利用CycloneSEQ高效构建全基因组,填补细菌草稿组装体的空白。

IF 1.2
GigaByte (Hong Kong, China) Pub Date : 2025-04-25 eCollection Date: 2025-01-01 DOI:10.46471/gigabyte.154
Hewei Liang, Yuanqiang Zou, Mengmeng Wang, Tongyuan Hu, Haoyu Wang, Wenxin He, Yanmei Ju, Ruijin Guo, Junyi Chen, Fei Guo, Tao Zeng, Yuliang Dong, Yuning Zhang, Bo Wang, Chuanyu Liu, Xin Jin, Wenwei Zhang, Xun Xu, Liang Xiao
{"title":"利用CycloneSEQ高效构建全基因组,填补细菌草稿组装体的空白。","authors":"Hewei Liang, Yuanqiang Zou, Mengmeng Wang, Tongyuan Hu, Haoyu Wang, Wenxin He, Yanmei Ju, Ruijin Guo, Junyi Chen, Fei Guo, Tao Zeng, Yuliang Dong, Yuning Zhang, Bo Wang, Chuanyu Liu, Xin Jin, Wenwei Zhang, Xun Xu, Liang Xiao","doi":"10.46471/gigabyte.154","DOIUrl":null,"url":null,"abstract":"<p><p>Current microbial sequencing relies on short-read platforms like Illumina and DNBSEQ, which are cost-effective and accurate but often produce fragmented draft genomes. Here, we used CycloneSEQ for long-read sequencing of ATCC BAA-835, producing long-reads with an average length of 11.6 kbp and an average quality score of 14.4. Hybrid assembly with short-reads data resulted in an error rate of only 0.04 mismatches and 0.08 indels per 100 kbp compared to the reference genome. This method, validated across nine species, successfully assembled complete circular genomes. Hybrid assembly significantly enhances genome completeness by using long-reads to fill gaps and accurately assembling multi-copy rRNA genes, unlike short-reads alone. Data subsampling showed that combining over 500 Mbp of short-read data with 100 Mbp of long-read data yields high-quality circular assemblies. CycloneSEQ long-reads improves the assembly of circular complete genomes from mixed microbial communities; however, its base quality needs improving. Integrating DNBSEQ short-reads improved accuracy, resulting in complete and accurate assemblies.</p>","PeriodicalId":73157,"journal":{"name":"GigaByte (Hong Kong, China)","volume":"2025 ","pages":"gigabyte154"},"PeriodicalIF":1.2000,"publicationDate":"2025-04-25","publicationTypes":"Journal Article","fieldsOfStudy":null,"isOpenAccess":false,"openAccessPdf":"https://www.ncbi.nlm.nih.gov/pmc/articles/PMC12051259/pdf/","citationCount":"0","resultStr":"{\"title\":\"Efficiently constructing complete genomes with CycloneSEQ to fill gaps in bacterial draft assemblies.\",\"authors\":\"Hewei Liang, Yuanqiang Zou, Mengmeng Wang, Tongyuan Hu, Haoyu Wang, Wenxin He, Yanmei Ju, Ruijin Guo, Junyi Chen, Fei Guo, Tao Zeng, Yuliang Dong, Yuning Zhang, Bo Wang, Chuanyu Liu, Xin Jin, Wenwei Zhang, Xun Xu, Liang Xiao\",\"doi\":\"10.46471/gigabyte.154\",\"DOIUrl\":null,\"url\":null,\"abstract\":\"<p><p>Current microbial sequencing relies on short-read platforms like Illumina and DNBSEQ, which are cost-effective and accurate but often produce fragmented draft genomes. Here, we used CycloneSEQ for long-read sequencing of ATCC BAA-835, producing long-reads with an average length of 11.6 kbp and an average quality score of 14.4. Hybrid assembly with short-reads data resulted in an error rate of only 0.04 mismatches and 0.08 indels per 100 kbp compared to the reference genome. This method, validated across nine species, successfully assembled complete circular genomes. Hybrid assembly significantly enhances genome completeness by using long-reads to fill gaps and accurately assembling multi-copy rRNA genes, unlike short-reads alone. Data subsampling showed that combining over 500 Mbp of short-read data with 100 Mbp of long-read data yields high-quality circular assemblies. CycloneSEQ long-reads improves the assembly of circular complete genomes from mixed microbial communities; however, its base quality needs improving. Integrating DNBSEQ short-reads improved accuracy, resulting in complete and accurate assemblies.</p>\",\"PeriodicalId\":73157,\"journal\":{\"name\":\"GigaByte (Hong Kong, China)\",\"volume\":\"2025 \",\"pages\":\"gigabyte154\"},\"PeriodicalIF\":1.2000,\"publicationDate\":\"2025-04-25\",\"publicationTypes\":\"Journal Article\",\"fieldsOfStudy\":null,\"isOpenAccess\":false,\"openAccessPdf\":\"https://www.ncbi.nlm.nih.gov/pmc/articles/PMC12051259/pdf/\",\"citationCount\":\"0\",\"resultStr\":null,\"platform\":\"Semanticscholar\",\"paperid\":null,\"PeriodicalName\":\"GigaByte (Hong Kong, China)\",\"FirstCategoryId\":\"1085\",\"ListUrlMain\":\"https://doi.org/10.46471/gigabyte.154\",\"RegionNum\":0,\"RegionCategory\":null,\"ArticlePicture\":[],\"TitleCN\":null,\"AbstractTextCN\":null,\"PMCID\":null,\"EPubDate\":\"2025/1/1 0:00:00\",\"PubModel\":\"eCollection\",\"JCR\":\"\",\"JCRName\":\"\",\"Score\":null,\"Total\":0}","platform":"Semanticscholar","paperid":null,"PeriodicalName":"GigaByte (Hong Kong, China)","FirstCategoryId":"1085","ListUrlMain":"https://doi.org/10.46471/gigabyte.154","RegionNum":0,"RegionCategory":null,"ArticlePicture":[],"TitleCN":null,"AbstractTextCN":null,"PMCID":null,"EPubDate":"2025/1/1 0:00:00","PubModel":"eCollection","JCR":"","JCRName":"","Score":null,"Total":0}
引用次数: 0

摘要

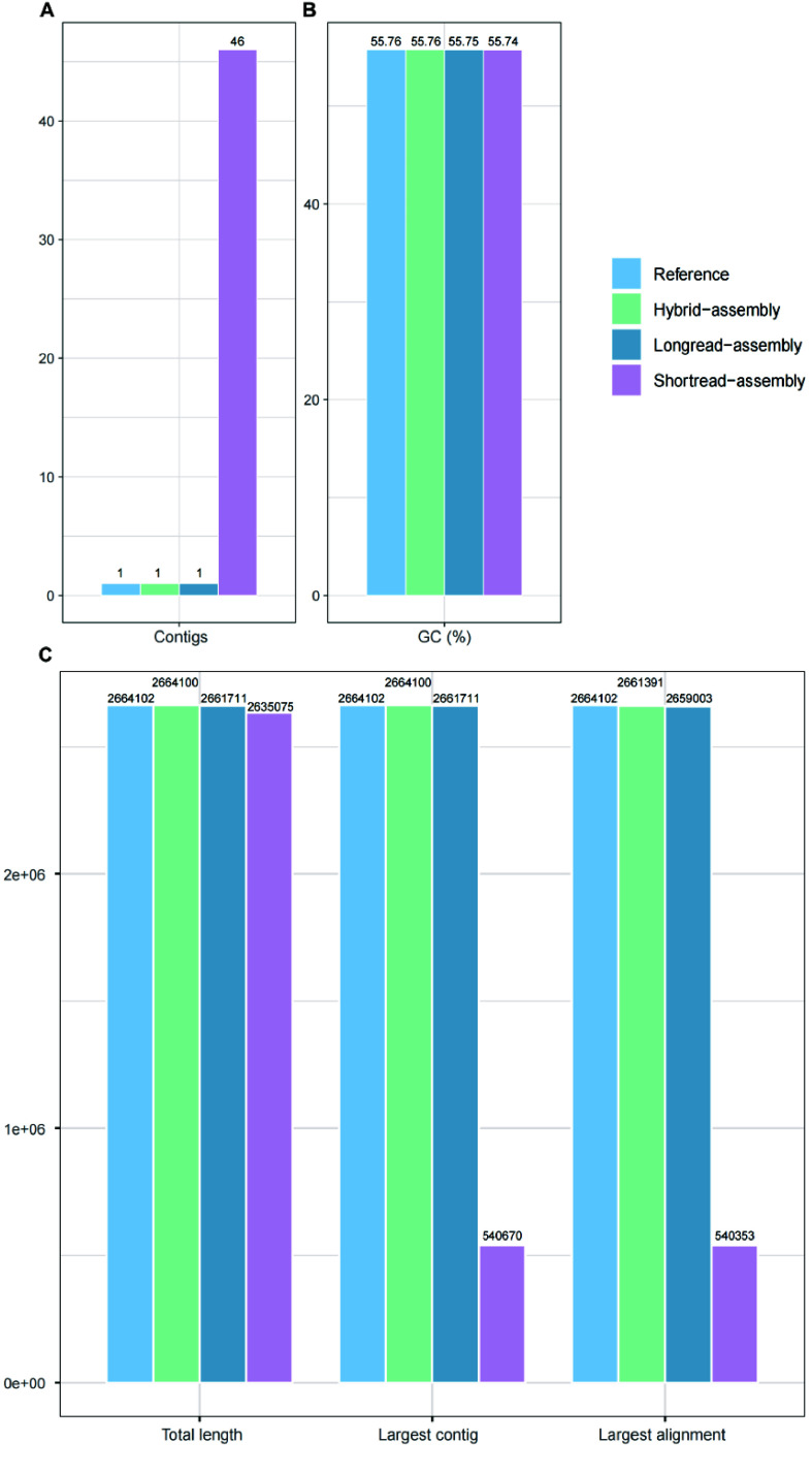
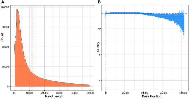
目前的微生物测序依赖于像Illumina和DNBSEQ这样的短读平台,这些平台既经济又准确,但往往产生碎片化的基因组草图。在这里,我们使用CycloneSEQ对ATCC BAA-835进行长读测序,得到的长读平均长度为11.6 kbp,平均质量分数为14.4。与参考基因组相比,具有短读段数据的杂交组合的错配率仅为0.04,每100 kbp只有0.08个索引。这种方法在9个物种中得到验证,成功地组装了完整的圆形基因组。与单独使用短读段不同,杂交组装通过使用长读段填补空白和准确组装多拷贝rRNA基因,显著提高了基因组的完整性。数据子采样表明,将超过500 Mbp的短读数据与100 Mbp的长读数据相结合,可以产生高质量的圆形组件。CycloneSEQ长reads提高了混合微生物群落的环状完整基因组的组装;但其基础质量有待提高。整合DNBSEQ短读提高了精度,导致完整和准确的组装。
本文章由计算机程序翻译,如有差异,请以英文原文为准。

Efficiently constructing complete genomes with CycloneSEQ to fill gaps in bacterial draft assemblies.

Efficiently constructing complete genomes with CycloneSEQ to fill gaps in bacterial draft assemblies.

Efficiently constructing complete genomes with CycloneSEQ to fill gaps in bacterial draft assemblies.

Efficiently constructing complete genomes with CycloneSEQ to fill gaps in bacterial draft assemblies.

Current microbial sequencing relies on short-read platforms like Illumina and DNBSEQ, which are cost-effective and accurate but often produce fragmented draft genomes. Here, we used CycloneSEQ for long-read sequencing of ATCC BAA-835, producing long-reads with an average length of 11.6 kbp and an average quality score of 14.4. Hybrid assembly with short-reads data resulted in an error rate of only 0.04 mismatches and 0.08 indels per 100 kbp compared to the reference genome. This method, validated across nine species, successfully assembled complete circular genomes. Hybrid assembly significantly enhances genome completeness by using long-reads to fill gaps and accurately assembling multi-copy rRNA genes, unlike short-reads alone. Data subsampling showed that combining over 500 Mbp of short-read data with 100 Mbp of long-read data yields high-quality circular assemblies. CycloneSEQ long-reads improves the assembly of circular complete genomes from mixed microbial communities; however, its base quality needs improving. Integrating DNBSEQ short-reads improved accuracy, resulting in complete and accurate assemblies.

求助全文
通过发布文献求助,成功后即可免费获取论文全文。 去求助
来源期刊
CiteScore
2.60
自引率
0.00%
发文量
0
审稿时长
5 weeks
×
引用
GB/T 7714-2015
复制
MLA
复制
APA
复制
导出至
BibTeX EndNote RefMan NoteFirst NoteExpress
×
提示
您的信息不完整,为了账户安全,请先补充。
现在去补充
×
提示
您因"违规操作"
具体请查看互助需知
我知道了
×
提示
确定
请完成安全验证×
copy
已复制链接
快去分享给好友吧!
我知道了
右上角分享
点击右上角分享
0
联系我们:info@booksci.cn Book学术提供免费学术资源搜索服务,方便国内外学者检索中英文文献。致力于提供最便捷和优质的服务体验。 Copyright © 2023 布克学术 All rights reserved.
京ICP备2023020795号-1
ghs 京公网安备 11010802042870号
Book学术文献互助
Book学术文献互助群
群 号:604180095
Book学术官方微信