用弹性网回归预测专业医疗保健患者的合成代谢雄激素类固醇兴奋剂使用揭示了“患者生物护照”的潜在实验室变量。

IF 5.9 2区 医学 Q1 SPORT SCIENCES
Paula Katriina Vauhkonen, Jari Haukka, Ilkka Vauhkonen, Katarina Mercedes Lindroos, Mikko Ilari Mäyränpää
{"title":"用弹性网回归预测专业医疗保健患者的合成代谢雄激素类固醇兴奋剂使用揭示了“患者生物护照”的潜在实验室变量。","authors":"Paula Katriina Vauhkonen, Jari Haukka, Ilkka Vauhkonen, Katarina Mercedes Lindroos, Mikko Ilari Mäyränpää","doi":"10.1186/s40798-025-00854-5","DOIUrl":null,"url":null,"abstract":"<p><strong>Background: </strong>Recent years have brought significant development in athlete doping use detection with the implementation of the Athlete Biological Passport (ABP). The aim of this study was to explore if similar methods could also be used to detect non-medical use of anabolic androgenic steroids (AAS) among clinical patients. For this purpose, six elastic net regression models were trained in a sample of Finnish specialized health care male patients (N = 2918; no doping = 1911, AAS doping = 1007), using different approaches to longitudinal laboratory measurements as predictive variables. The laboratory data was retrieved from the Hospital District of Helsinki and Uusimaa (HUS) data lake, and doping use status was defined by patient disclosure, recorded in digital medical record free texts. Length of observation time (e.g., time between the first and last laboratory measurement) was used as weight. Model performance was tested with holdout cross-validation.</p><p><strong>Results: </strong>All the tested models showed promising discriminative ability. The best fit was achieved by using the existence of out-of-reference range measurements of 31 laboratory parameters as predictors of AAS doping, with test data area under the receiver operating characteristic curve (AUC) of 0.757 (95% CI 0.725-0.789).</p><p><strong>Conclusions: </strong>The findings of this preliminary study suggest that AAS doping could be detected in clinical context using real-life longitudinal laboratory data. Further model development is encouraged, with added dimensions regarding the use of different AAS substances, length of doping use, and other background data that may further increase the diagnostic accuracy of these models.</p>","PeriodicalId":21788,"journal":{"name":"Sports Medicine - Open","volume":"11 1","pages":"46"},"PeriodicalIF":5.9000,"publicationDate":"2025-05-01","publicationTypes":"Journal Article","fieldsOfStudy":null,"isOpenAccess":false,"openAccessPdf":"https://www.ncbi.nlm.nih.gov/pmc/articles/PMC12045897/pdf/","citationCount":"0","resultStr":"{\"title\":\"Predicting Anabolic Androgenic Steroid Doping among Specialized Health Care Patients with Elastic Net Regression Reveals Potential Laboratory Variables for \\\"Patient Biological Passport\\\".\",\"authors\":\"Paula Katriina Vauhkonen, Jari Haukka, Ilkka Vauhkonen, Katarina Mercedes Lindroos, Mikko Ilari Mäyränpää\",\"doi\":\"10.1186/s40798-025-00854-5\",\"DOIUrl\":null,\"url\":null,\"abstract\":\"<p><strong>Background: </strong>Recent years have brought significant development in athlete doping use detection with the implementation of the Athlete Biological Passport (ABP). The aim of this study was to explore if similar methods could also be used to detect non-medical use of anabolic androgenic steroids (AAS) among clinical patients. For this purpose, six elastic net regression models were trained in a sample of Finnish specialized health care male patients (N = 2918; no doping = 1911, AAS doping = 1007), using different approaches to longitudinal laboratory measurements as predictive variables. The laboratory data was retrieved from the Hospital District of Helsinki and Uusimaa (HUS) data lake, and doping use status was defined by patient disclosure, recorded in digital medical record free texts. Length of observation time (e.g., time between the first and last laboratory measurement) was used as weight. Model performance was tested with holdout cross-validation.</p><p><strong>Results: </strong>All the tested models showed promising discriminative ability. The best fit was achieved by using the existence of out-of-reference range measurements of 31 laboratory parameters as predictors of AAS doping, with test data area under the receiver operating characteristic curve (AUC) of 0.757 (95% CI 0.725-0.789).</p><p><strong>Conclusions: </strong>The findings of this preliminary study suggest that AAS doping could be detected in clinical context using real-life longitudinal laboratory data. Further model development is encouraged, with added dimensions regarding the use of different AAS substances, length of doping use, and other background data that may further increase the diagnostic accuracy of these models.</p>\",\"PeriodicalId\":21788,\"journal\":{\"name\":\"Sports Medicine - Open\",\"volume\":\"11 1\",\"pages\":\"46\"},\"PeriodicalIF\":5.9000,\"publicationDate\":\"2025-05-01\",\"publicationTypes\":\"Journal Article\",\"fieldsOfStudy\":null,\"isOpenAccess\":false,\"openAccessPdf\":\"https://www.ncbi.nlm.nih.gov/pmc/articles/PMC12045897/pdf/\",\"citationCount\":\"0\",\"resultStr\":null,\"platform\":\"Semanticscholar\",\"paperid\":null,\"PeriodicalName\":\"Sports Medicine - Open\",\"FirstCategoryId\":\"3\",\"ListUrlMain\":\"https://doi.org/10.1186/s40798-025-00854-5\",\"RegionNum\":2,\"RegionCategory\":\"医学\",\"ArticlePicture\":[],\"TitleCN\":null,\"AbstractTextCN\":null,\"PMCID\":null,\"EPubDate\":\"\",\"PubModel\":\"\",\"JCR\":\"Q1\",\"JCRName\":\"SPORT SCIENCES\",\"Score\":null,\"Total\":0}","platform":"Semanticscholar","paperid":null,"PeriodicalName":"Sports Medicine - Open","FirstCategoryId":"3","ListUrlMain":"https://doi.org/10.1186/s40798-025-00854-5","RegionNum":2,"RegionCategory":"医学","ArticlePicture":[],"TitleCN":null,"AbstractTextCN":null,"PMCID":null,"EPubDate":"","PubModel":"","JCR":"Q1","JCRName":"SPORT SCIENCES","Score":null,"Total":0}
引用次数: 0

摘要

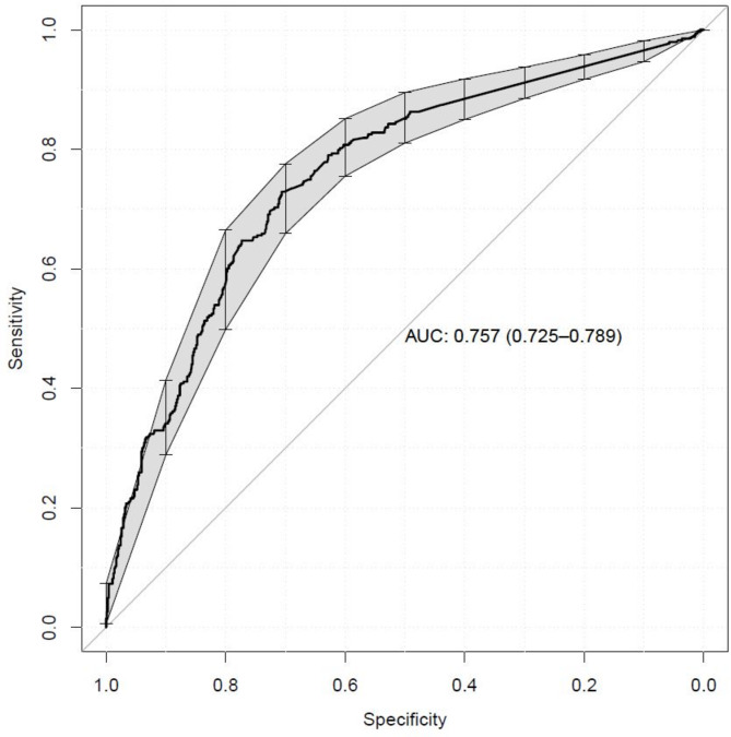
背景:近年来,随着运动员生物护照(ABP)的实施,运动员兴奋剂使用检测取得了重大进展。本研究的目的是探讨是否可以使用类似的方法来检测临床患者中合成代谢雄激素类固醇(AAS)的非医疗使用。为此,在芬兰专业医疗保健男性患者样本中训练了六个弹性网回归模型(N = 2918;no doping = 1911, AAS doping = 1007),使用不同的纵向实验室测量方法作为预测变量。实验室数据从赫尔辛基医院区和Uusimaa (HUS)数据湖中检索,兴奋剂使用状况由患者披露定义,记录在数字病历免费文本中。观察时间长度(例如,第一次和最后一次实验室测量之间的时间)作为权重。模型的性能测试与坚持交叉验证。结果:所有模型均表现出良好的鉴别能力。使用31个实验室参数的超参考范围测量值作为AAS掺杂的预测指标,测试数据在接收者工作特征曲线(AUC)下的面积为0.757 (95% CI 0.725-0.789),达到最佳拟合。结论:这项初步研究的结果表明,AAS掺杂可以在临床背景下使用真实的纵向实验室数据进行检测。鼓励进一步开发模型,增加有关使用不同原子吸收剂物质的维度,使用兴奋剂的时间长短,以及其他可能进一步提高这些模型诊断准确性的背景数据。
本文章由计算机程序翻译,如有差异,请以英文原文为准。

Predicting Anabolic Androgenic Steroid Doping among Specialized Health Care Patients with Elastic Net Regression Reveals Potential Laboratory Variables for "Patient Biological Passport".

Predicting Anabolic Androgenic Steroid Doping among Specialized Health Care Patients with Elastic Net Regression Reveals Potential Laboratory Variables for "Patient Biological Passport".

Background: Recent years have brought significant development in athlete doping use detection with the implementation of the Athlete Biological Passport (ABP). The aim of this study was to explore if similar methods could also be used to detect non-medical use of anabolic androgenic steroids (AAS) among clinical patients. For this purpose, six elastic net regression models were trained in a sample of Finnish specialized health care male patients (N = 2918; no doping = 1911, AAS doping = 1007), using different approaches to longitudinal laboratory measurements as predictive variables. The laboratory data was retrieved from the Hospital District of Helsinki and Uusimaa (HUS) data lake, and doping use status was defined by patient disclosure, recorded in digital medical record free texts. Length of observation time (e.g., time between the first and last laboratory measurement) was used as weight. Model performance was tested with holdout cross-validation.

Results: All the tested models showed promising discriminative ability. The best fit was achieved by using the existence of out-of-reference range measurements of 31 laboratory parameters as predictors of AAS doping, with test data area under the receiver operating characteristic curve (AUC) of 0.757 (95% CI 0.725-0.789).

Conclusions: The findings of this preliminary study suggest that AAS doping could be detected in clinical context using real-life longitudinal laboratory data. Further model development is encouraged, with added dimensions regarding the use of different AAS substances, length of doping use, and other background data that may further increase the diagnostic accuracy of these models.

求助全文
通过发布文献求助,成功后即可免费获取论文全文。 去求助
来源期刊
Sports Medicine - Open
Sports Medicine - Open SPORT SCIENCES-
CiteScore
7.00
自引率
4.30%
发文量
142
审稿时长
13 weeks
×
引用
GB/T 7714-2015
复制
MLA
复制
APA
复制
导出至
BibTeX EndNote RefMan NoteFirst NoteExpress
×
提示
您的信息不完整,为了账户安全,请先补充。
现在去补充
×
提示
您因"违规操作"
具体请查看互助需知
我知道了
×
提示
确定
请完成安全验证×
copy
已复制链接
快去分享给好友吧!
我知道了
右上角分享
点击右上角分享
0
联系我们:info@booksci.cn Book学术提供免费学术资源搜索服务,方便国内外学者检索中英文文献。致力于提供最便捷和优质的服务体验。 Copyright © 2023 布克学术 All rights reserved.
京ICP备2023020795号-1
ghs 京公网安备 11010802042870号
Book学术文献互助
Book学术文献互助群
群 号:604180095
Book学术官方微信