分裂与打破常规:两个民族语言群体的代际离婚传播。

IF 2.2 Q1 ANTHROPOLOGY
Evolutionary Human Sciences Pub Date : 2025-02-18 eCollection Date: 2025-01-01 DOI:10.1017/ehs.2025.9
Caroline Uggla
{"title":"分裂与打破常规:两个民族语言群体的代际离婚传播。","authors":"Caroline Uggla","doi":"10.1017/ehs.2025.9","DOIUrl":null,"url":null,"abstract":"<p><p>Individuals who experience divorce in childhood are more likely to divorce themselves as adults. Notably, the magnitude of the intergenerational divorce transmission is stronger for groups among whom divorce is rare. This transmission may reflect differences in mating strategies passed from parent to child, or differences in cultural norms between groups. Sociologists and demographers have struggled to disentangle socioeconomic and cultural factors, because groups that are less wealthy also tend to have higher divorce rates. We use data from Finland, where two native ethnolinguistic groups with comparable socioeconomic characteristics - but different divorce risks - live side by side: Swedish-speakers and Finnish-speakers. Using register data on the entire Finnish population (<i>N</i> = 554,337 couples 1987-2020), we examine separation risk as a function of parental divorce. Data suggest that the intergenerational transmission is greater among Swedish-speakers, who have an overall lower separation rate. Group differences in separation risk persist even after controlling for socioeconomic factors and each partner's experience of parental divorce. Notably, Finnish-speaking couples who reside in Swedish-dominated areas have both somewhat <i>lower</i> separation risk, and <i>higher</i> intergenerational transmission than their peers in Finnish-dominated areas. These results point to a cultural transmission of separation, beyond strong socioeconomic factors.</p>","PeriodicalId":36414,"journal":{"name":"Evolutionary Human Sciences","volume":"7 ","pages":"e14"},"PeriodicalIF":2.2000,"publicationDate":"2025-02-18","publicationTypes":"Journal Article","fieldsOfStudy":null,"isOpenAccess":false,"openAccessPdf":"https://www.ncbi.nlm.nih.gov/pmc/articles/PMC12034495/pdf/","citationCount":"0","resultStr":"{\"title\":\"Breaking-up and breaking the norm: intergenerational divorce transmission among two ethnolinguistic groups.\",\"authors\":\"Caroline Uggla\",\"doi\":\"10.1017/ehs.2025.9\",\"DOIUrl\":null,\"url\":null,\"abstract\":\"<p><p>Individuals who experience divorce in childhood are more likely to divorce themselves as adults. Notably, the magnitude of the intergenerational divorce transmission is stronger for groups among whom divorce is rare. This transmission may reflect differences in mating strategies passed from parent to child, or differences in cultural norms between groups. Sociologists and demographers have struggled to disentangle socioeconomic and cultural factors, because groups that are less wealthy also tend to have higher divorce rates. We use data from Finland, where two native ethnolinguistic groups with comparable socioeconomic characteristics - but different divorce risks - live side by side: Swedish-speakers and Finnish-speakers. Using register data on the entire Finnish population (<i>N</i> = 554,337 couples 1987-2020), we examine separation risk as a function of parental divorce. Data suggest that the intergenerational transmission is greater among Swedish-speakers, who have an overall lower separation rate. Group differences in separation risk persist even after controlling for socioeconomic factors and each partner's experience of parental divorce. Notably, Finnish-speaking couples who reside in Swedish-dominated areas have both somewhat <i>lower</i> separation risk, and <i>higher</i> intergenerational transmission than their peers in Finnish-dominated areas. These results point to a cultural transmission of separation, beyond strong socioeconomic factors.</p>\",\"PeriodicalId\":36414,\"journal\":{\"name\":\"Evolutionary Human Sciences\",\"volume\":\"7 \",\"pages\":\"e14\"},\"PeriodicalIF\":2.2000,\"publicationDate\":\"2025-02-18\",\"publicationTypes\":\"Journal Article\",\"fieldsOfStudy\":null,\"isOpenAccess\":false,\"openAccessPdf\":\"https://www.ncbi.nlm.nih.gov/pmc/articles/PMC12034495/pdf/\",\"citationCount\":\"0\",\"resultStr\":null,\"platform\":\"Semanticscholar\",\"paperid\":null,\"PeriodicalName\":\"Evolutionary Human Sciences\",\"FirstCategoryId\":\"1085\",\"ListUrlMain\":\"https://doi.org/10.1017/ehs.2025.9\",\"RegionNum\":0,\"RegionCategory\":null,\"ArticlePicture\":[],\"TitleCN\":null,\"AbstractTextCN\":null,\"PMCID\":null,\"EPubDate\":\"2025/1/1 0:00:00\",\"PubModel\":\"eCollection\",\"JCR\":\"Q1\",\"JCRName\":\"ANTHROPOLOGY\",\"Score\":null,\"Total\":0}","platform":"Semanticscholar","paperid":null,"PeriodicalName":"Evolutionary Human Sciences","FirstCategoryId":"1085","ListUrlMain":"https://doi.org/10.1017/ehs.2025.9","RegionNum":0,"RegionCategory":null,"ArticlePicture":[],"TitleCN":null,"AbstractTextCN":null,"PMCID":null,"EPubDate":"2025/1/1 0:00:00","PubModel":"eCollection","JCR":"Q1","JCRName":"ANTHROPOLOGY","Score":null,"Total":0}
引用次数: 0

摘要

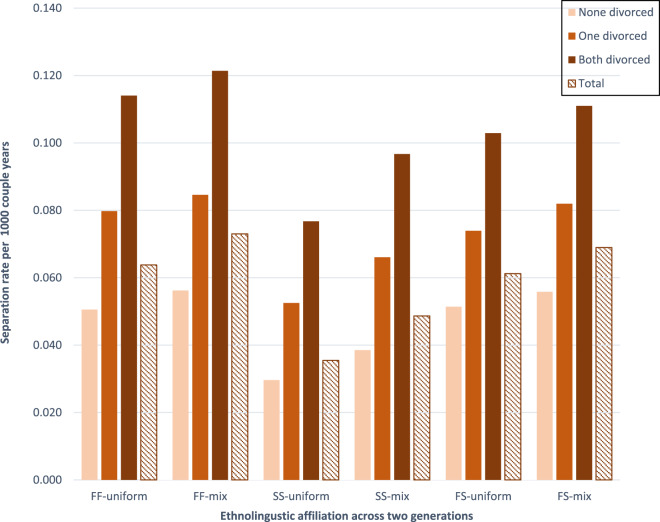
童年离异的人成年后也更有可能离婚。值得注意的是,在很少离婚的群体中,代际离婚的传播程度更强。这种传递可能反映了父母传给子女的交配策略的差异,或者群体之间文化规范的差异。社会学家和人口学家一直在努力理清社会经济和文化因素,因为不太富裕的群体往往也有更高的离婚率。我们使用了芬兰的数据,在芬兰,讲瑞典语和讲芬兰语的两个母语族群生活在一起,他们的社会经济特征相似,但离婚风险不同。使用芬兰人口登记数据(N = 554,337对夫妇,1987-2020),我们检验了父母离婚对分离风险的影响。数据显示,说瑞典语的人的代际遗传更大,他们的总体分离率更低。即使在控制了社会经济因素和双方父母离婚的经历后,分离风险的群体差异仍然存在。值得注意的是,与居住在芬兰语为主地区的同龄人相比,居住在瑞典语为主地区的芬兰语夫妇的分离风险更低,代际传递也更高。这些结果表明,在强大的社会经济因素之外,存在着分离的文化传播。
本文章由计算机程序翻译,如有差异,请以英文原文为准。

Breaking-up and breaking the norm: intergenerational divorce transmission among two ethnolinguistic groups.

Breaking-up and breaking the norm: intergenerational divorce transmission among two ethnolinguistic groups.

Breaking-up and breaking the norm: intergenerational divorce transmission among two ethnolinguistic groups.

Breaking-up and breaking the norm: intergenerational divorce transmission among two ethnolinguistic groups.

Individuals who experience divorce in childhood are more likely to divorce themselves as adults. Notably, the magnitude of the intergenerational divorce transmission is stronger for groups among whom divorce is rare. This transmission may reflect differences in mating strategies passed from parent to child, or differences in cultural norms between groups. Sociologists and demographers have struggled to disentangle socioeconomic and cultural factors, because groups that are less wealthy also tend to have higher divorce rates. We use data from Finland, where two native ethnolinguistic groups with comparable socioeconomic characteristics - but different divorce risks - live side by side: Swedish-speakers and Finnish-speakers. Using register data on the entire Finnish population (N = 554,337 couples 1987-2020), we examine separation risk as a function of parental divorce. Data suggest that the intergenerational transmission is greater among Swedish-speakers, who have an overall lower separation rate. Group differences in separation risk persist even after controlling for socioeconomic factors and each partner's experience of parental divorce. Notably, Finnish-speaking couples who reside in Swedish-dominated areas have both somewhat lower separation risk, and higher intergenerational transmission than their peers in Finnish-dominated areas. These results point to a cultural transmission of separation, beyond strong socioeconomic factors.

求助全文
通过发布文献求助,成功后即可免费获取论文全文。 去求助
来源期刊
Evolutionary Human Sciences
Evolutionary Human Sciences Social Sciences-Cultural Studies
CiteScore
4.60
自引率
11.50%
发文量
49
审稿时长
10 weeks
×
引用
GB/T 7714-2015
复制
MLA
复制
APA
复制
导出至
BibTeX EndNote RefMan NoteFirst NoteExpress
×
提示
您的信息不完整,为了账户安全,请先补充。
现在去补充
×
提示
您因"违规操作"
具体请查看互助需知
我知道了
×
提示
确定
请完成安全验证×
copy
已复制链接
快去分享给好友吧!
我知道了
右上角分享
点击右上角分享
0
联系我们:info@booksci.cn Book学术提供免费学术资源搜索服务,方便国内外学者检索中英文文献。致力于提供最便捷和优质的服务体验。 Copyright © 2023 布克学术 All rights reserved.
京ICP备2023020795号-1
ghs 京公网安备 11010802042870号
Book学术文献互助
Book学术文献互助群
群 号:604180095
Book学术官方微信