying effects of concussion.</p><p><strong>Results: </strong>There were significant differences in fNIRS indices over time in adult and youth groups (p < 0.05) but no significant differences between rugby and control groups (p > 0.05). Seven out of eight (87.5%) concussed players showed changes greater than TE during the GRTP period for both ∆O<sub>2</sub>Hb and ∆HHb during performance tasks and these players' ∆O<sub>2</sub>Hb profiles had not returned to within 'normal' levels within the GRTP period. All players' symptom severity and number returned to normal within the GRTP period.</p><p><strong>Conclusion: </strong>Current GRTP protocols alone are problematic and there is a need for a more individualised approach to concussion management, utilising objective biomarker tools such as fNIRS.</p>","PeriodicalId":21788,"journal":{"name":"Sports Medicine - Open","volume":"11 1","pages":"47"},"PeriodicalIF":5.9000,"publicationDate":"2025-05-02","publicationTypes":"Journal Article","fieldsOfStudy":null,"isOpenAccess":false,"openAccessPdf":"https://www.ncbi.nlm.nih.gov/pmc/articles/PMC12048381/pdf/","citationCount":"0","resultStr":"{\"title\":\"Cerebral Haemodynamic Assessment Following Sport-related Concussion (Mild Traumatic Brain Injury) in Youth and Amateur Rugby Union Players.\",\"authors\":\"Ben Jones, Mohammadreza Jamalifard, Sally Waterworth, Mike Rogerson, Javier Andreu-Perez, Jay Perrett, Edward Hope, Jason Moran, Tom Adams, Jyotpal Singh, Patrick Neary, Chris E Cooper\",\"doi\":\"10.1186/s40798-025-00849-2\",\"DOIUrl\":null,\"url\":null,\"abstract\":\"<p><strong>Background: </strong>Using functional near-infrared spectroscopy (fNIRS) as an objective diagnostic tool, we aimed to (1) compare fNIRS measurements in adult and youth male rugby players against controls over a playing season, and 2) document the fNIRS changes that occur in concussed rugby players during the England Rugby Football Union Graduated Return-To-Play programme (GRTP). Sixty-seven participants (rugby = 41 (26 adults: 27.5 ± 4.4 years; 15 youth: 16.5 ± 0.6 years; control = 26 (11 adult: 30.5 ± 5.2 years; 15 youth: 16.9 ± 0.4 years) completed fNIRS assessments at pre, mid and end-season. Eight players (five youth, three adult) sustained concussions, and completed fNIRS and the Graded Symptom Checklist from the Sport Concussion Assessment Tool version 5 (SCAT5) assessment throughout the GRTP period. Mixed linear models were utilised to assess the effect of group and time on fNIRS measures of oxyhaemoglobin (∆O<sub>2</sub>Hb) and deoxyhaemoglobin (∆HHb) during performance tasks. Typical Error (TE) i.e., normal biological fluctuation and measurement error, was calculated to identify 'cut-off' thresholds for identifying effects of concussion.</p><p><strong>Results: </strong>There were significant differences in fNIRS indices over time in adult and youth groups (p < 0.05) but no significant differences between rugby and control groups (p > 0.05). Seven out of eight (87.5%) concussed players showed changes greater than TE during the GRTP period for both ∆O<sub>2</sub>Hb and ∆HHb during performance tasks and these players' ∆O<sub>2</sub>Hb profiles had not returned to within 'normal' levels within the GRTP period. All players' symptom severity and number returned to normal within the GRTP period.</p><p><strong>Conclusion: </strong>Current GRTP protocols alone are problematic and there is a need for a more individualised approach to concussion management, utilising objective biomarker tools such as fNIRS.</p>\",\"PeriodicalId\":21788,\"journal\":{\"name\":\"Sports Medicine - Open\",\"volume\":\"11 1\",\"pages\":\"47\"},\"PeriodicalIF\":5.9000,\"publicationDate\":\"2025-05-02\",\"publicationTypes\":\"Journal Article\",\"fieldsOfStudy\":null,\"isOpenAccess\":false,\"openAccessPdf\":\"https://www.ncbi.nlm.nih.gov/pmc/articles/PMC12048381/pdf/\",\"citationCount\":\"0\",\"resultStr\":null,\"platform\":\"Semanticscholar\",\"paperid\":null,\"PeriodicalName\":\"Sports Medicine - Open\",\"FirstCategoryId\":\"3\",\"ListUrlMain\":\"https://doi.org/10.1186/s40798-025-00849-2\",\"RegionNum\":2,\"RegionCategory\":\"医学\",\"ArticlePicture\":[],\"TitleCN\":null,\"AbstractTextCN\":null,\"PMCID\":null,\"EPubDate\":\"\",\"PubModel\":\"\",\"JCR\":\"Q1\",\"JCRName\":\"SPORT SCIENCES\",\"Score\":null,\"Total\":0}","platform":"Semanticscholar","paperid":null,"PeriodicalName":"Sports Medicine - Open","FirstCategoryId":"3","ListUrlMain":"https://doi.org/10.1186/s40798-025-00849-2","RegionNum":2,"RegionCategory":"医学","ArticlePicture":[],"TitleCN":null,"AbstractTextCN":null,"PMCID":null,"EPubDate":"","PubModel":"","JCR":"Q1","JCRName":"SPORT SCIENCES","Score":null,"Total":0}
引用次数: 0

摘要

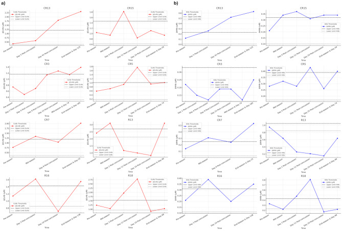
背景:使用功能性近红外光谱(fNIRS)作为客观诊断工具,我们的目的是(1)比较成年和青年男性橄榄球运动员在一个赛季中的fNIRS测量值与对照组的比较,以及(2)记录在英格兰橄榄球联盟毕业后重返比赛计划(GRTP)期间脑震荡橄榄球运动员的fNIRS变化。67名参与者(橄榄球= 41名)(成人26名:27.5±4.4岁;青年:16.5±0.6岁;对照组= 26例(成人11例:30.5±5.2岁;15名青年(16.9±0.4岁)在季前、季中和季末完成了fNIRS评估。8名运动员(5名青少年,3名成人)持续脑震荡,并在整个GRTP期间完成了fNIRS和运动脑震荡评估工具第5版(SCAT5)评估的分级症状清单。采用混合线性模型评估各组和时间对执行任务期间氧合血红蛋白(∆O2Hb)和脱氧血红蛋白(∆hb)的fNIRS测量的影响。计算典型误差(TE),即正常生物波动和测量误差,以确定识别脑震荡影响的“截止”阈值。结果:成年组与青年组fNIRS指数随时间的变化差异有统计学意义(p < 0.05)。在GRTP期间,8名脑震荡运动员中有7名(87.5%)在执行任务期间的∆O2Hb和∆hb的变化都大于TE,并且这些运动员的∆O2Hb在GRTP期间没有恢复到“正常”水平。所有运动员的症状严重程度和数量在GRTP期间恢复正常。结论:目前的GRTP方案本身是有问题的,需要一种更个性化的脑震荡管理方法,利用客观的生物标志物工具,如近红外光谱。
本文章由计算机程序翻译,如有差异,请以英文原文为准。

Cerebral Haemodynamic Assessment Following Sport-related Concussion (Mild Traumatic Brain Injury) in Youth and Amateur Rugby Union Players.

Cerebral Haemodynamic Assessment Following Sport-related Concussion (Mild Traumatic Brain Injury) in Youth and Amateur Rugby Union Players.

Cerebral Haemodynamic Assessment Following Sport-related Concussion (Mild Traumatic Brain Injury) in Youth and Amateur Rugby Union Players.

Cerebral Haemodynamic Assessment Following Sport-related Concussion (Mild Traumatic Brain Injury) in Youth and Amateur Rugby Union Players.

Background: Using functional near-infrared spectroscopy (fNIRS) as an objective diagnostic tool, we aimed to (1) compare fNIRS measurements in adult and youth male rugby players against controls over a playing season, and 2) document the fNIRS changes that occur in concussed rugby players during the England Rugby Football Union Graduated Return-To-Play programme (GRTP). Sixty-seven participants (rugby = 41 (26 adults: 27.5 ± 4.4 years; 15 youth: 16.5 ± 0.6 years; control = 26 (11 adult: 30.5 ± 5.2 years; 15 youth: 16.9 ± 0.4 years) completed fNIRS assessments at pre, mid and end-season. Eight players (five youth, three adult) sustained concussions, and completed fNIRS and the Graded Symptom Checklist from the Sport Concussion Assessment Tool version 5 (SCAT5) assessment throughout the GRTP period. Mixed linear models were utilised to assess the effect of group and time on fNIRS measures of oxyhaemoglobin (∆O2Hb) and deoxyhaemoglobin (∆HHb) during performance tasks. Typical Error (TE) i.e., normal biological fluctuation and measurement error, was calculated to identify 'cut-off' thresholds for identifying effects of concussion.

Results: There were significant differences in fNIRS indices over time in adult and youth groups (p < 0.05) but no significant differences between rugby and control groups (p > 0.05). Seven out of eight (87.5%) concussed players showed changes greater than TE during the GRTP period for both ∆O2Hb and ∆HHb during performance tasks and these players' ∆O2Hb profiles had not returned to within 'normal' levels within the GRTP period. All players' symptom severity and number returned to normal within the GRTP period.

Conclusion: Current GRTP protocols alone are problematic and there is a need for a more individualised approach to concussion management, utilising objective biomarker tools such as fNIRS.

求助全文
通过发布文献求助,成功后即可免费获取论文全文。 去求助
来源期刊
Sports Medicine - Open
Sports Medicine - Open SPORT SCIENCES-
CiteScore
7.00
自引率
4.30%
发文量
142
审稿时长
13 weeks
×
引用
GB/T 7714-2015
复制
MLA
复制
APA
复制
导出至
BibTeX EndNote RefMan NoteFirst NoteExpress
×
提示
您的信息不完整,为了账户安全,请先补充。
现在去补充
×
提示
您因"违规操作"
具体请查看互助需知
我知道了
×
提示
确定
请完成安全验证×
copy
已复制链接
快去分享给好友吧!
我知道了
右上角分享
点击右上角分享
0
联系我们:info@booksci.cn Book学术提供免费学术资源搜索服务,方便国内外学者检索中英文文献。致力于提供最便捷和优质的服务体验。 Copyright © 2023 布克学术 All rights reserved.
京ICP备2023020795号-1
ghs 京公网安备 11010802042870号
Book学术文献互助
Book学术文献互助群
群 号:604180095
Book学术官方微信